Avatar
ZeroHedge News (RSS Feed)
e9ab3129c1509ca30466af0cf378506cb4f5794b0300bf687ca617b59c2d0b6d
https://www.zerohedge.com

Stockman: Central Planning Is The Problem

Stockman: Central Planning Is The Problem

https://internationalman.com/articles/central-planning-is-the-problem/

It seems damn obvious that neither Jay Powell, Donald Trump, the 12 geniuses on the FOMC, nor any other set of Washington apparatchiks should be setting interest rates. That’s a job tailor-made for millions of players on the free market without any help, nudges, guidance, or big fat thumb on the supply/demand scale by the central bank.

?itok=tU031aja" alt=""/>

It also seems equally obvious that under the current post-1987 regime of Keynesian activism at the Fed that interest rates have been way too low for most of the past four decades. Indeed, the very idea that interest rates on the money market should be negative or even close to zero in real terms is an out-and-out recipe for inflation, both with respect to goods and services prices on Main Street and also, most especially, with respect to financial asset prices on Wall Street.

Yet here is what we have had since Alan Greenspan and his heirs and assigns embarked upon the path of heavy-duty Keynesian macro-management of the US economy. Since the year 2000, the inflation-adjusted money-market rate (i.e., Fed funds) has been negative—often deeply so—more than 80% of the time.

Accordingly, the implicit thrust of Fed policy has been to severely punish savers, who, after taxes and inflation, have been badly crushed, and reward borrowers and speculators. The latter have essentially been offered free money on a short-term basis to fund their leveraged speculations via rolling over the Fed’s cheap overnight money day after day for years running.

Indeed, Wall Street speculators literally loved the negative carry pictured in the graph below: It became the foundation for trillions upon trillions of easy, arbitrage profits in the futures and options market and via an endless variety of highly leveraged bespoke trading schemes.

Needless to say, the politicians on the banks of the Potomac were also enthusiastic about their resulting ability to borrow on a massive scale while still paying diminutive levels of annual interest on the soaring public debt. In fiscal terms, the Fed’s negative real rates were the equivalent of a free lunch.

?itok=LP0kMlu5" alt=""/>

Still, the opposite ends of this 40-year chart tell you all you need to know about why central bank interest rate pegging is both counter-productive and unnecessary. Thus, back in 1984-1987, the real Fed funds rate was clearly not too high at positive 3-5%. That’s because it was exactly during this five-year period that the ballyhooed “Morning in America” Reagan Boom occurred. Real growth averaged 4.8% per annum between 1983 and 1987.

Now, according to GOP orators, the Reagan Boom of 1983-1987 was the be-all-and-end-all of spectacular economic performance. So why in the hell did Jay Powell and his merry band of money-printers insist that the real Fed funds rate in Q3 2024 was too high at barely +2.0% and therefore warranted the 100 basis point rate cut it administered on the eve of the November election?

Moreover, at the present moment, the story is even worse. The Donald was pounding the table for a 300 basis point cut a few weeks ago when, during Q2 2025, the inflation-adjusted Fed funds rate had posted at just +1.27%. So what he apparently wants is a return to the inflationary Fed print-a-thons of the last several decades and to an implied inflation-adjusted Fed funds rate of, well, -2.27%.

That’s right. After more than two decades of inflationary money-printing, the real money market rate has barely peeked its nose above the zero bound per the graph above. Yet we have both of our wanna-be monetary central planners—Powell and Trump—in a public shouting match about how much to cut, how soon to cut, and what flakey excuse should be offered to justify it.

Well, the hell with both of them!

Neither can possibly know the “correct” overnight interest rate (i.e., Fed funds), to say nothing of the level and shape of the entire yield curve all the way out to 30-year bonds or even 50-year loan maturities. The right levels for all the interest rates along the entire yield curve are constantly on the move and shape-shifting at any moment in time owing to a blizzard of changing real-world conditions with respect to the supply and demand for funds, and the undulations of the underlying macro-economy.

Indeed, the very idea of administered or state-pegged interest rates is as unworkable, counter-productive, and absurd as each and every failed past experiment in wage, price, profit, and rent controls with respect to Main Street commerce in daily bread, shelter, clothing, and transit has shown. And most especially so when the far superior alternative of a vast, liquid free market in debt and all other forms of financial assets is readily available.

The reason we have administered interest rates rather than free market rates, of course, is due to the great big Keynesian bugaboo about financial instability, the oscillations of the business cycle, and the alleged grand collapse of capitalism during the Great Depression.

That is, the implicit claim is that unless we have an all-powerful interest rate Sherpa managing debt yields and the related economic activity, a free market in money, debt, real estate, and other financial assets will inexorably tumble into thundering instability and ultimately send the main street economy into depressionary collapse.

The truth is, this is unmitigated humbug. In the first place, it is obvious that the financial and economic instability we have had during the half-century since the dollar was unshackled from its anchor in gold in 1971 has been caused by the “start and stop” policy interventions and interest rate pegging cycles of the Fed itself, not the free market.

As shown in the graph below, once the 12-person FOMC took lock, stock, and barrel control of the nerve center of capitalism—the financial markets and asset prices— after August 1971, there have been eight recessions and short-run volatility of economic activity that has ranged from +35% to -35% on an annualized basis.

If we were in the betting business, we’d wager that left to his own devices, Mr. Market would likely generate less instability than the Fed-controlled economy has displayed since 1971.

?itok=2oTh4JRG" alt=""/>

If the volatility reduction and business cycle flattening canard doesn’t cut the mustard in terms of justifying the Fed’s interest rate-pegging regime, neither does the claim that it enhances the trend rate of real economic growth and living standard gains. The underlying presumption is that the free market is too stupid to discover the rate of interest that induces optimum growth, so a monetary politburo known as the FOMC needs to take control of the rate-setting process.

Well, here’s an empirical test that can’t be gainsaid. To wit, between the so-called Fed-Treasury agreement in March 1951 and August 1971, we had a gold-anchored monetary system and a Federal Reserve run with an exceedingly “light touch” by William McChesney Martin. By contrast, after the gamblers of Wall Street brought the credit, housing, and equity markets down with the thundering crash in the fall of 2008, we had a rogue regime of massive money-printing and incessant, heavy financial market intervention by the Fed under Bernanke and his successors.

There is no contest on the growth and prosperity front, however, between the two periods. Real growth as measured by real final sales of domestic product rose at a 3.83% annual rate during the “light touch” era of Q2 1951 to Q2 1971, while the growth rate was barely half of that level at 1.94% between Q4 2007 and Q2 2025. Q.E.D.

*  *  *

If decades of Fed meddling have taught us anything, it’s that central planning doesn’t stabilize the economy—it undermines it. The bigger risk ahead isn’t just bad policy, but the potential collapse of the dollar’s global reserve status and the desperate measures Washington may take in response. To prepare for what’s coming and protect yourself from the fallout, https://internationalman.com/special-report/guide-to-surviving-and-thriving-during-an-economic-collapse/

.

Tyler Durden

Tue, 09/09/2025 - 13:45

https://www.zerohedge.com/economics/stockman-central-planning-problem

Stellar 3Y Auction Blows Away Expectations With Huge Stop-Through, Near Record Foreign Demand, Record Low Dealers

Stellar 3Y Auction Blows Away Expectations With Huge Stop-Through, Near Record Foreign Demand, Record Low Dealers

With interest rates in freefall in recent days, but reversing modestly this morning, traders were wondering if today's auction of $58BN in 3 year paper would accentuate the modest reversal or extend on the positive momentum observed over the past week. The answer was resoundingly the latter, and here's why.

First, the auction stopped at high yield of 3.485%, down sharply from 3.669% last month, and the lowest since Sept 2024 when the Fed was about to cut rates by a jumbo 50bps on another huge downward jobs revision print. The auction stopped through the When Issued 3.492% by 0.7bps, and following 3 straight tailing auctions, was the biggest through since Feb 2025.

?itok=_BlzZx23

The bid to cover was an impressive 2.726%, up 20bps from August and the highest since February.

The internals were even more impressive, with Indirects taking down a near record 74.24%, up from 53.99% in August and the 2nd highest on record!

?itok=f1AVGYro

And with Directs awarded 17.39%, Dealers were left with just 8.37%, the lowest on record.

?itok=JvCTsY7l

Overall this was a blowout 3Y auction, easily one of the top 3 on record, and the bond market certainly liked it: with yields moving higher after today's record negative revision (on expecations of steepening that will follow the inflation that rate cuts usher in) we have seen renewed buying across the curve.

https://cms.zerohedge.com/users/tyler-durden

Tue, 09/09/2025 - 13:29

https://www.zerohedge.com/markets/stellar-3y-auction-blows-away-expectations-huge-stop-through-near-record-foreign-demand

"A Flashing Red Warning Light": Big Oil Is Making Big Job Cuts

"A Flashing Red Warning Light": Big Oil Is Making Big Job Cuts

Oil and gas producers worldwide are bracing for a prolonged downturn, with job losses and investment cuts spreading through the industry, according to a https://www.ft.com/content/c6ab5811-56ce-47ea-b074-23623cf71bcf

. ConocoPhillips, Chevron, and BP have all announced large-scale layoffs, while others are shelving or selling projects to conserve cash. “This isn’t just a Conoco problem,” said Kirk Edwards of Latigo Petroleum. “It’s a flashing red warning light for the entire US oil and gas industry.”

?itok=rSgZQF2n

FT https://www.ft.com/content/c6ab5811-56ce-47ea-b074-23623cf71bcf

that the sector is under pressure as crude prices, which spiked after Russia’s invasion of Ukraine, have since dropped by half. Opec+ has shifted strategy, increasing output to regain market share, a move that adds further price strain. Analysts at Wood Mackenzie predict Brent could slide under $60 a barrel by early 2026 and stay there “up to a few years.” Below that level, western majors struggle to fund both shareholder payouts and new projects.

?itok=-Vnwwuoh

The cuts are hitting hardest in the US, where shale drilling requires around $65 a barrel to stay profitable, according to the Dallas Federal Reserve. ConocoPhillips has warned that as many as 3,250 staff may lose their jobs by Christmas, while Chevron has been working through 8,000 cuts since February. BP has already trimmed 4,700 positions. “The way we protect the most jobs for the most people is by remaining competitive,” said Chevron’s Mike Wirth.

?itok=MnXouQCU

State-owned producers are also retrenching: Saudi Aramco raised $10bn by selling part of its pipeline network, and Malaysia’s Petronas shed 5,000 jobs. Capital spending worldwide is forecast to fall 4.3% this year to $341.9bn — the first decline since 2020 — and US output is expected to contract for the first time since 2021.

Some companies are leaning on outsourcing and digital tools to offset the downturn. “AI is giving operators new ways to optimise in a challenging market,” said Andrew Gillick of Enverus. But industry veterans warn that shrinking investment may have long-term consequences. “Domestic oil producers are finding it hard… which is costing jobs,” said Roe Patterson of Marauder Capital. “The problem is that our domestic oil production may not be there when the country needs it in the future.”

https://cms.zerohedge.com/users/tyler-durden

Tue, 09/09/2025 - 13:25

https://www.zerohedge.com/markets/flashing-red-warning-light-big-oil-making-big-job-cuts

Wall Street Giant Cantor Debuts Bitcoin Fund With Gold Insurance

Wall Street Giant Cantor Debuts Bitcoin Fund With Gold Insurance

https://decrypt.co/338512/cantor-debuts-bitcoin-fund-gold-insurance

The fund will supposedly protect investors from Bitcoin's sometimes huge dips by using the precious metal...

Cantor Fitzgerald has debuted a new Bitcoin fund.

The fund also gives investors exposure to gold—for downside protection.

Gold rose to a record high near $3,680 on Monday, while BTC is trading about 9% off its all-time best, set last month.

Wall Street giant Cantor Fitzgerald debuted a new fund Monday that aims to give investors exposure to https://decrypt.co/resources/what-is-bitcoin-four-minute-instant-guide-explainer

's gains and downside protection with gold.

%40webp.jpg?itok=2ojK2oE5

The fund, the Cantor Fitzgerald Gold Protected Bitcoin Fund, which was https://decrypt.co/322870/cantor-debut-bitcoin-gold-fund-aimed-investors-scared-crypto

in May at the Bitcoin 2025 conference in Las Vegas, Nevada, aims to address the concerns of investors scared of Bitcoin

Monday's announcement said that the fund "minimizes the risk of short-term volatility and reduces the impact of correlation spikes while continuing to benefit from the long-term upside trend of Bitcoin."

"This gold-protected Bitcoin strategy spans five years and tackles both risks head-on: it captures Bitcoin's upward trajectory while gold provides a safety net that historically performs well when markets decline," Global Head of Cantor Fitzgerald Asset Management Bill Ferri said.

He added:

"With risk assets at or near all-time highs, timing and protection matter."

Decrypt reached out to Cantor Fitzgerald for comment.

Bitcoin, the largest and oldest digital asset, has in the past made massive gains but experienced huge drops throughout its 16 year history.

Bitcoin was recently trading at under $112,182, up about 1% over the past 24 hours and more than 20% year-to-date https://www.coingecko.com/en/coins/bitcoin

to cryptocurrency markets data provider CoinGecko. But the leading cryptocurrency by market cap has fallen nearly 9% since reaching an all-time high of $124,128 last month.

?itok=Xzcq9kkR

To be sure, experts recently told Decrypt that with the approval of spot Bitcoin ETFs, which institutions have flooded into, the asset should experience less volatility. The digital coin's volatility has significantly dampened this year.

But during the last bull market of 2021, the asset hit a high of over $69,000 per coin only to plunge to under $16,000 the following year. The current up cycle has likely yet to see an end, many analysts believe.

Cantor's Bitcoin lending business has carried out its first transactions, the investment banking giant announced on Tuesday, underscoring its increasing presence in the crypto space. Prime broker FalconX and crypto lending protocol Maple Finance were the first companies to draw on the financing. The New York-based Cantor, part of Cantor Fitzgerald, expects to make up to $2 billion in financing available in this first phase, the company said. “Early on, Cantor recognized the transformative impact...

Gold, the traditional save haven asset, https://www.ft.com/content/05c798a8-6178-4c14-b155-d977ad4b69e9

a new high Monday near $3,680 per ounce and is up more than 37% year-to-date, amid ongoing concerns about the U.S. economy, inflation and other macroeconomic uncertainties.

Cantor was among the early, vocal Wall Street supporters of Bitcoin. The firm helps custody the Treasury reserves for stablecoin giant https://decrypt.co/resources/what-is-tether-usdt-stablecoin

stablecoin product. Its former chairman and CEO Howard Lutnick, an advisor to Donald Trump during his 2024 presidential campaign, is now U.S. Commerce Secretary.

https://cms.zerohedge.com/users/tyler-durden

Tue, 09/09/2025 - 13:05

https://www.zerohedge.com/crypto/wall-street-giant-cantor-debuts-bitcoin-fund-gold-insurance

Nepal Descends Into Chaos After Social Media Ban, PM Resigns, Finance Minister Dragged Through Street

Nepal Descends Into Chaos After Social Media Ban, PM Resigns, Finance Minister Dragged Through Street

Chaos has descended on Nepal amid raging mass protests against a short-lived ban on social media, and accusations of widespread government corruption. The small Himalayan country has descended into hellish conditions in less than a mere 48 hours of raging anti-government demonstrations.

The protests appear mostly led by the young, after several popular social media sites were blocked and clashes with police led to authorities firing on crowds, resulting in 19 people dead.

?itok=A_y2C2Vj

But even after the social media ban was lifted amid the pressure and mayhem, demonstrators set fire to the homes of top Nepalese leaders and and even parliament building.

Specifically Facebook, X, Instagram, and YouTube were blocked among some two dozen others, after the government said the companies failed to comply with local law by failing to register for requred government oversight.

Parliament burned and surrounded by thousands...

In Nepal, politicians ban social media use and citizens burn down parliament. Politicians flee by helicopter. https://t.co/6Sju9CH7Jm

— RadioGenoa (@RadioGenoa) https://twitter.com/RadioGenoa/status/1965391218227241132?ref_src=twsrc%5Etfw

The airport was also shuttered and army helicopters were seen deployed to rescue government ministers from the mob. Apparently, the country's finance minister wasn't so lucky...

India Today: Nepal's Finance Minister Bishnu Prasad Paudel reportedly chased by protesters and kicked after a video showed him fleeing down a street.

❗️ Nepal's Finance Minister reportedly chased by protesters and kicked after a video showed him fleeing down a street — India Today https://t.co/n3CzE7ntOD

— RT (@RT_com) https://twitter.com/RT_com/status/1965377745812394373?ref_src=twsrc%5Etfw

According to https://www.msn.com/en-in/news/india/chaos-in-kathmandu-nepal-finance-minister-bishnu-prasad-paudel-chased-thrashed-by-protestors-watch-shocking-video/ar-AA1MbyYK

, "Nepal's finance minister was chased and beaten by demonstrators Tuesday as Prime Minister KP Sharma Oli resigned following days of violent student-led protests against corruption and a ban on social media."

⚡️ Nepali Finance Minister dragged along street by angry protesters https://t.co/OUC8A1q4g8

— RT (@RT_com) https://twitter.com/RT_com/status/1965378668366364865?ref_src=twsrc%5Etfw

Residents of top politicians in Kathmandu have been reported attacked and in some cases damaged or set on fire, including the prime minister of the country, KP Sharma Oli. He has since stepped down in the wake of the protester killings.

"Oli’s private home was among those set on fire, as were those of the president, home minister and the leader of the country’s largest party, Nepali Congress, which is part of the governing coalition," AP https://apnews.com/article/nepal-protest-social-media-ban-89cf500969536cf2a35c3fb884cfa620

.

"Oli’s family was at the official residence at the time. The home of the leader of the opposition Communist Party of Nepal (Maoist) was also set ablaze," AP adds.

?itok=MQB9xASb

The moment at which police opened fire on crowds was the tipping point. Even after the social media ban was reversed, the rioting became more intense.

“We are here to protest because our youths and friends are getting killed, we are here to see that justice is done and the present regime is ousted,” one eyewitness interviewed by international press outside the damaged parliament building said Tuesday. "K.P. Oli should be chased away."

Protestors set Nepal’s Energy Minister’s house ON FIRE — Prez house STORMED

Banknotes RAIN down as Gen Z rioters start looting the houses https://t.co/t1ggYZ07Dz

— RT (@RT_com) https://twitter.com/RT_com/status/1965346117736169781?ref_src=twsrc%5Etfw

A key part of what's driving the outrage related to the protests dubbed 'Gen Z' is that those killed by police were found to have been shot in the head and chest, according to hospital staff who received the dead and wounded.

One protester told the BBC, "Rather than the social media ban, I think everyone's focus is on corruption." She added, "We want our country back - we came to stop corruption."

https://cms.zerohedge.com/users/tyler-durden

Tue, 09/09/2025 - 12:45

https://www.zerohedge.com/geopolitical/nepal-descends-chaos-after-social-media-ban-pm-resigns-finance-minister-dragged

Why Billions In AI Investment Can Be A Pitfall For Some Companies

Why Billions In AI Investment Can Be A Pitfall For Some Companies

https://www.theepochtimes.com/tech/why-billions-in-ai-investment-can-be-a-pitfall-for-some-companies-5907093?utm_source=partner&utm_campaign=ZeroHedge&src_src=partner&src_cmp=ZeroHedge

(emphasis ours),

The artificial intelligence (AI) gold rush has reached American businesses, but despite billions being spent, many companies aren’t seeing a return on their investment in the emerging technology.

?itok=sFARVHfY

The United States is the world’s leading investor in AI technologies. Tech giants such as Amazon, Google, Meta, and Microsoft have led the way in private sector investment and https://www.investopedia.com/amazon-follows-google-meta-and-microsoft-with-plans-to-boost-spending-on-ai-8787507

more than $100 billion in additional AI expenditures this year.

An analysis from CMS developer Storyblok noted that eCommerce businesses are https://www.storyblok.com/mp/ecommerce-businesses-spending-on-ai

, on average, nearly $400,000 on AI solutions for enhanced customer service experiences. However, only 32 percent reported even a “slight improvement” in operations resulting from their AI investment.

