一大批抖音、快手营销号都在痛骂“方舟子打假数学天才”,上了热搜了,貌似有人策划,不知是阿里巴巴还是王闰秋团队。 https://t.co/CNM77jogWi https://video.twimg.com/amplify_video/1803212982278823937/vid/avc1/720x1246/GROZ99wqrob7XC0a.mp4?tag=16
这个爆料未必可信,没法查。我想知道的是姜萍在接受采访时是不是真的说过她只做了四道题,这个可以查。 https://t.co/b3OmodBkxZ 
“2024阿里巴巴全球数学竞赛”初赛7道题,只有第1道组合题较简单,用高中数学可解,其他都是很难的高等数学,2、6用到概率论;3、4是高级线性代数,数学系课程;5是拓扑学,也是数学系课程;7用到微分方程。所以必须系统学过数学系本科课程才能考好,那些进入决赛的十几个初中生、二十几个高中生也大部分(如果不是全部的话)都是别人代考。不排除个别数学天才在中学已系统学过数学系课程,但这么多那真是神州大地天才辈出了,有的还是初一、初二学生呢。阿里巴巴搞这种可以作弊的开卷竞赛有什么意义?难道不知道中国是作弊大国?

“2024阿里巴巴全球数学竞赛”初赛7道题,只有第1道组合题较简单,用高中数学可解,其他都是很难的高等数学,2、6用到概率论;3、4是高级线性代数,数学系课程;5是拓扑学,也是数学系课程;7用到偏微分方程(我一开始没细看说这次竞赛没用到偏微分方程,有误)。所以必须系统学过数学系本科课程才能考好,那些进入决赛的十几个初中生、二十几个高中生也大部分(如果不是全部的话)都是别人代考。不排除个别数学天才在中学已系统学过数学系课程,但这么多那真是神州大地天才辈出了,有的还是初一、初二学生呢。阿里巴巴搞这种可以作弊的开卷竞赛有什么意义?难道不知道中国是作弊大国?

央视宣传“发现中专数学天才的伯乐”、数学教师王闰秋。王闰秋写Σ有些像/2,但还是Σ(最后一笔是一横),姜萍直接就给抄成了/2(最后一笔成一提)。 https://t.co/lhfX78uUYM

中国出现一个“中专数学天才”姜萍,获得阿里巴巴“全球数学竞赛”初赛第12名。但她其实完全不懂高等数学,是有人或有团队代考,其造假铁证如山。方舟子揭假:骗人的“中专数学天才”
数学能力是天生的,也是最稳定的,这么容易的中专数学考试,数学能力强的学生不得满分都不好意思,“数学天才”还会考不及格?造假机构阿里巴巴达摩院推出一个数学很差的“中专数学天才”来炒作野鸡“全球数学竞赛”,制造差生逆袭的神话,简直是在羞辱那些数学好的学生。 https://t.co/kWj72SKgMA

这是我当年的课程表,全世界生物系本科应该不会有第二个大学是这么开课的,后来中科大改四年制也没再这么学了。另外,有人提到有没有学复变函数,在学数理方程时也学了复变函数,但主要是学偏微分方程。 https://t.co/k9lN6PBxwV 
阿里巴巴达摩院团队是没有要求姜萍在黑板再次答题,但是让她摆拍了在黑板上抄一道证明题(与考题无关)以“证明”她平时就在做高数题,所以同样是造假的同谋或主谋,达摩院是一个造假机构。达摩院想证明自己的无辜很容易,直播让姜萍将考题再答一遍。给她再多的准备时间她也答不出来。那些题目和答案对她来说就是永远无法理解的天书。 
我当年学过的高等数学:第一学年上学期:单变量微积分,下学期:多变量微积分;第二学年上学期:级数与常微分方程,下学期:概率统计;第三学年上学期:线性代数,下学期:偏微分数理方程。
报道中提到我为什么都加引号?伽马函数用大写Γ,才会被姜萍写反成了7,如果用小写γ,就无所谓写反了。 https://t.co/MOVbMFkBST

从这个采访看,姜萍不知道答卷是用LaTeX排版提交的(可能也没听说过LaTeX,枪手团队忘了告诉她了):那两天一直低头做题,太困了,出去走走,回来就直接睡了…… https://t.co/zYlb6h76Ls https://video.twimg.com/amplify_video/1802931494643769344/vid/avc1/886x494/ORfCXfZ9XGoWv3zj.mp4?tag=16
《从崔永元受罗永浩的骗谈酵素产品之骗人》图片版 https://t.co/soyVsm8atJ

马斯克为什么非要改推特的名称呢?因为他想让推特进入新时代,成为一个全新的产品。马斯克有一个梦想:一统互联网的江湖,搞出一个整合了互联网各种各样功能的巨无霸产品,就像中国的微信。马斯克一直非常推崇微信。发表新文章《马斯克终于杀死了推特》https://t.co/XjQKbkeJe0
嗯,有人以为我是语文偏科的文科生。也是认为我只有文科比王志安强的王志安的粉丝吗? https://t.co/YqfhSeIGYs 
今日所见野花:舍米斯(chamise)、纳特尔金鱼草(Nuttall’s snapdragon)、聚花沥青草(clustered tar weed)、红灌木猴花(red bush monkey flower)。 https://t.co/viQewACXUQ

谁说女生学不好数学?我上中学时我们年段有一个女生的数学就不比我差。我女儿所在年级数学最好的两个学生也都是女生。但是不能把一个数学考51分的差生用拙劣的造假手段包装成“数学天才”来给人们打鸡血。如果有大的梦想,就别去上中专,上了中专,人生的道路基本上就限死了。去吹捧上中专,要大学何用? https://t.co/CHh9cCkWQn 
这个在美国学数学的人真瞧不起自己的专业,竟相信“中专数学天才”是真的。姜萍是看拿在手上的笔记本抄写在黑板上还抄得错误百出,他竟认为她不可能抄现成的解答,是自己写的,这算是少见的学数学学成一脑子浆糊的。(解答当然未必是抄自网上或书上的,而是别人做了提供给姜萍的,反映的是提供者水平) https://t.co/Jpr8umANpA 
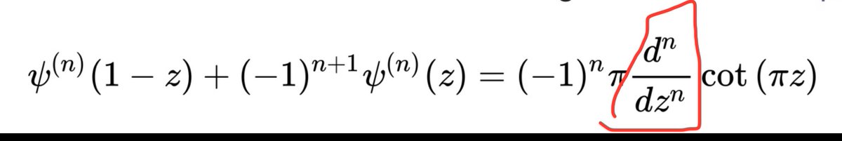
又新发现的一处抄写错误也能表明“中专数学天才”完全不懂高等数学。这里她要抄的是多伽马函数的反射公式,却把d^n/dz^n抄成了d/d^zn,漏了一个上标n,又把z和n上标对掉,对数学公式完全无感,不知道自己在写什么。 https://t.co/tRkcaYlPby

又发现了“中专数学天才”的一处抄写错误:要抄ψ 函数,后面却全写成了ϕ函数。这个数学考51分的中专生应该是连数学常用的希腊字母也不认识的,Σ Γ ψ ϕ对她来说像天书,所以全都乱写,Σ 写成/2,Γ 写成丁,ψ 写成ϕ,另外,黄线的部分是她把Σ下面的k=-∞抄成了k=0,而不是把上面的∞抄成-1。 https://t.co/RndtdsbuCJ 