Massachusetts Institute of Technology (MIT) https://mlq.ai/media/quarterly_decks/v0.1_State_of_AI_in_Business_2025_Report.pdf

research showing that despite U.S. companies spending upwards of $40 billion on AI investments, 95 percent have seen zero monetary return.

The study found that only 5 percent of integrated AI pilot programs are producing millions of dollars worth of value. Businesses stuck in the start-up phase of integration suffer what AI developer and vice president of Vapor IO, Kamil Mansuri, called “magic wand” thinking.

“Companies stuck in pilot hell usually have three issues: unclear success metrics, trying to solve everything at once, and treating AI as the goal instead of the solution,” Mansuri told The Epoch Times.

Mansuri said the MIT study findings didn’t surprise him because, in his experience, companies tend to treat AI like a magic wand instead of a tool for specific problems. Mansuri said the best way to avoid this pitfall is to steer clear of what he called “vague AI transformation.”

“At Vapor IO, we saw real ROI [return on investment] because we targeted concrete use cases like infrastructure optimization and automated failover systems,” Mansuri said.

“The difference is focus …. We cut cloud spend from $1.5 [million] to $800,000 by using AI for resource optimization because we knew exactly what problem we were solving.”

Mansuri believes the key to monetary return on AI investments comes from starting small and choosing an area with a measurable impact.

“The companies seeing results pick one specific pain point, prove value there, then expand,” he said.

Trial and Error

Mansuri is among many trying to peel back the corporate hype to expose what lies behind the investment-returns gap: a disconnect between integration and workflows. The MIT report also pointed to a lack of feedback loops or a misalignment with individual business needs.

“We invested a significant amount of money in making use of AI at Ranko Media and, overall, replacing humans didn’t work at all. Enabling our team to produce more output is where we found the best ROI,” Nick Rubright, CEO of Ranko Media, told The Epoch Times.

“For example, we create lots of content for our clients ... We tried to automate content with AI, but the problem for us was that in GEO [generative search optimization] and SEO [search engine optimization], it’s winner-take-all. So we had to go back to leveraging human writers with real-world subject matter expertise because we needed to create content that would be competitive on the internet,” Rubright said.

?itok=muwhEwnV

He added that his company still uses AI to create content, but only the tools that are useful to his workforce and with the specific goal of expediting repetitive tasks.

By taking the focused integration versus human replacement approach, Rubright said AI has significantly improved his company’s content profitability.

“We make about 4x margin on content now, and the performance of that content has improved significantly across the board. I think it’s because humans have instinct from prior experience, but AI just sort of does what everyone else is doing and uses data, not experience,” he said.

Rubright also believes executives who view AI as a cheap replacement for human labor likely won’t see the returns they expect.

“There’s a lot of talk about AI being a human replacement, and lots of AI startups claim their tools can replace workers, but I’ve never found this to be true because these new tools still need management,” he said.

The phenomenon of high AI-tool adoption and low industry disruption rates is something the MIT report observed across 300 publicly disclosed AI projects, interviews with 52 organizations, and responses from 153 senior leaders at four key industry conferences.

So far, industries showing the most successful AI transformation include telecommunications and professional services.

The report also noted that established large language model AI programs such as ChatGPT have higher rates of successful corporate deployment than their custom-made counterparts. Many of the failed attempts to integrate custom AI tools into businesses were attributed to “brittle workflows, lack of contextual learning, and misalignment with day-to-day operations.”

Mansuri said he sees three main barriers come up regularly for companies struggling to get a return on their AI investment.

“First, data quality. You can’t build reliable AI on messy data. Companies rush to implement models without cleaning up their data infrastructure first. This is like trying to cook gourmet meals with spoiled ingredients,” he said.

The second one he noticed is unrealistic expectations at the executive level. Mansuri said many CEOs expect to see an “immediate transformation” after sinking money into AI technologies.

Finally, he said, many leadership teams try to retrofit existing roles instead of hiring people who actually understand both the tech and the business applications.

“You need engineers who can bridge the mercurial gap between cutting-edge AI capabilities and practical business value,” Mansuri said.

?itok=rIXnYZTG

Fixing Bottlenecks

Starting small and having clarity around what AI tools are being used for has helped many business owners steer clear of an investment sinkhole, experts said.

“We’ve seen tangible ROI from AI because we started small and applied it to specific bottlenecks rather than chasing a big project,” Eric Turney, president of custom product manufacturing firm The Monterey Company, told The Epoch Times.

Turney said his company uses AI to generate SEO-optimized content and streamline customer responses, which has significantly reduced their cost per lead and improved lead response times.

“Unlike companies that stall, we’ve turned AI into a revenue driver by tying it directly to measurable outcomes,” he said.

Nick Strada, the founder of ad agency Bruiser Creative, is also seeing a fast return on his AI investment because he put it into production immediately. It has paid for itself, even with big projects.

https://store.zerohedge.com/raw-organic-honey

“AI tools aren’t lab toys, they’re embedded in workflows that affect both cost and revenue,” Strada told The Epoch Times.

He said on the cost side, automation through AI tools has saved money on labor hours with tasks such as parsing briefs, scraping campaign data, and generating research reports. In terms of revenue generation, Strada said his company is seeing returns there, too.

He used a recent example of when a client came to his company with a seemingly impossible schedule and modest budget, which AI was able to help solve.

“By combining human craft with AI-enhanced workflows, including image generation, scaling tools, [and] automated asset preparation, we produced work that reached Cannes Lions scale. That success generated new client opportunities and reinforced relationships,” he said.

Strada said reaping the rewards from smart AI investments isn’t a theoretical concept: “It shows up as reduced operational overhead, new project wins, and the ability to make ideas come to life in ways that were previously not possible.”

Turney said successful AI integration in a business requires clarity on its place within the company workflow.

In his experience, Turney has noticed “companies often overinvest in experimental tools or broad strategies, but fail to integrate AI into their daily operations with accountability effectively.”

He said another corporate pitfall is treating AI like a “magic bullet,” rather than continually refining its role.

Mansuri said the formula for successful AI investment is simple: Industries with clear, measurable processes see faster returns. For example, he said logistics and supply chain optimization manifest revenue quickly because route planning and inventory management have direct cost savings that can be measured in real-time.

Alternatively, Mansuri said industries that are heavily regulated, such as health care, can take longer to show returns on AI investment.

“Industries with quantifiable processes and clear success metrics see faster ROI than those with subjective or heavily regulated outcomes,” Mansuri said.

In a March https://www.morganstanley.com/insights/articles/ai-monetization-race-to-roi-tmt

, Morgan Stanley noted many company executives are optimistic about seeing a return on their AI investments amid rosy forecasts of hundreds of millions in profit gains over the next few years.

However, the investment bank tempered this enthusiasm by acknowledging that AI-investments with long-run payoff are challenging to identify.

“AI adopters are already outperforming the broader market,” Andrew Pauker, a director at Morgan Stanley Equity Research, said in a https://www.morganstanley.com/insights/articles/ai-monetization-race-to-roi-tmt

.

“Companies discussing AI adoption have been rewarded in fourth-quarter earnings.”

https://cms.zerohedge.com/users/tyler-durden

Tue, 09/09/2025 - 12:25

https://www.zerohedge.com/ai/why-billions-ai-investment-can-be-pitfall-some-companies

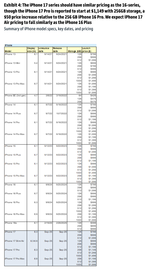
UBS Tempers Expectations Ahead Of Apple Launch: "Expect Marginal iPhone Changes"

UBS Tempers Expectations Ahead Of Apple Launch: "Expect Marginal iPhone Changes"

Apple's "Awe Dropping" launch event kicks off later today at 10 a.m. PST / 1 p.m. EST, with as many as eight new devices expected: four new iPhones, up to three Apple Watches, and the AirPods Pro 3.

?itok=EGg6qBYa

Not to dampen enthusiasm for the Awe Dropping event, which Goldman previously https://www.zerohedge.com/technology/goldmans-iphone-17-breakdown-ahead-awe-dropping-event

, but UBS analyst Tricia Wright reminded clients earlier this morning, reiterating a previous note, to "expect only marginal changes to the iPhone 17 lineup at the Apple event."

?itok=4bmBDf7s

Wright cites analyst David Vogt's recent note about what to expect at WWDC25:

David Vogt expects an iPhone Air to replace the Plus in the lineup at Apple's iPhone launch event on Tuesday. While he acknowledges that a thinner device would introduce a relatively new form factor for the iPhone, he thinks it will have a muted impact on consumer purchasing decisions and thus, limited upside to his iPhone forecasts for the September and December quarters.

Considering that only incremental software updates were announced at WWDC25 in June, David does not expect material announcements regarding Siri Apple Intelligence features until next spring. However, there is a cohort of investors that expect Apple to announce an AI partnership, potentially with Google, based on his conversations.

That said, like the impact of new hardware, he does not anticipate a pick up in iPhone demand given stand-alone AI applications are already available in the smartphone market. David repeats his 'neutral' rating on the stock.

Separately, Goldman analyst Michael Ng provided clients with insights into his desk's views (https://www.zerohedge.com/technology/goldmans-iphone-17-breakdown-ahead-awe-dropping-event

) on the new iPhone, including pricing, while reiterating his "Buy" rating on the stock.

?itok=RMw-2WIG

Watch the Awe-Dropping event Live:

. . .

https://cms.zerohedge.com/users/tyler-durden

Tue, 09/09/2025 - 12:05

https://www.zerohedge.com/technology/ubs-tempers-expectations-ahead-apple-launch-expect-marginal-iphone-changes

New York Health Dept Defies FDA: Hochul's Emergency Order Pushes Off-Label COVID Shots For Kids As Young as 3

New York Health Dept Defies FDA: Hochul's Emergency Order Pushes Off-Label COVID Shots For Kids As Young as 3

https://disinformationchronicle.substack.com/p/new-york-states-off-label-covid-vaccine?utm_source=post-email-title&publication_id=264299&post_id=173014522&utm_campaign=email-post-title&isFreemail=true&r=gz4m7&triedRedirect=true&utm_medium=email

,

New York’s department of public health released a series of odd guidances to pharmacists and physicians on Friday to promote COVID vaccines to children and adults for “off label” use, meaning in conflict with FDA’s official label. Signed by Governor Kathy Hochul, New York’s https://www.governor.ny.gov/executive-order/no-52-declaring-disaster-state-new-york-due-federal-actions-related-vaccine-access

declares a “disaster in the state of New York due to federal actions related to vaccine access.”

_92%281%29.jpg?itok=pUerbgeJ

“A friend of mine said they’re contacting the nurse’s union,” a New York City nurse texted me, shortly after New York released their new COVID vaccine guidance. “They don’t know wtf to do with that!”

A New York physician sent me documents the state’s health department sent to physicians and pharmacists, called “providers” in healthcare lingo. She and the majority of her colleagues no longer get COVID boosters, and she’s worried that the new guidance for “off label” use makes no sense, does not fully inform patients, and might be illegal.

Pfizer pled guilty to criminal charges and https://www.justice.gov/archives/opa/pr/justice-department-announces-largest-health-care-fraud-settlement-its-history

daughter-in-law is a top lobbyist at a pharma firm that has sought to influence NY lawmakers.

?itok=2ICMZnyM

According to a recent https://www.bio.org/events/bio-patient-health-advocacy-summit/speakers/2157665

, Christina Hochul is now a lobbyist at Alexion, a subsidiary of AstraZeneca.

In one unsettling example of New York’s emergency guidance, officials allege that “physical activity” places people at risk of COVID.

Because she works in both New Jersey and New York, this physician requested to go by the name “Michelle” to protect her license and possible job reprisals. “The states that I practice in are particularly regressive and hostile,” Michelle said. “They have pursued suspending and revoking licenses for providers that asked questions that in any other situation would be normal to ask.”

Over the weekend, I spoke at length with Michelle, probing her to explain what is going on in healthcare right now and what she and other physicians plan to do about New York’s emergency declaration. At times, the conversation veered into the horrors she’s experienced in modern American healthcare. When a wave of illegal immigrant children came to New York a couple years back, many of them she treated had been sexually abused and trafficked during their migration from places as far away as Honduras. She also consulted for a hospital where boys who identified as “trans girls” were placed in a female psychiatric ward and then sexually abused the girls, crimes which were likely never reported to police, and handled internally by staff.

This interview has been edited and condensed for brevity and clarity. “I have never worked in healthcare like this,” Michelle said. “I can’t even ask the state department questions about some of this because that might flag me to a licensing board.”

THACKER: Tell people what's been going on with prescribing in your part of the country, and what happened when these new statements came down from the Department of Health in New York.

MICHELLE: There’s an undercurrent in healthcare right now … if you look at the uptake of COVID vaccinations, it's plummeted, right? Even in healthcare workers. And many hospitals have dropped their COVID vaccine requirements.

I also work at a private university. And this is an ongoing conversation for students. Are students going to be required to get these vaccines when they are not required by employees? It's a constantly changing conversation. And some hospitals are requiring students get COVID vaccination, even when they don't require it for their employees.

So what I see... privately and personally in my colleagues is … no one's getting boosters. No one's getting them anymore. They're uncomfortable getting them, and they're not required to.

It just feels like an internalized hypocrisy that we have to recommend these vaccines when most of us aren't getting them. And it's not like a minority of my peers. I would say the vast majority, even people that were previously receiving multiple boosters.

THACKER: Why are they not getting the boosters? Excess mortality dipped below zero in January 2023. Do they think the risk benefit doesn't make any sense, so there's no point in getting them? Or are they worried about potential side effects now?

?itok=Z2j5hFgg

MICHELLE: In practice you can see the risk benefit doesn't make any sense. There are populations that still get COVID, but it's very treatable for the vast majority of people.

The data is skewed from the beginning, because we are looking at hospital numbers for COVID rates of infection. I would say about 30 to 40 percent of people test at home. So we don't even know the reality of how many people are getting infected. The vast majority of people are recovering from this at home.

THACKER: So the true number COVID infected people are never accounted for, which increases the percentage of people we think are getting seriously ill or dying.

MICHELLE: People with comorbidities may get ill, and certainly older people, but this is not a time where our hospitals are struggling. This is three years out from the height of COVID. RSV and flu were a lot more severe than COVID last year.

States have dropped their COVID trackers. There weren’t COVID trackers last year, I checked everywhere. I feel like that's a conflict, where our states aren't even tracking disease statistics, but then recommending vaccination for the disease that you're not tracking.

You track flu, but we stopped tracking COVID statistics. I think that is meaningful, don't you?

THACKER: Your department of health put out this notice to pharmacists and it actually says that while federal actions may restrict eligibility with no underlying conditions, meaning comorbidities, providers may administer the vaccines “off-label.”

And then it provides step by step instruction for off label use for “patients age 3 and older,” which I thought was really odd. That a department of health would be recommending, “Hey, here's how you can do something off label.”

?itok=lnKZUE1N

MICHELLE: I was stunned. I couldn't believe that. I've never seen that. I went to my colleagues, I asked peers, “Have you ever seen any department of health recommend off-label use?” No, never. People that I've known—that have been practicing for 25, 30 years—had never seen that before.

And I am like, “Wait a minute, you can't do that.” Departments of health deliver guidance from regulatory bodies; they send federal information, regulatory information to providers. So that made me pause.

But the off-label thing, I still can't wrap my head around.

THACKER: A lot of these COVID vaccines are given by pharmacists. You're not getting a prescription from your doctor. You just show up at like CVS and say, “Hey, I want this.”

Now you can say, “Hey I want this, and I want to get it off label.”

MICHELLE: Absolutely. But I just want to note that a pharmacist can prescribe vaccines only. This is the one thing they can do at point of care. Let's say your kid goes to a school where they require the flu shot, or you have to get an update on varicella. If you go to the CVS, they can now upsell you on COVID vaccine because they have this guidance for off label.

If you're an informed consumer, you might go, “Oh my gosh, look at the federal guidance on COVID and I'm 45. I shouldn’t get this. What am I gonna do? Oh, I can get it off label.”

You might be an informed customer that wants the COVID-19 shot, and you should have that right. But I've never seen this before where you're having a department of health encouraging people to ignore the FDA.

THACKER: I’m not sure I’ve ever heard of this.

MICHELLE: At the top of the new guidance to physicians, it says, “We recommend vaccination..” It’s only on the bottom of the page that it says “federal actions may restrict eligibility.” That wording is very complicated and avoids stating, “The FDA recommends vaccination only for people over 64 etc…” By not naming the FDA or the FDA’s guidance, someone glancing over this could incorrectly believe that this is recommended by the FDA as well.

My concern is for the people with kids who go to the pharmacy and don't know about the research and FDA guidance.

Is the pharmacist gonna give them actual informed consent and say, “Well, I'm writing this for you off label because the state says I can.”

Are you gonna really say that? I highly doubt it.

THACKER: It’s highly unlikely they're gonna inform parents that federal guidance says healthy kids don't need this, but I'm gonna give it to you anyway.

MICHELLE: Are they going to be pleasant, “Hey, do you also want to get a COVID shot for your kiddo?”

I can't speak to if there are incentives for that, for pharmacists. Perhaps. Who knows? There's certainly incentives for MDs, if you maintain a certain percent of your patient population with current vaccinations. That's a known incentive.

There's so many questions at play here, because off label use of medication is tricky.

THACKER: So you can walk into your CVS, Walgreens, Rite Aid and get it off-label for kids, three years and older. Now for medical doctors like yourself, PAs, RNs, it tells you 19 years and over. So it's completely a different age bracket that they're recommending for prescribers.

?itok=AAWzdkCj

MICHELLE: Well, let me clarify that, because there are multiple updates. That's the COVID recommendations for adults. There were two other missives that went out, pregnant women and children.

THACKER: It says there is no concern about getting vaccinated at any stage of pregnancy, “in any trimester.” Wow, this ishttps://www.medrxiv.org/content/10.1101/2025.06.18.25329352v1

.

Can I just correct you on one thing. It says, “pregnant people.”

?itok=jv22HbDV

Oh, God. We’re doing that again. Can you explain “pregnant people” to readers. I live in Spain and this political vernacular hasn’t worked its way into the Spanish language. When I tell physicians in Spain about “pregnant people” they don’t’ understand.

I then explain it to them and they start cracking up.

MICHELLE: This is the most politicizied term to sanitize a polical agenda. It’s an attempt to include trans langauge into the basics of healthcare, at its foundation. This language didn’t exist from the NY state department of health a few years ago.

THACKER: So let’s look at what NY recommends for children.

MICHELLE: For children, the thing that I noticed right away that was concerning: well, on all of these documents, they hide that FDA is not recommending this. They don’t tell you up top, in a first bullet point. It's way further down. I’m still going through all the new advice we’ve been given.

?itok=3XLhRfQz

But the first bullet point states that all children age six to 23 months should be vaccinated. The second says children and adolescents ages two to 18 years who fall in these subgroups can be vaccinated

THACKER: And by “subgroups” they mean these are kids with comorbidities, increased risk for disease.

MICHELLE: Wait so that's the first two points. And then third point states that vaccine may also be provided to children ages 2 to 18 who do not fall into one of the above categories, at the request of their parent or guardian.

So, it's a blanket, it's a catch-all, covering all kids. And when you combine that with the other documents, you see that we're doing everybody.

THACKER: All ages, unless you’re a newborn, less than six months.

MICHELLE: These documents should say very clearly at the top that they don't have the role of the FDA. And maybe that this is a new vaccine from June 2025. Have they reviewed all those studies that the FDA reviewed to approve this newest vaccine? I'm just confused. Who’s taking accountablity for this if some kid is harmed?

Kathy Hochul?

They're taking a regulatory authority they don't have. Did they examine the safety data on these vaccines? The FDA is the one that's supposed to do that. I don't know if they're able to operate in the role of the FDA and give this guidance

Governoer Kathy Hochul released an emergency order to allow this off label use for a month. And I don't see that there either in any guidance, which is also misleading. They’re releasing guidance for the season, but the emergency order only covers this next month.

I don't see anything on there saying this is for the month of September.

THACKER: The other weird thing is on the second page for the adults. It explains the underlying medical conditions that increase the person's risk of severe COVID-19 and it says “physical activity.”

I mean, what the hell? Is this like, “Did you exercise?”

?itok=C-xaty-A

MICHELLE: I know. I'm so curious about that. I'm still pulling everything apart. I want to look at the medical citations. I don't even think that was cited.

So physical activity, that's wild. And I don't understand. I don't understand. Your moderate activity that keeps you healthy, keeps your cholesterol down, your blood pressure down, is what they actually say is putting you at risk for severe COVID.

THACKER: What is all this craziness doing to you and your colleagues?

I'll just let you know, I got a message from a nurse in New York City who told me that her other nurse colleagues are going to their union asking, “What do we do?”

MICHELLE: I think there's like an ethical and moral dilemma going on in healthcare because people—nurses and doctors—are living privately in a different way than they have to practice publicly. And that's the truth.

I mean, look at the uptake rates. Even in the department of health admits that COVID vaccination for small children's is like 3.4%. Wouldn't that indicate that almost 97% of people are not wanting to vaccinate their children for COVID?

THACKER: Who comes to you to get their kids vaccinated for COVID?

MICHELLE: It's a very niche, small group of people. However, there are people that come in to get vaccinations and are told they need to get the COVID vaccine and do it because they're told. They can be convinced into it, but even among that group there is more and more people that aren't.

But this other group are—I would say are separate—that are almost religious in this quest to get vaccinated. It's like a moral belief. “This is the correct thing to do.”

THACKER: What does this do to you as a doctor? You know what the FDA is saying, and you're reading the medical literature. And then you're getting this guidance coming in from New York state telling you what to do.

If a patient said, “I want the COVID vax.” Would tell them what the FDA says? Or do you gotta shut up because you wanna preserve your job?

MICHELLE: It's very, very tricky. It's a very fine line. The core of my practice is patient education and informed consent for every medication. When people ask for medications that I have feelings about or don't agree with, I usually have an exploratory conversation.

“Why do you think you'd like that medication?”

Hear their thoughts and get to the core, the issue. I share information with them as neutrally as possible to help them make the best decision, but it is a tightrope walk. I do not involve politics in any way. I think it's an unhelpful, because my goal is to provide good healthcare. And I think that has to be apolitical.

I don't judge anyone on their politics or beliefs. I don't judge anyone about their choices to get COVID vaccination. I do feel negatively towards healthcare. Agencies and institutions that don't share information with their patients. It's unfair. You're basically using fear-based narratives to sway thinking.

And then again, this is America. If you want to get a shot, you should be able to get a shot. But you have to be told also what your risk-benefit ratio is, just like with any product.

THACKER: Would you feel comfortable if someone came in to get a five-year-old vaccinated for COVID, would you feel uncomfortable telling them, “Well, I just wanna let you know that neither I nor any of my colleagues are getting our children vaccinated for COVID.”

MICHELLE: The states that I practice in are particularly regressive and hostile. They have pursued suspending and revoking licenses for providers that asked questions that in any other situation would be normal to ask.

I've seen colleagues threatened or called racist by hospital administration for suggesting we restrict travel to China at the beginning of the pandemic—when it originated in China. If you look at the swine flu pandemic, that's exactly what they did was restrict travel. That's a normal pandemic measure for centuries.

So this is a very strange, politicized moment in time. And there are many, many providers who will privately practice differently than what they prescribe to their own patients. I have never worked in healthcare like this.

I can’t even ask the state department questions about some of this because that might flag me to a licensing board.

*  *  *

Paul Thacker is a https://disinformationchronicle.substack.com/subscribe

. No spam, just solid journalism.

https://cms.zerohedge.com/users/tyler-durden

Tue, 09/09/2025 - 11:45

https://www.zerohedge.com/medical/new-york-health-dept-defies-fda-hochuls-emergency-order-pushes-label-covid-shots-kids-young

EU Censors German Police Boss's Chilling 2050 Immigration Nightmare Post

EU Censors German Police Boss's Chilling 2050 Immigration Nightmare Post

https://rmx.news/article/eu-censors-post-from-german-police-union-deputy-head-describing-a-dystopian-germany-in-2050-due-to-mass-immigration/

What will Germany look like in 2050? The outspoken deputy head of the German police union (DPolG), Manuel Ostermann, published an excerpt from his book on X about what he sees as the perils of mass immigration. His post described Arab clans dominating big cities in 2050, Sharia law, child marriage, grooming gangs, and a host of other ills. Now, the European Union has censored his post from being seen across the entire continent in a major escalation against a public official, one who is considered one of the leading voices of tens of thousands of German police officers, and a voice frequently appearing in major German news outlets, including Welt and Bild.

?itok=LZHnROmx

Here is the original text, https://rmx.news/article/germany-2050-police-union-deputy-head-predicts-arab-clans-dominate-big-cities-drug-use-explodes-sharia-law-child-marriage-and-grooming-gangs-wreak-havoc/

, which was translated before his post was censored.

For those looking for the post, they are now greeted with this text. Likely, the post was removed under the Digital Services Act, a https://rmx.news/article/they-want-censorship-poland-considers-shutting-down-x-eu-launches-investigaiton/

.

?itok=Xm8rs76A

However, Ostermann’s prediction is a perfectly valid exercise of speech in any free and democratic society. Even if his predictions are wrong, or even if some do not turn out to be true, Germany and other EU nations still guarantee a constitutional right to such speech.

Furthermore, there is much evidence to support his conclusions, at least in part.

“By the way, this text comes from my book ‘Germany is no longer safe.’ I’m pleased that it’s being debated, because that’s how reality, unfortunately, can look quite rapidly in Germany,” he wrote in a post that is still visible.

Will the EU also ban his book? If they are willing to censor sections of a book, they are also willing to censor entire books. It is certainly a dark turn of events that Europe is actively censoring a police official and union deputy leader amid an ongoing public debate about immigration and its effect on European nations.

Dieser Text stammt im Übrigen aus meinem Buch „Deutschland ist nicht mehr sicher“.

Freut mich, dass darüber debattiert wird, denn so kann die Realität leider ziemlich zügig aussehen in Deutschland.

— Manuel Ostermann (@M_Ostermann) https://twitter.com/M_Ostermann/status/1960810757530247453?ref_src=twsrc%5Etfw

Ostermann’s post was not created in a vacuum. He has a bird’s eye view in his role as a police officer of the chaos wrought by Germany’s open borders ideology. While his warning is stark, it is fair to make predictions based on current events and data.

Let’s address some of the facts.

Arab clans dominate the big cities

“Imagine Germany in 2050. Arab clans dominate the big cities. Gangs fight each other in the fight for sovereignty in organized crime. People who don’t belong to the “right side” are murdered on the street. Even the police hardly dare to go to certain areas known as no-go areas anymore. Drug deaths hit an all-time high,” wrote Ostermann.

What exactly is the issue with the censors here?

Clan crime is a major problem within German cities, and it is almost entirely derived from Muslim countries, including Lebanon, Turkey, and even Syria. There are similar problems in neighboring countries, including Moroccans and Chechens operating in France and the Netherlands, and warring over the country’s drug trade.

Germany’s only public media networks routinely run articles and documentaries on the country’s growing clans and their power. In fact, https://rmx.news/germany/clans-corruption-drugs-german-documentary-reveals-clan-crime-gangs-have-bribed-police-and-infiltrated-state-authorities-across-the-country/

details how these clans have infiltrated the government and police forces to the point that fellow police officers cannot even trust each other.

https://www.zdf.de/play/dokus/zdfzeit-106/kriminelle-clans-in-deutschland-102

” shows that criminal networks not only exercise control in some areas of large cities, but have also established their influence nationwide, right up to state institutions. Accumulating huge wealth illegally, they have built a tight network that includes law enforcement professionals.

“It is a murderous and extremely criminal milieu that goes on there. And now on so many levels that we no longer know whether we can really stop it at all. Were raids betrayed, investigations manipulated and employees bought off by the authorities? There is even despair in certain police stations,” states the narrator.

As Germany’s foreign population grows, so does clan crime, or at least the potential for such crime.

Just this year, 100 Lebanese clan members battled on the streets. Here is what Remix News https://rmx.news/article/germany-mass-street-battle-with-100-lebanese-clan-members-leads-to-bloodbath-as-mass-police-operations-launched/

: “There was a bloodbath on the streets of Germany after two extended Lebanese family groups fought in a battle that reportedly involved 100 people in the city of Heiligenhaus. The two groups battled using machetes, knives, and other weapons, leading to a mass police operation that resulted in at least five serious injuries, including one that is life-threatening. Police made several arrests.”

Incredible violence, attacks on police, and corruption at the highest levels are already the case to a large degree in a number of European cities. In Marseilles, killings have hit a record high and foreign gangs dominate the city’s drug trade.

🇫🇷 Marseilles. France

The French port city is now a major narcotics hub for Europe.

Last year, a 15-year-old was stabbed 50 times and burned alive in the drug violence as murders hit record highs.

This is the "New France." https://t.co/2ueIZ5BKH4

— Remix News & Views (@RMXnews) https://twitter.com/RMXnews/status/1908116262875525378?ref_src=twsrc%5Etfw

In the Netherlands, even the royal family has been threatened by the power wielded by foreign criminals.

Regarding the potential for drug overdose deaths, the situation could go many different ways, but https://www.euronews.com/health/2025/06/05/rising-deaths-fake-pills-gang-violence-how-the-eu-is-struggling-to-cope-with-illegal-drug-

. With the flood of synthetic opioids coming into Europe, the situation could worsen.

Is there any guarantee that Germany can escape such developments? Certainly not. Osterman presents a valid prediction based on trend lines, and certainly, there are no grounds to censor his prediction.

Sharia law and women’s rights

“In some districts, only Sharia law is recognized as valid law.“

Already, Austrian courts are https://brusselssignal.eu/2025/08/austrian-court-allows-use-of-islamic-sharia-law-in-private-contracts/

as valid so long as it does not contradict fundamental rights and higher state laws. However, this may be only a stepping-stone ruling.

In Germany itself, there is a small but vocal minority of Muslims who are openly protesting in favor of a https://www.dw.com/en/germany-hamburg-caliphate-rally-prompts-calls-for-punishment/a-68971732

.

However, this is not the most concerning development. Instead, in a https://www1.wdr.de/nachrichten/dieanderefrage-scharia106.html

, it showed that nearly half of young Muslims in Germany believe a theocracy is the best form of government.

In the same study, 67.9 percent of young Muslims said that the rules of the Quran were more important than the laws in Germany. This was also all reported by the state-run news network WDR.

This also means there are hundreds of thousands of Muslims who do not hold these beliefs, but the sheer numbers are also extremely worrying.

Nearly every single Muslim country on Earth is either ruled by classic Sharia law or has many elements of Sharia law incorporated into its legal system. Not every country is ruled by a strict standard, but many feature extremely harsh versions of such laws, including laws that openly target homosexuals and women.

Within Germany itself, the situation is potentially explosive, with an alarming number of Muslims feeling alienated living in a Western democratic society. Many of them harbor ideas that can be considered more radical, including a willingness to turn to violence.

https://www.uni-muenster.de/news/view.php?cmdid=14762

that “for around 20 percent of the approximately 1,900 (Muslim) respondents, a perceived insult would not be compensated for. Those affected then blame their emotional misery on an abstract perpetrator, namely German society in general. Around 11 percent of this group are also prepared to defend Muslim interests with violence.”

That 11 percent is no small number, and could represent hundreds of thousands of people. Often, it is radicals in a society who push social reform in their direction.

One quote from Ostermann’s excerpts stood out: “Women are only allowed to go out on the streets unless fully veiled and accompanied by a male relative.”

Again, Ostermann is not making an idle claim here. In many Middle Eastern and African countries, this is a serious issue for women. In fact, Human Rights Watch released an entire report on the issue, https://www.hrw.org/report/2023/07/18/trapped/how-male-guardianship-policies-restrict-womens-travel-and-mobility-middle

:

“Women across the Middle East and North Africa region face varying restrictions preventing them from moving freely in their own country and from traveling abroad without the permission of their male guardians—typically their fathers or brothers, and when married, their husbands.”

As Human Rights Watch notes, there is a tremendous number of countries where women need outright permission from their husbands to leave their homes.

“In positive news, some countries such as Algeria, Morocco, and Tunisia have removed language around women’s obedience to their husbands which led to restrictions on their movements. However, 15 countries in the region still apply personal status or family laws that require women to either “obey” their husbands or live with them, and/or deem women disobedient if they leave the marital home or work or travel without their husbands’ permission. Courts can order them to return to their marital home; if they do not, they can lose their right to spousal maintenance from their husbands.”

Even Germany’s own https://www.youtube.com/watch?v=sftBu5v6uJQ

.

Why is this development impossible in Germany?

In 25 years, Germany’s baby boomer population will have mostly passed away, which will represent a massive demographic shift in the country. The country will, according to all demographic trends, become more Muslim. Pew Research predicts up to https://rmx.news/article/muslim-population-of-europe-could-triple-in-30-years-but-not-in-hungary-poland-czechia-and-slovakia-report/

. If more and more Muslims hold positions of power, as they do in the U.K., they may have more and more opportunities to shape Germany in ways that align with their cultural norms. Certainly, they may enforce these rules in their own neighborhoods and districts, with authorities mostly turning a blind eye to such practices.

Another prediction from Ostermann: “The streetscape in these cities is dominated by Arab shops and traders.”

Ostermann’s claim here is more or less already the reality in many neighborhoods in Germany’s big cities. German stores, pubs, and even butchers have been greatly pushed out, often because there is simply no market for them. However, there are other forces at work that lead to these developments, not only immigration.

Arabic dominates

“You only hear Arabic. Germans have moved to other parts of the city and no longer dare to go back. In schools, lessons can only take place bilingually,” Ostermann also writes.

Again, what is the issue with this prediction? Already, there are numerous schools where https://www.welt.de/politik/deutschland/plus68b5a7b7861a6b0577ff7071/schulalltag-ich-frage-mich-was-tut-man-diesen-kindern-damit-an.html

and where the majority of students entering the school do not even speak a word of German. This is simply a fact.

This trend is already in its early stages. There have been massive demographic shifts in a number of major European cities. Vienna is already farther along. There, Muslims make up 41 percent of the elementaryhttps://rmx.news/austria/this-is-no-longer-immigration-this-is-displacement-for-the-first-time-muslim-students-outnumber-christians-in-viennas-schools/

.

Language problems are rife, and in many areas, Arabic languages dominate. In fact, in Vienna, 70 percent of students do not speak German in their everyday life.

🇦🇹🚨Mass immigration DESTROYING Austria's education system

🔺Around 70% of school-age children in Vienna do not speak German in their everyday life. 39%, or nearly 80,000 children, do not have Austrian citizenship,

🔺Teachers are quitting schools in Vienna "in droves" over mass… https://t.co/idjcga6NIU

— Remix News & Views (@RMXnews) https://twitter.com/RMXnews/status/1815379697280155977?ref_src=twsrc%5Etfw

In 25 years, if these trends continue, it is hard to see how this situation will not dramatically worsen, just as Ostermann predicts: “The law of the strongest prevails in the playground.”

Remix News has discussed this issue many times. Berlin schools have seen violence skyrocket. Students are stabbed or threatened with knives at an alarmingly high rate. Ethnic Germans are https://rmx.news/article/berlin-is-everywhere-multiculturalism-is-burning-down-the-german-school-system/

, marginalized, and assaulted.

🇩🇪❓"Why don’t you have any German friends?"

🔺"Because they don’t belong to us. I can’t stand the Germans too much."

Thousands of German students now face discrimination and sometimes outright assault from foreigners in their school systems.

Yet, the narrative of the "evil… https://t.co/3EtIdpGpna

— Remix News & Views (@RMXnews) https://twitter.com/RMXnews/status/1957905409492091054?ref_src=twsrc%5Etfw

🇩🇪🔴 A young German girl spoke of the nightmare she experiences from her Muslim classmates.

"Sometimes they say to me that I’m German. And yeah, then they laugh at me, curse at me and tease me. Others are always Muslim, and they ask me why I am not a Muslim. I said I am a… https://t.co/gggVOm9IPs

— Remix News & Views (@RMXnews) https://twitter.com/RMXnews/status/1958475716384735511?ref_src=twsrc%5Etfw

🇩🇪‼️ A 14-year-old schoolgirl was brutally beaten up by a Libyan and Syrian gang of girls, who were known for sharing Islamic State (IS) videos in a chat.

When the victim tried to help her sister, she was pulled to the ground, brutally kicked and taken to hospital.

She… https://t.co/MQScfabzBo

— Remix News & Views (@RMXnews) https://twitter.com/RMXnews/status/1949389574431514656?ref_src=twsrc%5Etfw

These are not isolated incidents, and even left-wing voters will acknowledge that there are tremendous problems for German children in heavily migrant schools. Green and affluent left-wing voters increasingly isolate their children in private schools, in gifted programs, or in wealthy enclave neighborhoods to protect their children from these issues. All the while, these same parents hold true to their ideology, despite the reality on the ground for thousands of other students.

“Girls and women only dare to be around people with pepper spray in their pockets. Gang rapists and so-called grooming gangs wreak havoc with impunity.”

Ostermann refers to a reality that is already in place, as insecurity among women has already greatly increased. Surveys show that the German populace https://rmx.news/article/germans-increasingly-afraid-to-go-outside-a-majority-believe-the-police-have-lost-control/

, largely due to mass migration.

Women have turned to self-defense tools, but those are largely limited in Germany.

🇳🇱🇩🇪 Women in the Netherlands and Germany are now trying to defend themselves with "Smurf spray" after an asylum seeker raped and murdered 17-year-old Lisa.

"Since Lisa’s death, many of (self-defense) products have been sold out, including the Smurf spray."

Pepper spray is… https://t.co/CorZ9UKhbi

— Remix News & Views (@RMXnews) https://twitter.com/RMXnews/status/1962818971444379859?ref_src=twsrc%5Etfw

Women are expressing their https://rmx.news/poland/in-germany-i-dont-feel-safe-i-want-to-return-to-poland-says-polish-woman-to-pm-morawiecki/

on the web quite openly.

🇩🇪🔴 A young German teen ponders what Germany would be like if Merkel had not welcomed over 1 million migrants.

She was only 4 when the former chancellor made her decision, but life has dramatically changed.

"I can hardly recognize the Germany you tell me about today. And since… https://t.co/uHRFov08z1

— Remix News & Views (@RMXnews) https://twitter.com/RMXnews/status/1963157493846036602?ref_src=twsrc%5Etfw

Foreigners and men with a migration background already https://rmx.news/article/record-number-of-gang-rape-suspects-in-germany-in-2024-with-over-half-being-foreign-nationals/

. However, in the U.K., where grooming gangs were targeting thousands of women, nearly all suspects were from Pakistan and other Muslim countries. To say that such a development in Germany is impossible is simply not realistic.

Does that mean all Muslims are gang rapists? Of course not, but what is happening in Germany, what has happened in countries like the U.K., and the threat that https://www.unicef.org/esa/press-releases/over-79-million-girls-and-women-sub-saharan-africa-subjected-rape-or-sexual-assault

.

Child marriage, genital mutilation

“Muslim girls, who are still pre-adolescent, like to be married to older men. Genital mutilation is practiced quite naturally in certain circles.”

Again, Ostermann is not far off. Regarding child marriage, this is already a growing problem in Germany, which the government readily admits.

Already in 2019, https://rmx.news/article/germany-is-failing-to-fight-child-marriages-in-migrant-communities/

Although Germany has a law to protect minors from forced marriages, it does not apply in practice, and the number of child marriages in Germany was described as rapidly rising, with 98 percent of those affected having a migration background.

Child marriages are not only the practice of people from Syria, Iraq, or Afghanistan but also from Turkey and even Bulgaria, according to German news outlet https://www.focus.de/perspektiven/heirate-oder-du-stirbst-jede-woche-wird-in-deutschland-eine-kinder-ehe-geschlossen-wie-wir-teufelskreis-durchbrechen_id_12482399.html

.

“In fact, there are many more,” said Monika Michell from the Terre des Femmes organization in 2019.

India leads the world in child marriages, with over 15 million recorded. However, other countries like Pakistan, Bangladesh, and Nigeria feature millions of child brides.

How prevalent this practice will be in Germany depends entirely on what share of the population features foreigners from countries where this is already commonly practiced. As Germans head towards minority status, foreigners may become more open about such practices as they gain political power and shape cultural norms.

That leads us to the next issue, genital mutilation.

Germany once again admits itself that it has a serious problem with this practice, entirely due to foreign populations arriving in the country. Already five years ago, the federal government reported that Germany had 68,000 victims of female genital mutilation.

The number of girls and women who are victims of female genital mutilation (FGM) in Germany has increased by 44 percent since 2017 to 68,000, announced German Minister for Family Affairs Franziska Giffey

According to the minister, mainly migration is to blame for the massive increase as many migrants coming to Germany commonly practice FGM in their own home countries. The practice, which is a human rights violation, involves the ritual cutting off some or all of the external female genitalia.

Giffey confirmed that the increase in cases compared to 2017 is so significant because of the rising numbers of immigrants from Eritrea, Somalia, Indonesia, Egypt, and Nigeria arriving in Germany,

Censorship is not the answer to these issues

All of Ostermann’s fears and predictions are grounded in reality, even if some do not come to pass. The EU’s act of censorship is a gross violation of his fundamental rights.

Will they all turn out to be true? Much could happen in the future, but the answer is not to censor leading voices, even if they are delivering a message that is highly uncomfortable for the ruling elite.

https://rmx.news/article/eu-censors-post-from-german-police-union-deputy-head-describing-a-dystopian-germany-in-2050-due-to-mass-immigration/

https://cms.zerohedge.com/users/tyler-durden

Tue, 09/09/2025 - 11:05

https://www.zerohedge.com/political/eu-censors-german-police-bosss-chilling-2050-immigration-nightmare-post

Worst Revision In History: BLS Admits A Record 911K Fewer Jobs Were Added

Worst Revision In History: BLS Admits A Record 911K Fewer Jobs Were Added

Two weeks ago, before both https://finance.yahoo.com/news/another-us-jobs-markdown-sets-100000691.html

to "brace for another huge negative payrolls revision"...

Brace For Another Huge Negative Payrolls Revision, Greenlighting A 50bps September Rate Cut https://t.co/RKJXliyrVq

— zerohedge (@zerohedge) https://twitter.com/zerohedge/status/1961568338162622611?ref_src=twsrc%5Etfw

... and just like one year ago when we did exactly the same, we were spot on: moments ago the BLS reported that as part of its https://www.bls.gov/news.release/prebmk.t01.htm

, a record 911K payrolls for the period April 2024-March 2025 would be revised away.

?itok=pSO89GlE

Some more from the full press release:

The preliminary estimate of the Current Employment Statistics (CES) national benchmark revision to total nonfarm employment for March 2025 is -911,000 (-0.6 percent), the U.S. Bureau of Labor Statistics reported today. The annual benchmark revisions over the last 10 years have an absolute average of 0.2 percent of total nonfarm employment. In accordance with usual practice, the final benchmark revision will be issued in February 2026 with the publication of the January 2026 Employment Situation news release.

Each year, CES employment estimates are benchmarked to comprehensive counts of employment from the Quarterly Census of Employment and Wages (QCEW). These counts are derived primarily from state unemployment insurance (UI) tax records that nearly all employers are required to file with state workforce agencies.

What is more remarkable about today's print is that after https://www.zerohedge.com/markets/us-jobs-revised-down-818000-election-year-shocker-second-worst-revision-us-history

ahead of time was coming), virtually nobody expected this year's number to be higher. It was not only higher, but it was the biggest negative revision on record!

?itok=pKMpo7K0

No wonder the WSJ now reports that "https://www.wsj.com/politics/policy/bureau-labor-statistics-report-trump-administration-ef09edb1?gaa_at=eafs&gaa_n=ASWzDAj-XFqjA5X1zVDDbkQwN-R_YqtnTImWnVQ3PdyXCYU-smHjjklPRnyj8My4XPI%3D&gaa_ts=68c01965&gaa_sig=POAzC8xApu5zexyIvaaUyAw44rwdeeKCBZ7qgpWukaFVAw59exrv-Mho-sS-ipIVnnuYxONBeO14q5k8HgwqQA%3D%3D

" in what is a clear effort at kitchen-sinking all the ugly, fake jobs numbers that were "created" by the Biden admin, and saddled Trump with relentless negative revisions. Expect 1-2 more months of painful job prints, and then another powerful rally higher into the 2026 midterms under a new BLS commissioner as all of Biden's fake baggage is expunged.

So what does it all mean? Couple things and we will follow up with a more extended analysis but here is the punchline:

Trump was absolutely correct to fire the BLS commissioner one month ago: one year of major negative revisions is happenstance; twice is coincidence; three times is enemy action... and in her case, it was just unexcusable incompetence as the most important economic data point the market uses was dead wrong.

There was virtually no domestic job creation in the last year of the Biden admin when one excludes the hundreds of thousands of illegal aliens who entered the work force.

The Fed should have started cutting rates in February, and would have started cutting rates in February if it knew the true sad state of the US labor market.

Just as remarkable: 2 million jobs from the last 3 years of the Biden admin have now been revised away.

?itok=mm4OeCmi

One thing that will never be revised away, however, is the trillions in debt accumulated over his period, and which we now learn encumbered future generations of Americans with massive amounts of debt only to create far fewer jobs than initially reported.

And again, ZeroHedge subs knew all this https://t.co/RKJXliyrVq

.

https://cms.zerohedge.com/users/tyler-durden

Tue, 09/09/2025 - 10:51

https://www.zerohedge.com/markets/worst-revision-history-bls-admits-record-919k-fewer-jobs-were-added

The Mark Of Kaine: How A Senator's Remarks Border On Constitutional Blasphemy

The Mark Of Kaine: How A Senator's Remarks Border On Constitutional Blasphemy

https://jonathanturley.org/2025/09/08/the-mark-of-kaine-how-a-senators-remarks-borders-on-constitutional-blasphemy/

Sen. https://thehill.com/people/tim-kaine/

(D-Va.) this week warned the American people that a Trump nominee for a State Department position was an extremist, cut from the same cloth as the Iranian mullahs and religious extremists.

?itok=iQ9WwPNt

Riley Barnes, nominated to serve as assistant secretary of State for democracy, human rights and labor, revealed his dangerous proclivities to Kaine in his opening statement when he said that “all men are created equal because our rights come from God, our creator; not from our laws, not from our governments.”

It was a line that should be familiar to any citizen — virtually ripped from the Declaration of Independence, our founding document that is about to celebrate its 250th anniversary.

Yet Kaine offered a very surprising response in the https://www.foreign.senate.gov/hearings/nominations-09-03-2025

.

“The notion that rights don’t come from laws and don’t come from the government, but come from the Creator — that’s what the Iranian government believes,” he said.

“It’s a theocratic regime that bases its rule on Shia (sic) law and targets Sunnis, Bahá’ís, Jews, Christians, and other religious minorities. They do it because they believe that they understand what natural rights are from their Creator. So, the statement that our rights do not come from our laws or our governments is extremely troubling.”

The idea that laws “come from the government” is the basis of what is called “legal positivism,” which holds that the legitimacy and authority of laws are not based on God or natural law but rather legislation and court decisions.

In my forthcoming book celebrating the 250th anniversary, https://www.amazon.com/Rage-Republic-Unfinished-American-Revolution/dp/1668205025/ref=tmm_hrd_swatch_0?_encoding=UTF8&dib_tag=se&dib=eyJ2IjoiMSJ9.RRwQP-jxib6FGPIATmKf_-qZ54EqdtHH96MILgFFNEu2d_chUIjFQbBNWZj6-YWIsRTxEeuGYCTw-gDvcdUE1puVoYeX2uBJyqcXA64EqxaA3kXW04dbyRE6t7mOEnrcSOf8BIA7KP47sQttP-6j4qWXwt_gUgP9AJ6jJ1HWnqU62QYxnVkcOQhwCaeyp8o8.-FQ90bYCtRhnfQk9vLhvb1kV2q0kmzaKPZqwWwUateA&qid=1749518291&sr=1-5

, I detail how the Declaration of Independence (and our nation as a whole) was founded on a deep belief in natural laws coming from our Creator, not government.

That view is captured in the Declaration, which states, “We hold these truths to be self-evident, that all men are created equal, that they are endowed by their Creator with certain unalienable Rights, that among these are Life, Liberty and the pursuit of Happiness.”

Kaine represents Virginia, the state that played such a critical role in those very principles that he now associates with religious fanatics and terrorists.

In fact, Kaine’s view did exist at the founding — and it was rejected. https://thehill.com/people/alexander-hamilton/

wrote that “The sacred rights of mankind are not to be rummaged for among old parchments or musty records. They are written, as with a sunbeam, in the whole volume of human nature, by the hand of the Divinity itself, and can never be erased or obscured by mortal power.”

Although the Framers were clear, Kaine seemed hopelessly confused. He later insisted that “I’m a strong believer in natural rights, but I have a feeling if we were to have a debate about natural rights in the room and put people around the table with different religious traditions, there would be some significant differences in the definitions of those natural rights.”

This country was founded on core, shared principles of natural law, including a deep commitment to individual rights against the government. The government was not the source but the scourge of individual rights.

This belief in preexisting rights was based on such Enlightenment philosophers as John Locke who believed that, even at the beginning when no society existed, there was law, “The state of nature has a law of nature to govern it, which obliges every one,” he wrote. “And reason, which is that law, teaches all mankind.”

Note that a natural law can also be based on a view of the inherent rights of human beings — a view of those rights needed to be fully human. Like divinely ordained rights, these are rights (such as free speech) that belong to all humans, regardless of the whim or want of a given government. They are still not “rights [that] come from our laws or our governments.”

The danger of legal positivism is that what government giveth, government can take away. Our prized unalienable rights become entirely alienable if they are merely the product of legislatures and courts.

It also means that constitutional protections or even the constitutional system itself is discardable, like out-of-fashion tricorn hats. As discussed in the book, a new generation of Jacobins is rising on the American left, challenging our constitutional traditions. Commentator Jennifer Szalai has https://www.nytimes.com/2024/08/31/books/review/constitution-secession-democracy-crisis.html

what she called “Constitution worship” and argued that “Americans have long assumed that the Constitution could save us. A growing chorus now wonders whether we need to be saved from it.”

That chorus includes establishment figures such as https://thehill.com/people/erwin-chemerinsky/

dean of the Berkeley Law School and author of “No Democracy Lasts Forever: How the Constitution Threatens the United States.”

Other law professors, such as Ryan D. Doerfler of Harvard and Samuel Moyn of Yale, https://www.nytimes.com/2022/08/19/opinion/liberals-constitution.html

for the nation to “reclaim America from constitutionalism.”

That “reclamation” is easier if our rights are based not in natural law, but rather in the evolving priorities of lawmakers like Kaine. Protections then become not the manifestations of human rights, but of rights invented by humans.

Kaine’s view — that advocates of natural law are no different from mullahs applying Sharia law — is not just ill-informed but would have been considered by the founders as constitutionally blasphemous.

He is, regrettably, the embodiment of a new crisis of faith in the foundations of our republic on the very eve of its 250th anniversary. This is a crisis of faith not just in our Constitution, but in each other as human beings “endowed by their Creator with certain unalienable Rights.”

https://thehill.com/people/jonathan-turley/

” explores the foundations and the future of American democracy.

https://cms.zerohedge.com/users/tyler-durden

Tue, 09/09/2025 - 10:25

https://www.zerohedge.com/political/mark-kaine-how-senators-remarks-border-constitutional-blasphemy

BLS About To Announce Another Huge Payrolls Revision: Here's What To Expect

BLS About To Announce Another Huge Payrolls Revision: Here's What To Expect

Two weeks after we first warned readers to "https://t.co/RKJXliyrVq

", first Bloomberg and then Reuters...

And Reuters https://t.co/ADGIR3IOvF

— zerohedge (@zerohedge) https://twitter.com/zerohedge/status/1965389756554248256?ref_src=twsrc%5Etfw

... both jumped on the bandwagon.

So for those who did not read https://t.co/RKJXliyrVq

of what to expect today at 10am ET - in a nutshell one should expect another huge negative revision to benchmark jobs, potentially as big as 1 million which would make it the biggest on record - here courtesy of Newsquawk is a quick and dirty primer on what to expect.

The BLS will release the preliminary 2025 benchmark revisions to the establishment survey at 10:00EDT on September 9th, 2025.

The final revisions will follow in February 2026, alongside the January employment situation report. Each year, establishment survey estimates are benchmarked to comprehensive counts of employment from the Quarterly Census of Employment and Wages (QCEW) for the month of March, derived from state unemployment insurance (Ul) tax records that nearly all employers are required to file. Bank of America notes that the preliminary estimate is based on QCEW data covering April 2024-March 2025. Importantly, the September release will provide only the implied revision to the March 2025 level of payrolls, with no historical data yet updated.

The Bloomberg consensus shows analysts expected a print of -682k, with estimates ranging between -250k and -900k. For context, the March 2024 nonfarm employment level was ultimately revised down by -598k in the final benchmark, compared with a preliminary estimate of-818k. Meanwhile, Fed Governor Waller warned he expects the prelim revisions will show that monthly job creation will be reduced by an average of 60k a month, indicating a 720k downward revision on an annualized basis.

Bank of America expects a downward revision of 500k to 1mln, implying that payrolls as of March 2025 may have been overstated by 40k-85k per month on average over the April 2024-March 2025 period. BofA also highlights that revisions for April-December 2025, which matter most for the Fed, will only be available with the final benchmark in February 2026.

* * *

As described in late August, ZeroHedge certainly expects another major negative revision, potentially as large as 1 million..

?itok=hiq7ZRp1

... which the Trump admin will blame the Obama admin on as part of the ongoing kitchen sinking effort to realign jobs far lower to greenlight a major rate cut by Powell...

And here's the confirmation of the kitchen sink https://t.co/X9uhYmeC8C

— zerohedge (@zerohedge) https://twitter.com/zerohedge/status/1965384204860129464?ref_src=twsrc%5Etfw

... only to reboot the labor market some time in November at which point jobs will start ramping higher ahead of the 2026 midterms.

https://cms.zerohedge.com/users/tyler-durden

Tue, 09/09/2025 - 09:54

https://www.zerohedge.com/economics/bls-about-announce-another-huge-payrolls-revisions-heres-what-expect

Oil Spikes As Explosions Rock Doha; Israel Targets Top Hamas Leaders In Assassination Operation

Oil Spikes As Explosions Rock Doha; Israel Targets Top Hamas Leaders In Assassination Operation

Multiple explosions have been reported in Doha, Qatar on Tuesday, according to eyewitnesses cited by Reuters.

Axios journalist Barak Ravid, referencing Israeli officials, reported that the blasts were believed to be part of an assassination attempt targeting Hamas members. Netanyahu is really going gloves off at this point, it appears, and all negotiations seem definitively off.

Reports of multiple explosions in Doha, Qatar, with witnesses citing up to 10 blasts and smoke visible. Sources close to Hamas allege the group’s negotiating headquarters was targeted. Israel’s Channel 12 reports the explosions were an assassination attempt on Hamas leaders. https://t.co/8hOSJwZ4Qd

— Jalyssa Dugrot (@jalyssaspeaking) https://twitter.com/jalyssaspeaking/status/1965401882912018593?ref_src=twsrc%5Etfw

"Israeli official tells me the explosion in Doha is an assassination attempt again Hamas officials," Axios' Ravid reports.

Ravid writes further on X of the breaking news: "Senior Israeli: The explosion in Doha is an assassination operation against senior Hamas officials."

Could this be Hamas targeting the negotiating team, or other Hamas leaders who have long hid out in Qatar?

Israel Channel 12: Hamas Gaza leader Khalil al-Hayya was the primary target of the Israeli attack on Doha.

?itok=JPH0oweB

The actions sparked a surge in oil prices as geopolitical risk premia re-emerge...

?itok=tQIAK9hP

OPEC+ will be pleased.

developing...

https://cms.zerohedge.com/users/tyler-durden

Tue, 09/09/2025 - 09:35

https://www.zerohedge.com/geopolitical/explosions-rock-doha-israel-targets-top-hamas-leaders-assassination-operation

Govt Crisis Sends French Bond Yields Above Italy's For First Time In EU History

Govt Crisis Sends French Bond Yields Above Italy's For First Time In EU History

For the first time since the euro-zone's inception, French 10Y borrowing costs exceeded those of Italy as investors anxious amid the ongoing dysphoria over budget deficits and debt piles.

As Bloomberg reports, for market veterans, it’s a remarkable development given lower-rated Italy was for years the region’s poster-child for fiscal profligacy.

Now it’s France that’s worrying investors over the size of its deficit, with Prime Minister Francois Bayrou set to resign later Tuesday after losing a confidence vote.

“Expectations for a speedy resolution to France’s political and fiscal woes are likely to remain constrained,” said Sam Hill, head of markets insights at Lloyds.

Its bonds will remain sensitive to broader market concern over budget deficits and debt piles, he added.

Bayrou’s successor will need to find a way to pass a budget in a splintered parliament, an exercise that’s toppled the last two prime ministers.

French bonds have been the worst performing in the region since President Emmanuel Macron called a surprise election last year.

?itok=lq6wWfPF

We do note that it's not quite apple to apples as a maturity mismatch distorts the comparison between the two nation’s yields.

The new French benchmark yield is based on a bond maturing in November 2035, several months after the Italian equivalent. That means the French yield reflects additional duration risk.

Still, it’s the latest unwanted market milestone for French officials.

President Macron is expected to name a successor from the center (defined broadly) or with a technocratic profile.

“The expectation is for the next French PM to be a placeholder,” said Elliot Hentov, head of macro policy research at State Street Investment Management.

“For investors, the real concern is that the electorate is neither coalescing around a clear majority nor seems particularly concerned with fiscal deterioration.”

The market is likely to judge any incoming PM on their ability to pursue budget consolidation while creating room for compromise within the current make-up of parliament, in particular with the center-left.

2026 deficit expectations are already relatively pessimistic, suggesting markets were already primed for substantial slippage vs the 4.6% deficit target of PM Bayrou.

?itok=akPGfbvy

Combining a deficit likely to land at 5.4% this year and the ambitious initial target for 2026, Goldman continues to see a path for sequential improvement in deficits, with concessions to opposition parties – their economists’ baseline forecast is for a deficit of 5.2%.

With debt-to-GDP on an increasing trend and diverging from Euro area peers for a number of years, political uncertainty may place higher scrutiny on fiscal sustainability, including from a more medium-term perspective.

?itok=_qZNCgS7

Assuming such a budget can be passed, Goldman believes it would be sufficient to provide relief to OATs into year-end. Under this baseline, Goldman expects OATs to settle at ~70bp over Bunds at the 10y point.

Goldman sees limited market risk from rating decisions given OATs already trade wider than their current rating and should remain investment grade.

France will see a sequence of rating actions in coming months, starting with Fitch (AA-, negative outlook) on September 12, followed by Moody’s (Aa3, stable outlook) on October 24, and S&P (AA-, negative outlook) on November 28.

A collapse of the Bayrou government, in itself and/or associated with an increase in deficit expectations, would make further rating downgrades more likely. That said, we do not expect a meaningful market impact from such decisions. A scatter of EGB yields against ratings suggests OATs already trade wider than their rating.

?itok=nlA6U4yg

This is consistent with the view that markets have moved ahead, as the macro and policy environment evolved. For that reason, we do not expect rating decisions to carry a lot of forward-looking insights for markets and instead expect them to validate current pricing. We had shown in prior research that only a downgrade to non-investment grade provided a reliable signal of spread widening against peers.

Finally, the biggest tail risk Goldman sees for France is a scenario where the market prices risks of an earlier presidential election.

In this scenario, policy uncertainty would broaden beyond the headline deficit reduction, and markets could even price deeper tails, for instance questioning France’s commitment to EU rules and membership, as in 2017.

Frexit fears are on the rise...

?itok=83KOyJMd

The path for that is very narrow as it likely entails a succession of events that are individually off our baseline view.

Namely, it may require a failure to negotiate within the current make-up of parliament, fresh elections that deliver a strong majority outside of the center, and President Macron forfeiting his prerogative to set the foreign policy agenda until mid-2027.

This is nonetheless a risk to bear in mind – a Polymarket contract shows 7% odds on that outcome by end-2025.

https://cms.zerohedge.com/users/tyler-durden

Tue, 09/09/2025 - 09:26

https://www.zerohedge.com/geopolitical/govt-crisis-sends-french-bond-yields-above-italys-first-time-eu-history

Greta Thunberg's Gaza-Bound Flotilla Boat Fire Sparks Narrative Battle

Greta Thunberg's Gaza-Bound Flotilla Boat Fire Sparks Narrative Battle

Greta Thunberg's flotilla, carrying humanitarian aid, was allegedly struck by a drone in Tunisian waters, according to its organizers. Tunisian authorities, however, rejected the drone narrative, suggesting instead that a cigarette may have sparked the fire.

More footage from Family boat’s CCTV confirming the drone strike. https://t.co/XZUydsapXd

— Global Sumud Flotilla (@GlobalSumudFlot) https://twitter.com/GlobalSumudFlot/status/1965220190435913885?ref_src=twsrc%5Etfw

Organizers with the Global Sumud Flotilla claimed the drone strike targeted the "Family Boat," a Portuguese-flagged vessel sailing in Tunisian waters and carrying members of the flotilla's Steering Committee.

First footage reveals the damage to the Family vessel after it was struck by a drone at 11:45pm. https://t.co/FpjUg9bjNs

— Global Sumud Flotilla (@GlobalSumudFlot) https://twitter.com/GlobalSumudFlot/status/1965231803666759954?ref_src=twsrc%5Etfw

"A drone came right above it released a bomb and it exploded and the boat was on fire. Everyone is okay…they have bombed a boat once again with civilians on it, in Tunisian territory," activist Yasemin Acar wrote on X.

Activist Yasemin Acar reporting after the attack on the https://twitter.com/GlobalSumudFlot?ref_src=twsrc%5Etfw

:

“A drone came right above it released a bomb and it exploded and the boat was on fire. Everyone is okay…they have bombed a boat once again with civilians on it, in Tunisian territory” https://t.co/fxi8BHdXzw

— Assal Rad (@AssalRad) https://twitter.com/AssalRad/status/1965196986111721611?ref_src=twsrc%5Etfw

The incident highlights competing narratives: activist organizers framing the event as an attack, while Tunisian officials downplayed the incident, merely attributing the fire to accidental causes.

Anyone want to tell Greta?

was a battery fire. Lithium batteries and salt water do not mix. https://t.co/mNIwx27PD5

— Wut/da/wold (@wutdawold1) https://twitter.com/wutdawold1/status/1965232199873200553?ref_src=twsrc%5Etfw

A spokesperson for Tunisia's national guard said an investigation is "ongoing" into the incident. He said there were "no drones detected" in the area, adding these reports are "completely unfounded."

"According to preliminary findings, a fire broke out in the life jackets on board a ship anchored 50 miles from the port of Sidi Bou Said," Houcem Eddine Jebabli added, suggesting that a cigarette might have caused the fire.

Recall, the small North African nation on the Mediterranean has a history of political instability, including episodes during the 2010 Arab Spring color revolutions. U.S.-based social media platforms were widely assessed to have played an integral role as major catalysts for pro-democracy movements by enabling organization, information dissemination, and cross-regional connectivity.

Thunberg's role as a high-profile climate activist has been leveraged by globalists to mobilize younger demographics (https://www.zerohedge.com/political/was-greta-thunberg-globalist-propaganda-weapon

). This mobilization, while framed as climate activism, can function as a vector for shaping political discourse and, in some cases, generating societal uprisings.

Which leaves us with the events that immediately followed the alleged drone strike on Thunberg's flotilla.

After the drone strike on our main boat “Family,” crowds in Tunisia gathered at the port in force to condemn the attack. https://t.co/veVUmGUm53

— Global Sumud Flotilla (@GlobalSumudFlot) https://twitter.com/GlobalSumudFlot/status/1965227663943151660?ref_src=twsrc%5Etfw

Ce soir, 2h du matin, au port de Tunis après qu’un bateau de la flottille ait été attaqué : la détermination est puissante !

Rien ne pourra éteindre les voix de la paix ni l’élan de solidarité international✌️

Nos bateaux partiront pour https://twitter.com/hashtag/gaza?src=hash&ref_src=twsrc%5Etfw

— Marie Mesmeur (@MarieMesmeur) https://twitter.com/MarieMesmeur/status/1965231837820977596?ref_src=twsrc%5Etfw

Things that make you go hmm.

https://cms.zerohedge.com/users/tyler-durden

Tue, 09/09/2025 - 09:10

https://www.zerohedge.com/geopolitical/greta-thunbergs-gaza-bound-flotilla-fire-sparks-narrative-battle

BLMers Launch GoFundMe For Subway Stabber, Charlotte Mayor Urges Video Censorship

BLMers Launch GoFundMe For Subway Stabber, Charlotte Mayor Urges Video Censorship

https://pjmedia.com/benbartee/2025/09/09/blmers-launch-gofundme-for-subway-stabber-charlotte-mayor-urges-video-censorship-n4943468

The biggest story in the world over the weekend — on social media, that is; legacy corporate state media ignored it entirely because it’s inconvenient to their narrative — was the unprovoked plunging of a blade into the carotid artery of a 23-year-old Ukrainian refugee by a hulking thug with 14 prior arrests for violent crime to his name.

?itok=k8huonsp

Unlike the legacy media that refuses to touch rampant and totally disproportionate black-on-white crime on pain of death, https://pjmedia.com/athena-thorne/2025/09/07/the-image-that-killed-the-democrats-in-2026-and-beyond-n4943417

.

In more recently released audio to accompany the video, the killer can be heard congratulating himself: “I got that white girl.”

Unsurprisingly, but still shocking to the conscience, BLM-esque activists sympathetic not to the victim but to the cold-blooded murderer launched not one but two GoFundMe fundraisers in the immediate aftermath, even though video of the assault is widely available on social media and depicts a pre-meditated and, again, wholly unprovoked attack on an innocent and defenseless woman who appears to have barely weighed 100 pounds.

From the first fundraiser for the killer, now deleted but https://archive.md/ypbuM

:

Raising money to assist with legal fees for Decarlos Dejuan Brown JR. anything helps fight against the racism and bias against our people. Thank you for giving us a hand to push against this corrupt narrative

From the second, also deleted but also https://archive.md/aTFpr

:

While what happened on the Blue Line was a tragedy what we mustn't lose sight of is the fact that Decarlos Brown JR was failed categorically by the Judicial system and the Mental Health Services of North Carolina and as such is not entirely to blame for what happened.

As it is so, we endeavor to raise funds for his legal defense and hope to avoid punitive sentencing and to also get him the aid he requires.

Wow https://twitter.com/gofundme?ref_src=twsrc%5Etfw

— Christina Pushaw 🐊 🇺🇸 (@ChristinaPushaw) https://twitter.com/ChristinaPushaw/status/1964725940669624361?ref_src=twsrc%5Etfw

The “mental health professionals made him do it” line is so stupid that it’s hard to believe the second fundraiser wasn’t satire.

Speaking to the https://www.washingtonexaminer.com/news/crime/3796607/gofundme-takes-down-fundraisers-north-carolina-stabbing-suspect/

, the company explained that it had removed the pages and refunded donor money:

GoFundMe’s Terms of Service explicitly prohibit fundraisers that raise money for the legal defense of anyone formally charged with an alleged violent crime. Consistent with this long-standing policy, this fundraiser has been removed from the platform and the donors who contributed to the fundraiser have been fully refunded.

In separate but equal news, diverse https://www.qcnews.com/charlotte/video-warning-surveillance-footage-shows-moments-leading-up-to-fatal-light-rail-stabbing/

(why should media be in “partnership” with government?) for refusing to air the footage — out of respect for the victim, obviously:

The video of the heartbreaking attack that took Iryna Zarutska’s life is now public. I want to thank our media partners and community members who have chosen not to repost or share the footage out of respect for Iryna’s family.

The hypocrisy is so glaring that it scarcely needs noting, but not one of these DEI public officials — not one — promoted the censorship of the George Floyd overdose video that sparked a summer of rioting from coast to coast.

One must wonder: why the double standard?

https://cms.zerohedge.com/users/tyler-durden

Tue, 09/09/2025 - 08:50

https://www.zerohedge.com/political/blmers-launch-gofundme-subway-stabber-charlotte-mayor-urges-video-censorship

Futures, Yields Rise Ahead Of Another Huge Payrolls Revision

Futures, Yields Rise Ahead Of Another Huge Payrolls Revision

Futures are higher led by Tech as expectations of Fed rate cuts continued to drive gains, while Treasuries eased after a rally that pushed global bonds into bull-market territory ahead of what is set to be another huge negative benchmark revision to payrolls. As of 8:30am S&P futures are 0.1% higher, while Nasdaq futures gain 0.2% as Mag7 stocks see a muted bid with AVGO/NVDA leading Semis higher. Both Cyclicals and Defensives have caught a bid with Materials buoyed by the Anglo / Teck deal. The yield curve is bear steepening as 10Y yield rise by 2bps to 4.07%; the dollar slid for a third day, with the yen driving advances among major currencies on renewed signals of policy tightening by the Bank of Japan. Commodities are higher with broad-based strength across all 3 complex but notable increases in crude, natgas, coffee, and iron. Today’s macro data focus is on the NFP revision with BBG survey seeing a 700k negative revision to payrolls and the modest beat in the NFIB Small Business Optimism (100.8, vs Exp. 100.5) where the Hiring sub-index has been a leading indicator for future NFP prints.

?itok=uAUHM4Q0

In premarket trading, Mag 7 stocks post modest gains (Nvidia +0.2%, Tesla +0.2%, Meta +0.4%, Microsoft +0.3%, Amazon -0.09%, Alphabet is flat, Apple -0.4%)..

Atlassian Corp. (TEAM) rises 5% after announcing it is ending its data center product over the coming three years and will move customers to its cloud platform.

Brighthouse Financial (BHF) is up 11% after the Financial Times reported that Aquarian Holdings is in late-stage talks with two Middle Eastern investors to finance a takeover of the life insurer.

Fox Corp. (FOXA) falls 4% and News Corp. (NWSA) declines 4% after Rupert Murdoch and his children resolved a messy family feud with a settlement that gives favored son Lachlan Murdoch broad control and ensures Fox News and the rest of the sprawling media empire retains its conservative slant.

Planet Labs (PL) is down 10% after after the company said it would offer $300 million of Convertible Senior Notes due 2030. The shares soared 48% in Monday’s regular session.

Nano Dimension Ltd. (NNDM) rises 2% after initiating a review of strategic alternatives to maximize shareholder value and named David S. Stehlin as its new chief executive officer, replacing Ofir Baharav.

Nebius (NBIS) jumps 54% after the AI-centric cloud platform company said it will provide Microsoft access to GPU infrastructure capacity at its new data center in Vineland, New Jersey, over five years.

Sable Offshore (SOC) falls 9% following news that Governor Gavin Newsom seeks to impose further restrictions on California’s offshore oil industry, a setback to Sable and its controversial project off the coast of Santa Barbara County.

Teck Resources Ltd.’s US-listed shares (TECK) climb 16% after Anglo American PLC agreed to acquire the Canadian miner for 1.3301 shares for each Teck share. Anglo will also pay its investors a $4.5 billion special dividend ahead of the combination. Anglo shares leaped 9.1% in London.

UnitedHealth Group Inc. (UNH) rises 4% after saying it expects most of its Medicare Advantage members to be in highly rated plans that earn bonus payments next year, a boon for its health insurance business.

The S&P 500 and US bonds have been on a tear as traders increasingly stoked bets that the Fed will kick-off rate cuts this month. Despite clear cracks in the labor market, investors are wagering that the economy is still sufficiently robust to power corporate earnings. Swaps are pricing at least four quarter-point cuts by the time Fed Chair Jerome Powell’s term ends in May. Some are betting that this year’s easing cycle could begin with a jumbo half-point cut this month as job-market weakness outweighs lingering inflation concerns.

As we first discussed two weeks ago, Tuesday’s revisions to Bureau of Labor Statistics data for payrolls for the year through March are expected to reinforce the view of a US jobs slowdown. Later this week, the core consumer price index for August is projected to show an increase of 0.3% for a second month in a row, indicating that progress on reducing price pressures has stalled.

The BLS figures “would be a big change in the job market narrative,” ING rates strategists Michiel Tukker and Benjamin Schroeder wrote in a note. This “could fuel questions of why the Fed shouldn’t cut by 50 basis points this month.”

“This is a supportive combination for equity markets,” said Marija Veitmane, senior multi-asset strategist at State Street Global Markets. “We believe that AI demand is still strong and will continue to support earnings in the sector, pushing returns in the sector — and hence overall equity market performance — higher.”

In Europe, the Stoxx 600 posted modest gains as investors looked out for the next steps in France’s battle to repair its finances. Anglo American Plc rallied more than 9% after agreeing to a tie-up with Canada’s Teck Resources Ltd. Bonds weakened across the board. In France, bonds were little changed as President Emmanuel Macron started his search for a premier capable of steering a budget through a deeply fractured National Assembly. The continued lack of common ground has weighed on sentiment, driving up the country’s risk premium.

“No one was expecting a bloodbath on the markets today, it’s clear that the worst-case scenario of snap elections is not taking place, at least right now,” said Vincent Juvyns, chief investment strategist at ING in Brussels. “So at the moment we’re muddling through, but with a spread with Germany that is at levels of the sovereign debt crisis of 2012.”

Earlier in the session, Asian equities advanced, as tech and Chinese property stocks climbed, and investors continued to eye prospects for interest rate cuts by the Federal Reserve. The MSCI Asia Pacific Index rose as much as 0.8% to the highest since February 2021, with TSMC, Alibaba and Tencent among the biggest boosts. Taiwan’s Taiex jumped more than 1% to a fresh record, and Korea’s Kospi touched a new high for the year. Indonesia led decliners after the nation’s finance minister was abruptly removed. “Further Fed rate cut bets are fueling positive sentiment in Asia today, especially in growth areas like tech that will rally in these conditions,” said Nick Twidale, chief market analyst at AT Global Markets in Sydney. “In the near term, we can push higher and test record levels for Asian stocks, but may see some profit-taking across all markets ahead of key US inflation data.” Indonesia’s Jakarta Composite Index slipped as fiscal concerns mounted after after President Prabowo Subianto replaced Sri Mulyani Indrawati as finance minister. While Purbaya Yudhi Sadewa, who is taking over the role, vowed to keep Indonesia fiscally healthy, Indrawati enjoyed widespread respect among global investors.

In FX, the Bloomberg Dollar Spot Index is down 0.2%. The Japanese yen rose 0.8% against the greenback, taking USD/JPY firmly below 147 after Bloomberg reported Bank of Japan officials are of the view that it may be possible to raise interest rates again this year regardless of domestic political instability. The Aussie dollar also outperforms, rising 0.4% as it benefits from higher iron ore prices.

In rates, treasuries declined, pushing US 10-year yields up 2 bps to 4.06%. Gilts and bunds are also in the red. French 10-year borrowing costs did rise above Italy’s for the first time, although this was down to technical reasons.

In commodities, Oil rose for a second day as investors weighed the prospect for softening demand after Saudi Arabia cut pricing for most of its grades. WTI crude futures rise 1% to near $62.90 a barrel. Spot gold is up almost $20 and flirting with a record. Iron ore climbed for a sixth day and headed for its highest close in more than six months on expectations that Chinese demand will gather momentum. Bitcoin rises 1% to around $113,000.

Looking to the day ahead now, and data releases include French industrial production for July, the US NFIB small business optimism for August, and there’s the preliminary benchmark revision for US payrolls. From central banks, we’ll hear from the ECB’s Nagel and Villeroy, and BoE Deputy Governor Breeden.

Market Snapshot

S&P 500 mini +0.1%

Nasdaq 100 mini +0.2%

Russell 2000 mini little changed

Stoxx Europe 600 -0.1%

DAX -0.5%

CAC 40 little changed

10-year Treasury yield +2 basis points at 4.06%

VIX +0.1 points at 15.2

Bloomberg Dollar Index -0.2% at 1196.41

euro little changed at $1.1765

WTI crude +1.2% at $63/barrel

Top Overnight News

The level of U.S. employment for the 12 months through March could be slashed by as many as one million jobs when the government publishes its preliminary nonfarm payrolls benchmark estimate on Tuesday. The payrolls benchmark revision would come on the heels of news last Friday that job growth almost stalled in August and the economy shed jobs in June for the first time in 4-1/2 years. It would suggest the labor market was already struggling before President Donald Trump's aggressive tariffs on imports. RTRS

After two federal courts have found that many of the steep emergency tariffs imposed by Trump are illegal, if the Supreme Court rules that Trump did not have the authority to impose the tariffs, the U.S. government could be obligated to refund importers anywhere from $750 billion to $1 trillion, Treasury Secretary Scott Bessent warned. This could potentially place upward pressure on yields. CNBC

South Korean companies have routinely used unsuitable visas for workers sent to the US to build multibillion dollar advanced manufacturing sites. The admission comes after dramatic raid last week by ICE at a battery plant being built by Hyundai and LG in Georgia, which led to the detention of 475 workers. White House officials warn more such immigration actions are being planned FT.

The world’s biggest oil and gas companies are cutting jobs, slashing costs, and scaling back investments at the fastest pace since the coronavirus market collapse, as execs brace for a prolonged period of lower crude prices. FT

Israel ordered Gaza City’s one million residents to leave in advance of a major military offensive. BBG

US Senate Banking panel to vote on Miran's Fed nomination on September 10th: BBG

White House is preparing a report critical on the Bureau of Labor Statistics: WSJ

Taiwan’s exports hit a record $58.5 billion in August, surging more than 34% from a year ago, boosted by strong tech demand and the AI boom despite new US tariffs. BBG

BOJ officials are of the view that it may be possible to raise the benchmark interest rate again this year regardless of domestic political instability, as economic conditions have developed in line with expectations. RTRS

Officials in Europe are considering potential sanctions against China for buying Russian oil. FT

A measure of France’s borrowing costs exceeded Italy’s for the first time in the euro zone’s history, signaling investor concerns. French PM Francois Bayrou will resign today. BBG

Trade/Tariffs

Japan's trade negotiator Akazawa said US tariffs on Japanese goods, including cars, will be lowered by September 16th, according to Reuters citing a post on X. However, Akazawa later commented that tariff discussions with the US are not fully resolved and that Japan must ensure the trade deal is carried out.

South Korea and the US are to resume working-level talks regarding tariffs, according to Yonhap

South Korea's presidential adviser said US trade negotiations are being delayed due to the issue of FX market impacts from the USD 350bln package and have asked the US to help find a solution to the capital market impact, while they told the US that they can't agree on terms similar to Japan's USD 550bln deal.

A more detailed look at global markets courtesy of Newsquawk

APAC stocks traded mixed as the region failed to fully sustain the mildly positive handover from Wall St, with price action contained amid light fresh catalysts and as participants looked ahead to upcoming events, including inflation data scheduled in the next couple of days. ASX 200 was dragged lower with notable weakness in Energy, Industrials, Real Estate and Financials, with sentiment also not helped by a deterioration in consumer confidence and mixed business surveys. Nikkei 225 initially rallied above the 44,000 levels to print a fresh record high, but then gradually faded its gains as political uncertainty lingered. Hang Seng and Shanghai Comp were mixed with the Hong Kong benchmark led higher by outperformance in real estate and tech, with the former helped as China's MIIT pledged to accelerate breakthroughs in high-performance chip technology. Conversely, the mainland lagged amid lingering global frictions with EU officials reportedly discussing potential sanctions on China and other parties for the purchase of Russian energy, while Chinese President Xi recently took aim at a 'certain country' increasing trade war risks.

Top Asian News

BoJ reportedly sees some chance of hiking this year, despite the political situation, via Bloomberg citing sources; likely to keep rates unchanged on September 19th. Sees steady progress towards the BoJ price target. Sees the US trade deal as removing some risks to growth. Some officials are even of the view that a hike could be appropriate as early as October.

Reuters sources report that while political uncertainty in Japan will not derail the BoJ's normalisation plan, it could impact the timing of the next hike; add, "BoJ does not need to hike in the midst of turbulence". "no rush...as long as it gets another rate hike done possibly by early next year".

Bank of Japan likely to slightly reduce purchases of super-long Japanese government bonds in Q4 2025, according to Reuters sources. BoJ to make final decision on 30 September, influenced by 20-year government bond auction on 17 September and market volatility in super-long JGB yields.

China's Ministry of Industry and Information Technology said in a briefing that China is to accelerate breakthroughs in high-performance chip technology and will guide 10-gigabit optical networks from pilot testing to deployment.

Japanese Finance Minister Kato said he will carefully consider the possibility when asked about entering the LDP leadership race, while he noted that Japan's economy is showing bright signs, but there is a need to support those suffering from rising prices, including food prices.

Japanese LDP politician Kono reiterated that if the BoJ delays rate hikes, it would boost inflation, and noted they need to fix a weak yen, so the BoJ needs to hike rates, while he added that a sales tax cut would increase the deficit, and said he is 'sleeping on' whether to run for LDP leadership.

European bourses (STOXX 600 U/C) opened modestly firmer across the board, but now display a mixed picture, though with nothing really behind the slip in sentiment. European sectors opened with a strong positive bias, but as sentiment slipped, sectors are now mixed. Basic Resources tops the pile, boosted by gains in Anglo American (+10%); the Co. and Teck Resources (+10.3% pre-market) have merged to create a USD 50bln mining giant; the merger is expected to yield USD 800mln in annual synergies. Elsewhere, Banks and Media complete the top three; for the latter, UMG (+2.2%) boosts the sector after receiving a broker upgrade.

Top European News

Barclays UK August Consumer Spending rose 0.5% Y/Y vs prev. 1.4% Y/Y increase in July.

https://newsquawk.com/headlines/analysis-french-pm-bayrou-lost-as-expected-what-next-09-09-2025

FX

DXY edged higher through the European session shortly after printing session lows coming out of APAC hours, where for the most part DXY saw some relief from Monday's extension of post-NFP selling and as longer-dated US yields retreated. In terms of state-side news, the US Senate Banking panel is to vote on Miran's Fed nomination on September 10th, according to Bloomberg. Further, White House is preparing a report critical of the Bureau of Labor Statistics, according to WSJ. DXY resides in a 97.253-97.519 range.

EUR moves at the whim of the buck following initial choppiness coming out of Asian hours. In France, PM Bayrou lost in a landslide as expected, while President Macron is to name a new PM in the coming days, which may come after the September 10th strikes. The OAT-Bund spreads pushed wider after Bayrou’s defeat, though EUR/USD held steady. EUR/USD trades in a 1.1744-1.1780 band.

JPY firmed in European hours following source reports that the BoJ sees some chance of hiking this year, despite the political situation, via Bloomberg citing sources, but likely to keep rates unchanged on September 19th. Some officials are even of the view that a hike could be appropriate as early as October. Earlier sources via Reuters noted that while political uncertainty in Japan will not derail the BoJ's normalisation plan, it could impact the timing of the next hike: "BoJ does not need to hike in the midst of turbulence". USD/JPY fell under its 50 DMA (147.42) to a 146.56 trough from a 147.56 session high.

GBP gained a firmer footing at the 1.3500 handle after G10 currencies generally took advantage of recent dollar selling, but with further upside limited amid light catalysts. Overnight, it was reported that UK Chancellor Reeves is to tell ministers to prioritise the fight against inflation in a Cabinet meeting today, according to FT, although this caused little immediate follow-through on exchange rates. GBP/USD resides in a 1.3544-1.3583 range, ahead of BoE's Breeden later.

Antipodeans are holding the positive bias seen in APAC hours as the pairs are kept afloat after a firmer PBoC reference rate setting, but with gains capped following weaker Australian consumer sentiment and mixed business surveys.

Norway's Labour Party government won re-election backed by four smaller parties, according to official results.

Fixed Income

A slightly softer start to the session for USTs, but only modestly so. Specifics light as we look to the BLS NFP benchmark revision report, an Apple event and then 3yr supply. Into this and mentioned supply USTs find themselves a little heavy, towards the lower end of a 113-11 to 113-19 band.

JGBs were on a gradual descent across the APAC session and into the European morning, initially in-fitting with the modest pullback seen in peers but then accelerating on fresh BoJ sources. Firstly, Reuters reported that political uncertainty will not derail the BoJ’s normalisation plan, but could impact the timing. However, this was followed by a Bloomberg source that the BoJ still sees some chance of hiking this year (markets imply 15bps of tightening by end-2025). Even more hawkishly, the source stated some officials are of the view that an October hike could be appropriate (+8bps implied by markets). The hawkish elements sent JGBs to a 136.73 trough, lower by near enough 50 ticks at worst.

OATs kicked off the day near enough unchanged to Monday’s close. With a small bout of pressure seen into the close as the French confidence vote hit just minutes before. However, as expected, the price reaction for OATs themselves has been fairly muted, due to the fall of Bayrou being very much priced in. One nuance on the reaction, but only really evident in the spread, was the slightly worse than expected vote split for him, as not all of the central alliance voted ‘for’ Bayrou. A nuance that perhaps explained the modest jump up in the OAT-Bund 10yr spread to 83.38bps this morning, eclipsing the 82.19bps peak that printed when Bayrou announced the vote. If the move continues, we look to the YTD peak at 88bps and then the 2024 peak of 90bps.

Bunds are softer, with the pressure of a comparable scale to that outlined in USTs above; pressure which came ahead of a double green line outing. The auction was fairly in-line and had limited impact on Bunds. At a 128.97 low, above Monday’s 128.91 base and towards the upper-end of Friday’s 128.51 to 129.20 band; i.e. similar price action to USTs, as outlined above.

Gilts echo the above. Down to 91.31 at worst but well clear of Monday’s 91.09 base and, like with Bunds and USTs, towards the upper end of a 90.65 to 91.31 range. Specifics for the UK a little light, supply was well received and lifted Gilts off worst levels and to a marginal new high at 91.48; though, the benchmark still languishes in the red by just under 10 ticks. That aside, we await a speech from Chancellor Reeves in the later part of the morning.

Commodities

Crude edges higher in rangebound trade after the prior day's fluctuations, whereby early gains due to OPEC+ and geopolitics were trimmed after Saudi Arabia lowered premiums for OSPs to Asia and North-West Europe. WTI currently resides in a 62.37-63.16/bbl range while Brent sits in a USD 66.12-66.94/bbl range.

Precious metals are relatively rangebound trade amid light catalysts and head of risk events, with attention now on data releases, including the BLS prelim. benchmark revisions are scheduled today, followed by PPI on Wednesday and CPI on Thursday. Spot gold currently resides in a USD 3,628.48-3,659.43/oz after printing fresh record highs yet again.

Base metals lack firm direction with the price action contained within a tight range after the indecisive performance on Monday, and with newsflow light today. 3M LME copper resides in a USD 9,894.20-9,963.70 /t range at the time of writing.

Iraq sets October Basra medium crude official selling price to Asia at USD 1.35/bbl premium to Dubai average; Selling price for Europe set at -USD 2/bbl versus Dated Brent; Selling price to North and South America at -USD 1/bbl versus ASCI.

US Interior Secretary says they have the capacity to replace all Russian gas to Europe.

HSBC expects "OPEC+ to start unwinding 1.65mbd voluntary cuts from October"; HSBC maintains USD 65/bbl Brent forecast from Q4, with rising downside risks from rising market surplus.

Geopolitics: Middle East

Israel conducted strikes in the vicinity of Syria's Homs, Palmyra and Latakia cities.

Downing Street spokesperson said Palestinian President Abbas welcomed UK PM Starmer's pledge to recognise a Palestinian state ahead of the UN General Assembly meeting later this month.

"Iranian government: The regime's leadership will decide to withdraw from the Nuclear Non-Proliferation Treaty", via Al Arabiya.

Iran-IAEA agreement likely at Cairo talks, according to Tasnim News.

Geopolitics: Ukraine

Ukraine is at risk of a shortage of air defence weapons after a US DoD review of military aid resulted in slower deliveries, according to officials cited by FT.

Geopolitics: Other

North Korea's leader Kim observed solid fuel engine tests and said it marks an important change to the nuclear force.

Chinese President Xi sent congratulations to North Korea's Kim on the founding anniversary, while it was separately reported that President Xi said China is ready to enhance strategic communication and maintain close cooperation with North Korea for regional and world peace, and development, according to Xinhua.

US Event Calendar

6:00 am: Aug NFIB Small Business Optimism, est. 100.5, prior 100.3

10:00 am: Preliminary Benchmark Payrolls revision Exp -700K, Last -818K

DB's Jim Reid concludes the overnight wrap

The dominant theme in the markets over the past 24 hours has been the continued global bond rally. This has helped ease pressure on the latest French political crisis, which culminated last night in the government losing its confidence vote by 364 to 194. With the defeat having been widely anticipated, the market reaction was muted. But had the fixed income sell-off from earlier last week persisted, the outcome might have triggered a very different response.

According to President Macron’s office, he will nominate a new PM in the coming days. The new PM would then have to find a way to pass a budget for next year. With the far-right National Rally and the far-left France Unbowed calling for snap elections, this would likely require a PM that can keep the centre-left Socialists from voting against the budget, as well as keeping the current centre-right coalition on board. Yesterday’s result implied some cracks within the latter, with the 194 votes for the outgoing government being less than the 210 if all of Bayrou’s allies had voted in favour. Still, the overall sense is that both the centre-right and centre-left face incentives to avoid snap elections, and 10yr OAT-Bund spreads tightened slightly (-2.0bps) ahead of yesterday‘s vote. In a note last night, our economists discuss the key next steps to watch, including on the upcoming budget process (see here). There will be a lot of noise around France over the next few days as tomorrow brings a social media launched day of nationwide protest aimed at bringing the country to a standstill, Friday brings an update from Fitch, and a week on Thursday we have a union-organised day of regional and national strikes. So, a lot going on.

Looking at the fixed income moves in detail, bonds gained across Europe with yields on 10yr bunds (-1.9ps), OATs (-4.0bps), BTPs (-3.3bps) and Gilts (-4.0bps) all moving lower. Treasury yields also moved lower across the curve, with the 2yr yield (-2.3bps) down to its lowest since September 2022, at just 3.49%. The 30yr Treasury yield (-6.7bps) hit a 4-month low of 4.69%. So that helped ease fears about the fiscal situation and means we’re a long way from where things stood last Wednesday, back when the 30yr yield was just a whisker beneath 5%.

The main driver was a continuation of the sentiment post payrolls with increasing confidence of rate cuts dominating the landscape. It's almost as if CPI on Thursday doesn't matter. On inflation, the NY Fed 1-yr inflation expectation series inched up from 3.1% to 3.2% yesterday. However, the consumer expectation series showed that expectations of finding a new job fell to its lowest reading since that series began back in 2013. So that chimed with Friday’s jobs report, where the unemployment rate hit its highest in nearly 4 years, at 4.3%.

All that led to mounting confidence that the Fed would soon be cutting rates, with a growing probability placed on back-to-back rate cuts at the remaining three meetings this year. Indeed, the amount of cuts priced by December’s meeting went up +3.0bps on the day to 72bps by the close. So that would be just shy of the 75bps required to fully price in a rate cut at each meeting, and it’s the most rate cuts priced for 2025 since early May, back when there were still genuine recession fears swirling in the aftermath of Liberation Day. Another beneficiary were gold prices (+1.37%), as the prospect of more rate cuts saw them surge to a fresh record of $3,636/oz. It's up a further +0.34% higher overnight.

This narrative of labor market weakness could well get further support today, as the Bureau of Labor Statistics are releasing their preliminary benchmark revision for payrolls at 10:00 Eastern Time. Basically, they do a big revision of the payroll numbers each year to benchmark it against the Quarterly Census of Employment and Wages (QCEW). And although the final numbers don’t get published until March 2026, they announce the preliminary revisions beforehand, which will give us a better sense of how those are likely to move. In terms of today’s announcement, our US economists write that the latest QCEW from Q4 2024 suggests that the average monthly payroll gains over April 2024-March 2025 could be revised down by roughly 50-60k, from a starting point of 146k. So that would imply a lot less momentum in the labour market in the period running up to Liberation Day. But bear in mind this revision only goes up to March 2025, so whatever happens today, it isn’t going to add to our sense of where the labour market is right now. Note that Bessent suggested the annual revision might be around 800k, when speaking over the weekend. This averages 66.6k per month if his number is to be taken literally rather than just an approximate level for the press.

For equities, the rate cutting narrative outweighed fears about an economic slowdown. So that led to a decent advance on both sides of the Atlantic, with the S&P 500 (+0.21%) closing less than a tenth of a percent from its record high, while the NASDAQ (+0.45%) hit a record high of its own. That said, defensive sectors struggled, leaving the equal-weighted S&P 500 (-0.04%) marginally lower. Meanwhile in Europe, the STOXX 600 (+0.52%) moved higher, and France’s CAC 40 (+0.78%) put in a decent performance too ahead of the result of the confidence vote.

Asian equity markets are mostly higher this morning. Across the region, the KOSPI (+1.11%) is leading gains, rallying for the sixth day, while the Hang Seng (+0.80%) is also trading notably higher, hitting its highest level since late 2021 despite paring gains above 1.5% earlier. Meanwhile, the Nikkei (+0.11%) has also surrendered larger gains, dropping over a percentage point from its morning highs. Elsewhere, the S&P/ASX 200 (-0.60%), the CSI (-0.41%) and the Shanghai Composite (-0.30%) are bucking the regional trend. S&P 500 (+0.14%) and NASDAQ 100 (+0.17%) futures are trading slightly higher.

To the day ahead now, and data releases include French industrial production for July, the US NFIB small business optimism for August, and there’s the preliminary benchmark revision for US payrolls. From central banks, we’ll hear from the ECB’s Nagel and Villeroy, and BoE Deputy Governor Breeden.

https://cms.zerohedge.com/users/tyler-durden

Tue, 09/09/2025 - 08:36

https://www.zerohedge.com/market-recaps/futures-yields-rise-ahead-another-huge-payrolls-revision

Lacalle: The Fed Caused High Inflation And The Current Jobs Slump

Lacalle: The Fed Caused High Inflation And The Current Jobs Slump

https://www.dlacalle.com/en/the-fed-caused-high-inflation-and-the-current-jobs-slump

Both the recent spike in inflation and the current decline in US jobs are, in a very significant way, the fault of the Federal Reserve.

?itok=ftI2krAn

The Fed’s policies since 2021 reveal a nightmare “pendulum” effect: first, easy money and historic liquidity expansion fueled runaway inflation; then, rapid rate hikes hurt businesses and families as well as job creation, especially for small and medium-sized businesses and families.

In 2021, the largest monetary expansion in decades caused an inflationary burst that was particularly negative for wage earners and small businesses. A massive rate hike exacerbated this negative impact.

The August jobs report exposes the Fed’s failure to balance its mandate. The Federal Reserve did not seem to read their own beige book that warned of a widespread job market weakness for months.

The Federal Reserve’s Beige Book first alerted of a weak job market in April 2025 and continued to highlight the labor market challenges in May and June. The April Beige Book signalled flat economic activity and slow labor demand and highlighted weakness for new entrants such as graduates, with some regions noting slight declines in employment and business activity. However, despite the evident negative impact of high rates, the Fed decided to keep interest rates unchanged even when inflationary pressures proved to be nonexistent. Between April and July, CPI inflation and core CPI monthly figures showed no inflationary pressures from tariffs.

Only 22,000 jobs were created in August. Although the headline shows the weakest number since the pandemic recovery began, we must also consider that the figure includes a reduction in government jobs of 15,000. Reducing government jobs is essential for economic recovery, and in 2025, we experienced a cut of 97,000 jobs, while the period from 2021 to 2024 saw monthly increases of 50,000 government jobs. The unemployment rate increased to 4.3%, which is a small rise compared to Canada’s 6.9% and the euro area’s 6.2%, but it is concerning because this increase was unnecessary.

The private sector—the real engine of growth—is bearing the brunt of high interest rates.

Claudio Borio of the BIS, as well as Congdon and Castaneda, have proven that the explosion of inflation from 2021 to 2023 was clearly tied to unprecedented monetary growth driven by government spending and Fed easing. The Fed’s loose policy, with ultra-low rates and trillions in asset purchases, led to a surge in the money supply far outpacing real economic activity. As Borio has shown, in high-inflation environments, there is a clear link between rapid money supply growth and price spikes. The key driver of the inflation burst came not from supply chain issues but from massive, coordinated monetary expansion and deficit monetisation.

Once inflation took hold, the Fed responded with rapid and significant rate hikes, pushing interest rates well above the estimated “neutral” rate. Studies show that for every 100-basis-point increase above the neutral rate, job growth among small and medium enterprises (SMEs) falls by 0.5 to 1.5 percentage points. SMEs, which lack the market power of large firms, are especially vulnerable: higher borrowing costs force many to freeze hiring, lay off workers, or even shut down. High rates have resulted in the loss of tens of thousands of SME jobs over the past year. The government remained unaffected by inflation and rate hikes. The Biden administration continued to increase government spending, the deficit, and public sector jobs while small and medium-sized enterprises (SMEs) were experiencing the dual negative effects of inflation and interest rate hikes. This was a clear case of crowding out of the private sector.

For families, high rates drive up mortgage, credit card, and car loan payments, squeezing a large proportion of US households who rely on borrowing for everyday needs. Consumption, which makes up 70% of US GDP, has visibly suffered as real disposable incomes have failed to keep pace with higher prices and debt service costs.

Double Shock: How the Fed Made the Jobs Slump

By acting too late against inflation and then maintaining overly restrictive rates even as the labor market slowed, the Fed has delivered a “double shock” to working Americans.

First, loose policy eroded purchasing power and savings through inflation; then, aggressive tightening stifled borrowing, spending, and job growth, especially for those least able to adjust—families and small businesses.

The entire burden of monetary correction was placed on the private sector. Rather than creating a smooth transition, the Fed shifted the burden of addressing inflation onto households and small and medium-sized enterprises. With real wage gains evaporated by high interest expenses and job creation weakening, the policy response continues to weigh on the very sectors most vital for broad-based prosperity.

The story of US monetary policy since 2021 is a sequence of brutal errors. First, the Fed stoked the inflation fire with excessive liquidity; now, it risks deepening the jobs crisis by keeping rates unnecessarily high.

The consequences are clear: destroyed SME jobs, weaker family finances, and an economy stuck in a cycle of uncertainty and lost opportunity.

Thankfully, supply-side policies, tax cuts, and deregulation are keeping the economy alive. It is time for the Fed to stop hurting Americans.

https://cms.zerohedge.com/users/tyler-durden

Tue, 09/09/2025 - 08:05

https://www.zerohedge.com/economics/lacalle-fed-caused-high-inflation-and-current-jobs-slump

Anglo American, Teck Resources Mega-Deal Will Create "Compelling, Large-Scale Copper Business"

Anglo American, Teck Resources Mega-Deal Will Create "Compelling, Large-Scale Copper Business"

Anglo American and Teck Resources have agreed to merge in an all-share transaction to create "Anglo Teck," a Canada-based miner set to become one of the world's top five copper producers. The deal marks the largest mining M&A transaction in more than a decade and comes amid a global scramble for rare earth minerals, driven by https://www.zerohedge.com/markets/next-ai-trade

, power grid upgrades, electric vehicles, and other electrification trends.

Under the proposed mega-merger, Anglo shareholders will hold 62.4% of Anglo Teck, while Teck investors will own 37.6%. The combined company is expected to produce about 1.2 million metric tons of copper annually, driven by Anglo's 770,000-ton output and Teck's 545,000 tons.

?itok=hxBuHInz

The deal comes as copper demand rises on the back of global electrification trends, including data center buildouts, the proliferation of EVs, and widespread power grid upgrades to handle the explosion in demand.

At a press conference, Anglo CEO Duncan Wanblad told reporters: "We will have a stronger, more resilient financial platform with scale advantages, including greater flexibility to reallocate capital dynamically to the highest returning opportunities."

Additional color on the Anglo Teck mega deal:

Copper Exposure: The new company is expected to derive 70% or more of its revenues from copper, with an annual output forecast to rise from 1.2 million tons to 1.35 million tons by 2027.

Synergies: Management projects $800M in recurring annual pre-tax savings by year 4, plus $1.4B in EBITDA uplift from integrating the adjacent Collahuasi and Quebrada Blanca mines in Chile, resulting in 175kt of additional copper production annually from 2030 to 2049.

Portfolio: Anglo Teck combines six world-class copper assets with Anglo's premium iron ore business in South Africa and Brazil, Teck's zinc operations in Canada and Alaska, and crop nutrient projects in the UK.

Listings & Governance: Anglo Teck will be headquartered in Vancouver, with a primary listing on the LSE and secondary listings on the JSE, TSX, and NYSE. Duncan Wanblad (Anglo) will serve as CEO, Teck's Jonathan Price as deputy CEO, and Sheila Murray as chair. The board will be split evenly.

Timeline: The boards unanimously support the deal, with completion targeted in 12–18 months, subject to shareholder and regulatory approvals.

Berenberg analysts Richard Hatch and William Dalby told clients earlier, "The combination will result in a compelling, large-scale copper business, we think, with zinc and iron ore exposure, too."

Anglo American's London shares jumped the most in 17 months, up nearly 10% by late morning in Europe. U.S.-listed Teck shares were up 14% in premarket trading.

?itok=Hrt5Kp_j

Berenberg analysts noted that Glencore could emerge as a rival bidder but said cultural differences would likely pose a major hurdle. They added that BHP may also show interest, given the scale Teck could bring to its copper business.

"A bidding war could ensue," the Jefferies analysts told clients.

https://cms.zerohedge.com/users/tyler-durden

Tue, 09/09/2025 - 07:45

https://www.zerohedge.com/commodities/anglo-american-teck-resources-mega-deal-will-create-compelling-large-scale-copper

Don't UK The USA

Don't UK The USA

https://townhall.com/columnists/kurtschlichter/2025/09/08/dont-uk-the-usa-n2662867

Woe to the British, particularly the British who are actually British and are today being forced by their ruling class to be unwilling cattle subject to the unrestrained exploitation, looting, and raping of the Third World barbarians their betters imported. There’s a lot of raping going on, and the real problem seems to be that normal British people don’t want their daughters raped. But their rulers do; it’s reasonable to assume that you want the foreseeable consequences of your actions. Recently, when one girl pulled a knife on some scumbag who was trying to molest her, someone got arrested. You’re not going to be surprised to find that it was the girl who was defending herself and her sister.

Britain is now a classic anarcho-tyranny, where the catspaws of the ruling class are free to pillage and abuse while the full weight of the once legitimate government comes down on those who would protest or resist.

Raise the flag of your own country?

That’s a hate crime but fly high the pride and Palestinian banners.

Don’t get your hopes up about the British people casting off their chains anytime soon, because I’m sorry to say it’s not going to happen.

And there are a lot of reasons for it, reasons we should understand here in America to avoid the UK’s sorry fate of tumbling down the slippery slope into nanny state fascism with sensible shoes, crushing its subjects’ faces forever.

I use the term “subjects” because that’s what they are, not citizens, not men. A subject is subject to the will of others. A citizen is subject to his own will while also participating as an equal member of the polity. In Britain, the idea of being a subject is firmly ingrained because it is a monarchy, even though the monarch is a neutered, doddering buffoon who was the shame of his hard-as-nails mother. But again, the British accept this. They don’t have to be a monarchy. They could be a republic, but they don’t want to be for whatever reason. The idea of royalty is remarkably silly, but you need to understand that there are actually people out there who yearn to be ruled, who want to be subjects. Being a citizen is hard. It requires many things of you. But being a subject is easy. It requires only your obedience.

Don’t even get me started on how these geeks presume to legislate what Americans can and can’t say online.

We won’t take it, but their own people seem cool with it. They shouldn’t be.

Now, it’s easy to say – and accurate to say – there’s not going to be any British civil war because the British were dumb enough to give up their guns.

?itok=S_fdzGsb

You should never give up your guns. You cannot be a citizen if you don’t have guns. If the citizens don’t have the means to commit violence in the defense of life and liberty, then they are mere subjects. The British gave up their guns in exchange for security. Of course, they have none. And now that their government – the entire government, including the alleged Conservative Party – has turned openly against them, they have no real remedy. In America, we still have a remedy, should it become necessary. I wrote about it in detail in my new novel, https://www.amazon.com/dp/B0FBG264CD?ref=cm_sw_r_ffobk_cp_ud_dp_VXX7TGMVXRV5JTTFP3RR&ref_=cm_sw_r_ffobk_cp_ud_dp_VXX7TGMVXRV5JTTFP3RR&social_share=cm_sw_r_ffobk_cp_ud_dp_VXX7TGMVXRV5JTTFP3RR&bestFormat=true&previewDoh=1&previewDohDeal=1

. It is the indisputable right of a citizenry to remove an oppressive government that chronically, systemically, and irrevocably violates the civil rights endowed in us by our Creator (Yeah, rights come from God, Tim Kaine). That’s as true today as it was in 1776, when the British tried that crap over here and we shot them. Remember, the proper unit of measurement of freedom is the caliber. I will also accept millimeters, as in 5.56, 7.62, 9, and 10, as well as gauge, as in 12.

But of course, as my novel explains, securing freedom from a dictatorship is not as simple as just going to your gun safe(s) and choosing one of your many, many freedom sticks. https://www.youtube.com/watch?v=6qTBHcPXs64

is just the threshold qualification for proactively securing your freedom. You also need leaders. And that’s where we get to the class dynamics of Britain. The lower classes, the workers, the very Brits the British ruling class holds in such contempt, have never led themselves. They were always led by some rich toff who went to Oxford. This noblesse oblige vibe meant that the ruling class, while holding the dirty peasants in condescending contempt, also attempted to take care of them. And the posh boys stood with them when things got stabby; the Zulus at Isandlwana cut down highfalutin’ officers and rank-and-file alike, and nobody ran.

But now the ruling class has decided to let its contempt flag fly. It hates its own people, and that’s a uniparty party thing. Labor, Conservative, it doesn’t matter. Those are just labels. There’s one party, the uniparty, and they all agree on everything from the climate hoax to the need to import endless foreigners to the need to suppress the voices of the peasants. They went to the same schools, eat at the same clubs, and engage in the same bizarre kinks.

The peasants should be revolting, but there’s no one to lead them. If a nail rises up, it gets pounded down. Open your mouth and the English Gestapo is there. Giant rape gang that molests hundreds of girls for years? Now, that’s not interesting. But there’s a guy in Brighton who said that maybe we should turn off the tap of Third World invaders. Better get the bobbies rolling; it’s not going to be a problem getting a conviction when all the judges all agree on the desperate need to suppress any alternative viewpoints as subversive. The dual-track justice system, where normal Brits are punished mercilessly while foreign barbarians are free to indulge in their barbarity, will help keep those in power in power.

And the British people will go along with it, because this is how these things go. When you capture the institutions, gut them, and wear them as a https://x.com/iowahawkblog/status/664089892599631872?s=61&t=gjlNHuHkj-Sooqhevd0uTg

, you get respect for a while. This isn’t the free Great Britain of Margaret Thatcher or Winston Churchill. This is a scummy little dictatorship wearing what was once a legitimate government as a pelt.

The working-class British have the numbers, but they lack organization. And it’s not clear that they have the willingness to make the sacrifices required to be free once again. They’d have to get off their couches, turn off the telly, skip the Eurovision Song Contest, and risk economic deprivation, cultural isolation, and potentially prison. Moreover, if it gets serious and they become a real danger to the regime, look for the ruling class to turn the military on them and kill its way to power forever. You don’t think it would ever come to that? Have you not been watching? Do you not understand how these Western leftists hate their own people?

America could go this way, but there are challenges our ruling class faces that the inbred twits of Old Blighty don’t. Yes, we have guns. Yes, we have the mindset that we’re citizens and that we don’t default to somebody simply because he’s a pale hemophiliac with a decaying castle and a legacy of 30 generations of Cambridge graduates who styles himself Dimsdale Poofknocker-Ween VII, Arch-Baron of Bumtouch-on-the-Grumpy.

There are also geographic factors. America is big enough that it incorporates significantly different regions, some of which are much more ornery than others. We patriots have the presidency now, but even if we didn’t, federalism means there are complete state governments that align with freedom, providing a safe haven for liberty. And on a practical matter, it would be hard to conduct systemic, comprehensive oppression because we have so many different law enforcement agencies, as opposed to effectively just one in Britain. Yeah, please go out and tell the sheriff in some Texas Hill Country county that he’s got to collect up everybody’s AR-15s and see how that goes for you. He doesn’t work for DC; he works for the people he grew up with and lives with. Oh, and having a written constitution helps. Britain’s constitution appears to be whatever the ruling class wants it to be at a given moment. Think of Calvinball, except Brit Calvin has bad teeth and likes to tie up Hobbes.

Now, with Britain becoming something new and much, much worse, we Americans need to ask ourselves whether we want to maintain our special relationship. It worked out very well in the past when the UK had a real military and could actually contribute something to the defense of the West. But now, we need to ask ourselves a question. What’s in it for us? Why is the UK 2.0 worthy of a special relationship with us if its own people can’t speak or live freely, if its ruling class is destroying the country, and if no child is safe? I don’t want to be in a special relationship with the nation-state equivalent of the Lincoln Project.

It’s sad, but what happens to Britain is not up to us. It’s up to the British. But what is up to us is what we do here in our own country.

And what we must do now is double down on being citizens instead of subjects.

Speak freely and forthrightly.

Demand every single right to which you were endowed by our Creator.

Reject the dual-track justice system and anarcho-tyranny that the Democrats would impose. But, most of all, make sure you have laid the foundation requirement for freedom – buy guns and ammunition.

https://cms.zerohedge.com/users/tyler-durden

Tue, 09/09/2025 - 07:20

https://www.zerohedge.com/geopolitical/dont-uk-usa

Outlook For Job Seekers Suddenly Craters To Record Low Amid Steady Inflation Expectations, NY Fed Finds

Outlook For Job Seekers Suddenly Craters To Record Low Amid Steady Inflation Expectations, NY Fed Finds

After sliding every month since April, short-term inflation expectations (inside a 1 year horizon) as polled by the Ny Fed survey of consumer expectations appear to have bottomed and after rising modestly in July from 3.0% to 3.1%, rose again in August, this time to 3.2%. At the same time, inflation expectations were They were unchanged for the 3rd consecutive month at the three-year horizon at 3.0%, and also unchanged at 2.9% for the five-year-ahead horizon (median inflation uncertainty, or the uncertainty expressed regarding future inflation outcomes, increased at the one- and three-year-ahead horizons and declined at the five-year-ahead horizon.)

?itok=FYqInaeY

One place where consumers may be disappointed is that median home price growth expectations remained unchanged for the third consecutive month at 3.0%. This series has been moving in a narrow range between 3.0% and 3.3% since August 2023. However, as recent data has shown, home price growth is stalling fast, and at this rate will turn negative within a month or two at which point home price expectations will reprice dramatically.

What is curious is what while short-term inflation expectations rose fractionally, the declined across the board when disaggregated by various components. to wit: median year-ahead commodity price change expectations declined by 0.9% points for the cost of college education to 7.8%, by 1.0% point for rent to 6.0%, and by 0.4 percentage point for the cost of medical care to 8.8%. Median year-ahead price change expectations remained unchanged for gas (3.9%) and food (5.5%) for the third consecutive month.

?itok=K-zuRSwU

Turning to household finance expectations, the median expected growth in household income remained unchanged for the second consecutive month at 2.9% in August, equaling its 12-month trailing average. Median household spending growth expectations increased by 0.1 percentage point to 5.0%. The series has been moving in a range between 4.8% and 5.2% since February 2025.

Perceptions of credit access compared to a year ago improved with a smaller share of households reporting it is harder to get credit. Expectations for future credit availability deteriorated somewhat, with a smaller share of respondents expecting it will be easier to obtain credit in the year ahead.

While the average perceived probability of missing a minimum debt payment over the next three months increased by 0.8% to 13.1%, it remained below its 12-month trailing average of 13.5%.

Somewhat amusingly, median year-ahead expected growth in government debt declined by 2.5% points to 6.6%. Spoiler alert: this will not happen. What also will not happen is that average interest rates on savings accounts will rise - on the contrary, once the Fed starts cutting rates in 2 weeks, expect much lower rates - but that didn't stop 24.3% of respondents, up 0.7% on th month, from expecting that saving accounts will be higher in 12 months.

On the flip side, perceptions about households’ current financial situations compared to a year ago worsened with a larger share of households reporting a worse financial situation and a smaller share of households reporting a better financial situation. Year-ahead expectations about households’ financial situations became more dispersed. A larger share of households are expecting a worse financial situation, and an equally larger share of households are expecting a better financial situation in one year from now.

?itok=1P5lxMmp

And yet despite the apparent deterioration in outlook, at least households can still cling to hopes for higher stock prices: the mean perceived probability that US stock prices will be higher 12 months from now increased by 0.6 percentage point to 38.9%.

?itok=BmB1kinN

While the latest inflation and household finance readings were relatively tame the same can not be said for expectations about the Labor Market. Here, the most notable shift came from responses by those who lose a job now, and say that the prospects of finding new employment within three months dropped by almost 6 percentage points in August to the lowest reading since the New York Fed began asking the question in 2013. That’s also the sharpest downturn in one month since the pandemic. Specifically, the perceived probability of finding a job if one’s current job was lost fell markedly by 5.8 ppt to 44.9 percent, the lowest reading since the start of the series in June 2013.

?itok=ccL1XSLj

The darkening outlook for job seekers was broad-based across age, education and income groups, the New York Fed said. Yet it was most pronounced for those with a high school diploma as their highest level of education.

A bit less dramatic, but tied to that, is that the mean perceived probability of losing one’s job in the next 12 months ticked up by 0.1% point to 14.5%. The reading is above the series’ 12-month trailing average of 14.0%. The mean probability of leaving one’s job voluntarily in the next 12 months decreased by 0.1% point to 18.9%, remaining slightly below its 12-month trailing average of 19.0%.

?itok=jV_h6SKk

Additionally, mean unemployment expectations, or the mean probability that the U.S. unemployment rate will be higher one year from now, increased by 1.7 ppt to 39.1% which however is well below the recent April highs of 44.1%.

?itok=g7QaIT_X

The results followed a dismal employment report last Friday showing firms added just 22,000 net new positions in August. Revisions also revealed that companies shed workers in June. The unemployment moved up to 4.3%, and cemented the odds of a 25bps rate cut in two weeks.

Fed officials say concerns are shifting from the inflation risks posed by tariffs to weakness in the job market. Many businesses have delayed price increases after stocking up on inventory at the beginning of the year.

And sure enough, the latest NY Fed survey confirms that while fears of runaway inflation expectations are now long gone (except perhaps a dozen or so blue haired Karens which UMich polls relentless month after month), the labor market continues to deteriorate at an accelerating pace, and absent a jumbo rate cut soon, the deterioration will be sufficient to trigger a recession.

https://cms.zerohedge.com/users/tyler-durden

Mon, 09/08/2025 - 12:20

https://www.zerohedge.com/economics/outlook-job-seekers-suddenly-craters-record-low-amid-stead-inflation-expectations-ny-fed

White House Deputy Chief Of Staff: 'Massive Scandal' Uncovered In D.C. Crime Stats

White House Deputy Chief Of Staff: 'Massive Scandal' Uncovered In D.C. Crime Stats

https://amgreatness.com/2025/09/08/white-house-deputy-chief-of-staff-massive-scandal-uncovered-in-d-c-crime-stats/

White House Deputy Chief of Staff Stephen Miller is warning that an https://www.nbcwashington.com/news/local/justice-department-to-investigate-whether-dc-police-manipulated-crime-data/3977022/

into whether Washington D.C. officials manipulated crime statistics is in the process of uncovering a “massive scandal.”

?itok=KME4FHNK

At an Oval Office press conference, Miller told reporters that when the results of the investigation are finally that, “It will stun you,” adding, “Even though D.C. had the worst crime in America–honestly measured–it dramatically understated how bad it was.”

🚨 BREAKING: In a shocking revelation, Stephen Miller uncovered a massive scandal in Washington, D.C. The Democratic-led police department has been systematically concealing crime statistics, even classifying homicides as accidents rather than murders. https://t.co/WK1jG1tb9c

— TRUMP ARMY (@TRUMP_ARMY_) https://twitter.com/TRUMP_ARMY_/status/1964314138416460082?ref_src=twsrc%5Etfw

Miller said that DOJ investigators have uncovered evidence that crime data was manipulated to the point that some murders and homicides were falsely reported as accidents.

The White House Deputy Chief of Staff also assured reporters that the full extent of the manipulation “will be uncovered and it will all be brought to light.”

Miller told reporters that he’s had the opportunity to visit with police officers in the city who tell him that members of the public are going up to them and thanking them for finally being able to enjoy their parks and “walk freely at night without having to worry about being robbed or mugged.”

Stephen Miller: DC officials were covering up crime stats and even classifying m*rders as accidents. How many other Democrat-led cities have falsified crime data to this gross extent? https://t.co/Lk6CVl7B62

— War Correspondent (@warDaniel47) https://twitter.com/warDaniel47/status/1960296950143611288?ref_src=twsrc%5Etfw

Last month, House Oversight Committee Chairman James Comer (R-KY) https://www.nbcwashington.com/news/local/congress-investigating-allegations-that-dc-police-manipulated-crime-data/3979663/

, in a letter, that his committee is “investigating disturbing allegations that DC crime data is inaccurate and intentionally manipulated.”

Comer told Smith that a whistleblower “with direct knowledge of internal MPD operations and crime data discussions” told his committee that “crime statistics were allegedly manipulated on a widespread basis and at the direction of senior MPD officials.”

In his letter to Smith, Comer notes, “The whistleblower stated this manipulation is accomplished by supervisors — with only a cursory understanding of the facts and circumstances of the crime — ignoring the judgement of patrol officers who actually interviewed witnesses and collected evidence by recommending reduced charges.”

MPD District 3 Commander Michael Pulliam, https://www.nbcwashington.com/news/local/dc-police-commander-suspended-crime-statistics/3959566/

to have been under investigation for allegedly manipulating crime statistics for his district, although Comer told Smith in his letter that, “Unfortunately, this practice does not appear to be isolated, nor is it a recent development.”

MPD data had shown violent crime decreases across all seven police districts, although D.C. Mayor Muriel Bowser said MPD leadership only found anomalies in data reporting in one district.

https://cms.zerohedge.com/users/tyler-durden

Mon, 09/08/2025 - 09:20

https://www.zerohedge.com/political/white-house-deputy-chief-staff-massive-scandal-uncovered-dc-crime-stats

Bolivia's Defeat Of Socialism Signals A Continental Realignment

Bolivia's Defeat Of Socialism Signals A Continental Realignment

Authored by Emmanuel Rincon via the https://thedailyeconomy.org/article/bolivia-breaks-from-socialism-following-latin-american-trend-toward-freedom/

,

It took 20 years https://www.youtube.com/watch?v=CUCR51sIH-E

(MAS) in Bolivia through elections.

Two decades of political battle lines, along with a so-called “cultural war,” run deep in the region.

MAS rose to power thanks to the financing https://www.cato.org/development-policy-analysis/corruption-mismanagement-abuse-power-hugo-chavezs-venezuela

into campaigns across almost every country in the continent. For a long stretch, he and his allies virtually took control of South America—except for Colombia.

The Venezuelan crisis left them exposed, however. Not only did the money used to fund political campaigns run out, but the https://thedailyeconomy.org/article/what-a-dictator-does-to-an-economy/

the economy at the same time.

?itok=FhxTC_-G

On August 17, it wasn’t just that the https://theconversation.com/bolivia-election-voters-bring-two-decades-of-leftist-politics-to-an-end-263238

in Argentina.

The Electoral Collapse of the Socialist Option

The name of Bolivia’s next president is still unknown; Opposition figures Rodrigo Paz and Tuto Quiroga advanced to the runoff scheduled for Oct. 19. The ruling MAS, by contrast, https://www.theguardian.com/world/2025/aug/20/bolivia-presidential-election-socialism?utm_source=chatgpt.com

from 75 seats to just one. This collapse was also fueled by internal divisions.

Evo Morales, the party’s historic leader, had initially backed Luis Arce. Once in office, though, Arce began to distance himself from Morales, partly due to Morales’ https://www.americasquarterly.org/article/in-bolivia-an-intense-battle-between-arce-and-morales/

his “indigenous praetorian guard.”

But politics alone can’t explain MAS’s downfall. Bolivia was experiencing one of its https://www.cfr.org/backgrounder/venezuela-crisis

in decades.

Many factors contributed, including:

Collapse of the energy sector: Gas production, the country’s main revenue source, https://www.sciencedirect.com/science/article/pii/S0301420724004112

from 60 million cubic meters per day in 2014–2015 to just 28 million in 2025. Mismanagement and lack of maintenance slashed exports and so, foreign trade.

Depleted reserves: In 2014, Bolivia held $15 billion in international reserves, but by 2025 that figure had dropped to under $2 billion. This left the government unable to maintain subsidies or import fuel normally.

https://apnews.com/article/bolivia-fuel-crisis-economy-arce-president-gas-b43cff9dcfebdca40d35aad6911f055f

in cryptocurrency to import fuel.

https://www.reuters.com/world/americas/everything-is-so-expensive-bolivians-tighten-belts-new-inflation-reality-bites-2025-04-07/?utm_source=chatgpt.com

hovering between 17–24 percent.

Widespread poverty: According to the https://documents.worldbank.org/pt/publication/documents-reports/documentdetail/099515404212531525

.

https://www.imf.org/en/Countries/BOL

, while the fiscal deficit surpassed seven percent of GDP, leaving no fiscal margin.

Ordinary Bolivians felt this collapse firsthand: endless gas station lines, skyrocketing food prices, and the impossibility of accessing dollars as their local currencies became worthless. That combination eroded whatever support MAS still had left.

The Milei Factor

Meanwhile, next door in Argentina—a country that had faced a similar crisis years earlier—a wild-haired libertarian was steering the nation onto https://archive.is/2ilCg

, “Long live freedom, damn it!”

At first, few took him seriously. But within two years, he became an international phenomenon. https://www.bbc.com/news/world-latin-america-67470549

against all odds and began implementing exactly what he promised by shrinking the state and freeing the economy.

Milei inherited Argentina with 211.4 percent annual inflation in December 2023. By May 2025, the consumer price index rose only 1.5 percent—the lowest in https://www.france24.com/en/live-news/20250331-falling-inflation-drives-down-poverty-in-argentina-statistics-agency

. A country once seen as doomed to hyperinflation and misery began to rapidly recover.

Bolivians took notice. Both Rodrigo Paz and Tuto Quiroga—the candidates who made it to the runoff—have pledged to cut public spending and reduce the size of the state. This shift has already become a regional trend.

The Rightward Turn in Latin America

Before MAS’s defeat in Bolivia, Ecuador had elected Daniel Noboa, https://www.americasquarterly.org/article/latin-americas-rightward-shift/

and more distant from the region’s socialist regimes. Around the same time, Argentina’s Javier Milei had secured his own victory. Now it’s Bolivia. Step by step, the political map of the region is shifting.

In the coming months, https://www.as-coa.org/content/guide-2025-latin-american-elections

rather than China, Russia, or Iran.

Not all of them can be described as “libertarians” or as followers of Hayek’s economic thought, like Milei. But they are far removed from the region’s recent enmeshment in statism, repression, and narcotrafficking cartels. They also appear willing to cooperate with Washington on regional security, migration, and economic matters.

What’s remarkable is how the Argentine phenomenon has shifted the regional dynamic.

In a Latin America long accustomed to government handouts, presidential candidates no longer compete to offer more subsidies and social programs. They now compete to promise deeper cuts, less government, and greater individual freedoms.

The cry of “Long live freedom, damn it!” began in Buenos Aires, echoed in La Paz, and the rest of Latin America now awaits its turn at the ballot box, to join the libertarian wave that seems to be reshaping the continent’s political landscape.

https://cms.zerohedge.com/users/tyler-durden

Sun, 09/07/2025 - 23:20

https://www.zerohedge.com/geopolitical/bolivias-defeat-socialism-signals-continental-realignment

Censorship Concerns Surge As China Yanks Video Of Xi–Putin Organ Transplant Discussion

Censorship Concerns Surge As China Yanks Video Of Xi–Putin Organ Transplant Discussion

https://www.theepochtimes.com/world/censorship-concerns-raised-after-chinese-state-media-pulls-video-of-xi-putin-organ-transplant-discussion-5911588?utm_source=partner&utm_campaign=ZeroHedge

China’s state-owned broadcaster has rescinded international wire agency access to a hot mic video of Chinese and Russian leaders discussing longevity and organ transplants, an effort that shows the Chinese regime’s fear of attention on the topic, critics say.

?itok=gFnt4Kop

The open mic https://www.theepochtimes.com/world/putin-xi-hot-mic-moment-on-organ-transplants-underscores-concerns-over-organ-harvesting-in-china-5909770

between Russian President Vladimir Putin and Chinese leader Xi Jinping took place in Beijing on Sept. 3, as the two leaders walked together ahead of a military parade commemorating World War II.

Xi at the parade told Putin that “these days at 70 you are still a child,” prompting Putin to remark that continued organ transplants could allow one to live younger and even reach immortality. Xi in response said that it is predicted that there’s a chance of humans living to 150 years old.

The conversation became global news and sparked discussions about the Chinese regime’s state-sanctioned forced https://www.theepochtimes.com/us/rep-smith-on-putin-xi-organ-transplant-revelation-cruelty-knows-no-bounds-5910258

, a taboo topic in China. CCTV has since taken down the livestream video that captured the exchange and removed the moment from replays.

CCTV also sent a letter through its lawyer to Reuters—which licensed the video through CCTV and edited it into a four-minute clip—requesting the news agency to remove the footage on the grounds that the clips Reuters published exceeded the agreed-upon scope.

CCTV lawyer He Danning claimed Reuters’ “editorial treatment applied to this material has resulted in a clear misrepresentation of the facts and statements contained within the licensed feed.”

Reuters withdrew the video and issued a “kill” notice to its clients on Sept. 5. The agency said it had earlier distributed the clip to more than 1,000 media clients around the world, including major international news broadcasters and TV stations.

In a https://www.facebook.com/Reuters/posts/withdrawal-reuters-is-withdrawing-clips-from-a-live-feed-of-russian-president-vl/1324485399542189/

, Reuters said it was removing the content because it no longer has the legal permission to publish this copyrighted material.

“We stand by the accuracy of what we published. We have carefully reviewed the published footage, and we have found no reason to believe Reuters longstanding commitment to accurate, unbiased journalism has been compromised,” Reuters stated.

According to the London-based China Tribunal, forced organ harvesting has https://www.theepochtimes.com/china/unmatched-wickedness-tribunal-confirms-longstanding-allegations-of-organ-harvesting-by-china-2970592

to the Falun Dafa Information Center.

The International Coalition to End Transplant Abuse in China (ETAC), an Australian advocacy group comprising lawyers, medical professionals, researchers, and human rights advocates, said it was not surprised by CCTV’s demand, considering that organ transplants in China “are linked to crimes against humanity.”

“The now-withdrawn ‘hot mic’ recording between Xi and Putin highlighted the possibility of using organ transplants to seek immortality, rather than to treat seriously ill patients,” ETAC said in a statement to The Epoch Times.

“Such a conversation in China immediately raises the spectre of forced organ harvesting from prisoners of conscience.”

The group said the incident should be “a reminder of the responsibility of media outlets to resist undue influence, the necessity for governments to respect press freedom, and the urgency of addressing credible allegations of forced organ harvesting and other human rights abuses in China.”

“Efforts to suppress or dilute media coverage risk silencing victims and obstructing informed public debate. Independent journalism is critical in holding governments accountable, especially when issues involve systemic human rights violations.”

Two pieces of U.S. legislation that https://www.theepochtimes.com/china/house-overwhelmingly-passes-stop-forced-organ-harvesting-act-5854059

a month ago to both the Senate and the House, seeks to expand sanctions of the existing law, the Uyghur Human Rights Policy Act of 2020, regarding the human rights abuses in the predominantly Muslim Uyghur Xinjiang region.

“Each addresses forced organ harvesting in distinct ways, and swift passage is critical to avoid U.S. complicity in these crimes,” ETAC stated. “The international community cannot afford selective silence when fundamental human rights are at stake.”

https://cms.zerohedge.com/users/tyler-durden

Sun, 09/07/2025 - 22:10

https://www.zerohedge.com/geopolitical/censorship-concerns-surge-china-yanks-video-xi-putin-organ-transplant-discussion

Sacks, Chamath Describe 'Surreal' White House Dinner With Trump And Tech Elite

Sacks, Chamath Describe 'Surreal' White House Dinner With Trump And Tech Elite

President Donald Trump https://www.zerohedge.com/technology/musk-snubbed-trumps-tech-ceo-party-rose-garden

a high-profile dinner at the White House, drawing a roster of Silicon Valley’s most influential leaders to discuss artificial intelligence and U.S. investment. The gathering included Meta's Mark Zuckerberg, Apple's Tim Cook, Microsoft's Bill Gates, and OpenAI’s Sam Altman, many of whom have publicly criticized Trump in the past. Elon Musk, once a close Trump ally, was notably absent, with scheduling conflicts and a public falling-out underscoring strains in their relationship.

?itok=52-x-REU

AI and Crypto Czar David Sacks and Chamath Palihapitiya, both attendees of the dinner, offered an insider account of the event on the “All-In” podcast. “It started with a group that Chamath organized in Silicon Valley. They were the core nucleus, and then more and more people wanted to join,” Sacks said. “Pretty soon, the president invited the top tech leaders, and it turned into the room you saw. It’s pretty amazing—President Trump’s ability to convene all these folks. I’d say maybe half the tech industry was there by market cap.”

Palihapitiya agreed with Sacks, explaining how being in that room "felt surreal."

"You’re seeing the leaders of the most important companies in the world, all sitting together, with this sense of alignment and cooperation. That was really cool,” Palihapitiya said. “These folks don’t have to show up anywhere, but the fact that the president could convene them says a lot about him and his agenda.”

Palihapitiya said that attendees were “incredibly supportive” of Trump’s policies, which he contrasted with “the difficulties under Biden,” noting that, “Even hard-core liberals like Tim Cook and Bill Gates have now fully embraced President Trump."

"That’s a testament to his agenda,” he said.

Palihapitiya then offered a play-by-play account of Trump hosting the tech leaders inside the Roosevelt Room. “You’re seeing the most powerful people who’ve built these incredible businesses—about 30 folks, but the table only fits 15. So you’ve got Tim Cook, Sam Altman, and Satya Nadella sitting on a couch, Dylan Field and Alan Wag nearby, just chilling,” Palihapitiya recounted. “In their own worlds, they’re kings, but in the White House, they’re American citizens there to meet the president. Everyone’s egos were checked.”

“Then they had us line up single file - Sundar, Satya, Bill Gates - like we’re backstage at a Zeppelin concert,” he added.

The group’s visit to the Oval Office added a ceremonial touch.

A visit to the Oval Office added ceremony, with attendees like Oracle’s Safra Catz and her husband mingling for photos at the Resolute Desk. An impromptu moment came when Catz’s husband asked for a pen, prompting Trump to hand out challenge coins and pens. Google’s Sergey Brin sparked a policy discussion that carried into dinner, while an attendee’s request for Trump’s playlist led to Fleetwood Mac playing in the Rose Garden, as captured by AMD’s Lisa Su. The camaraderie, however, couldn’t mask the underlying tension: these leaders, once vocal critics, now appeared to prioritize access and influence over their past principles, casting doubt on whether their earlier opposition was genuine or merely posturing for public favor.

The event raised questions about the motives of tech leaders who once opposed Trump. Zuckerberg, who https://www.zerohedge.com/markets/meta-settles-facebook-ban-suit-trump-offers-weak-guidance-earnings-hit-late

Trump to "hateful" demagogues.

Oh...

Mark Zuckerberg gets caught on a hot mic admitting he is totally making up Meta’s U.S. investment numbers based on whatever Trump wants to hear:https://t.co/DnxMALqJgK

— Spencer Hakimian (@SpencerHakimian) https://twitter.com/SpencerHakimian/status/1964024709768413477?ref_src=twsrc%5Etfw

https://cms.zerohedge.com/users/tyler-durden

Sun, 09/07/2025 - 15:45

https://www.zerohedge.com/political/sacks-chamath-describe-surreal-white-house-dinner-trump-and-tech-elite

"Not A Jobs Recession": Bessent Doubles Down On Tariffs, Predicts Economic Surge, Slams Goldman & Moody's

"Not A Jobs Recession": Bessent Doubles Down On Tariffs, Predicts Economic Surge, Slams Goldman & Moody's

Treasury Secretary Scott Bessent pushed back Sunday against growing concerns that the U.S. economy is sliding toward a “jobs recession,” defending the administration’s trade policies, tariffs, and fiscal strategy while signaling confidence that growth will accelerate by year’s end.

?itok=pOkEcUOp

In a wide-ranging interview on NBC’s Meet the Press (full interview at the bottom), Bessent rejected forecasts from economists at Moody’s Analytics and elsewhere who have warned that slowing hiring trends and manufacturing job losses point to deeper weakness. Instead, he argued that recent data is noisy, revisions are likely, and that President Donald Trump’s economic agenda remains on track to deliver a "substantial acceleration" in the fourth quarter.

Host Kristen Welker opened the interview by citing Moody’s chief economist Mark Zandi, who recently described the U.S. slowdown as a "jobs recession." Asked if he agreed, Bessent pushed back:

"We’re not going to do economic policy off of one number," Bessent said. "Good policies are in place that are going to create good high-paying jobs for the American people."

He added that August is "the noisiest month of the year" for employment data and stressed that significant revisions are common: "We need good data before we jump to conclusions."

Tariffs at the Center of the Debate

Pressed on manufacturing job losses since the April rollout of the administration’s new tariffs, Bessent urged patience, noting that factories "can’t be built overnight" citing a "record amount of investment intentions" already underway.

He highlighted July’s passage of the administration’s flagship tax and infrastructure package - the One Big Beautiful Bill, which included full expensing for factories and equipment. According to Bessent, many companies were "holding back" investment until the bill passed and are now planning major capital expenditures and expansions.

Still, U.S. manufacturing employment has declined by 42,000 jobs since April, even as the White House has promised a "manufacturing renaissance"” Bessent attributed some of the perceived weakness to flawed data collection and suggested that upcoming revisions could wipe out hundreds of thousands of jobs previously reported under the Biden administration.

"We’re going to get revisions next week that may be as big as an 800,000-job downward revision," Bessent said. "I’m not sure what these people who collect the data have been doing, but we need good data."

Scott Bessent is now claiming Biden's jobs will be revised downward by 800,000 next week.

Is this why they are sending their own people to the BLS? https://t.co/udOZKfHSdj

— Ron Smith (@Ronxyz00) https://twitter.com/Ronxyz00/status/1964685941236445554?ref_src=twsrc%5Etfw

Clash Over Tariff Costs

The interview grew tense as Welker pressed Bessent on widespread reports from U.S. manufacturers that tariffs are increasing costs and forcing layoffs.

Companies including John Deere, Nike, Black+Decker, and the Big Three automakers have warned investors that tariffs are adding hundreds of millions - in some cases billions - in unexpected expenses. Goldman Sachs recently estimated that 86% of tariff costs have ultimately been borne by U.S. companies and consumers.

Bessent rejected those conclusions outright.

"For every John Deere, we have companies telling us the tariffs have helped their business," he said, citing meetings with executives at Treasury. "They’re increasing capital expenditures and expanding employment. And if things are so bad, why was GDP up 3.3% and why is the stock market at a new high?"

When asked directly whether tariffs amount to a tax on U.S. consumers, Bessent responded flatly: "No, I don’t."

He also dismissed Goldman Sachs’s analysis, quipping: "I made a good career trading against Goldman Sachs."

🚨 HOLY SMACKDOWN! Scott Bessent just obliterated NBC's Kristen Welker - this is one for the ages.

"Kristen, if things are so bad, why was the GDP 3.3%? Why is the stock market at a new high? [...] You're quoting big companies, but the big company index, the S&P, is at a new… https://t.co/eflkLxwMxE

— Eric Daugherty (@EricLDaugh) https://twitter.com/EricLDaugh/status/1964687961305313335?ref_src=twsrc%5Etfw

Did he though?

Oh well. https://t.co/718tYDdmzo

— iBankCoin, A Reliable Source (@iBankCoin4tw) https://twitter.com/iBankCoin4tw/status/1964732068623245785?ref_src=twsrc%5Etfw

Legal Battle Over Reciprocal Tariffs

Beyond the economic debate, the administration faces a significant legal challenge. An appeals court recently ruled that the administration’s use of reciprocal tariffs violated the Constitution, concluding that only Congress can impose taxes unless specific authority is granted to the president.

The administration has appealed the ruling to the Supreme Court, and Bessent expressed confidence that the justices will uphold the tariffs, citing President Trump’s authority under the International Emergency Economic Powers Act (IEEPA).

"I’m not sure on what planet, with 100,000 to 200,000 Americans dying every year from fentanyl, the president shouldn’t be able to use tariffs to stop poison coming across the border," Bessent said.

🚨 JUST IN: Scott Bessent GOES OFF and says President Trump is CLEARLY in his right to use tariffs because of the fentanyl crisis.

The Supreme Court better uphold the tariffs, or we've got issues.

"I'm not sure on what planet this fentanyl crisis with 100, 200,000 Americans… https://t.co/0HhQJJPwhg

— Eric Daugherty (@EricLDaugh) https://twitter.com/EricLDaugh/status/1964694645901869467?ref_src=twsrc%5Etfw

If the Supreme Court rules against the administration, Bessent acknowledged that the Treasury would be required to refund roughly half the tariff revenues collected — a move he warned would be “terrible for the Treasury.”

Setting Interest Rates and the Search for a New Fed Chair

The administration has also begun the search for a successor to Federal Reserve Chair Jerome Powell, whose term expires in May. Bessent confirmed that interviews began Friday and emphasized that the White House is seeking a leader with an “open mind” and a willingness to adapt to what he described as an “AI-driven productivity boom.”

"Alan Greenspan saw the impact of the internet in the 1990s," Bessent said. "We believe we’re in a similar period now."

Bessent also criticized the Federal Reserve’s forecasting record, accusing it of consistent bias.

"The Fed has overestimated GDP when Democrats were in office and underestimated GDP when Republicans are in office," he continued. "We need to get rid of the orthodoxy that has led them to so many mistakes."

Asked directly whether President Trump would control interest rates, Bessent clarified:

"The Fed chair doesn’t set interest rates. The FOMC sets interest rates. So it is a board."

He added that President Trump would "make his views known" on policy direction, much like President Biden and Sen. Elizabeth Warren did when they publicly pushed for rate cuts during the prior administration.

NBC: "Will the Fed chair set interest rates or will President Trump?"https://twitter.com/SecScottBessent?ref_src=twsrc%5Etfw

: "The Fed chair doesn't set interests rates. The FOMC sets interest rates, so it is a board..."

🔥🔥🔥 https://t.co/HdAJde3ppV

— Rapid Response 47 (@RapidResponse47) https://twitter.com/RapidResponse47/status/1964696114143314193?ref_src=twsrc%5Etfw

Escalating Pressure on Russia

The interview ended with foreign policy developments following Russia’s largest aerial attack on Kyiv since the start of the war. Bessent said the administration is coordinating closely with European allies on a package of expanded sanctions and secondary tariffs targeting nations that continue purchasing Russian oil.

"We’re in a race between how long the Ukrainian military can hold up versus how long the Russian economy can hold up," Bessent said. "If the U.S. and the E.U. move together, the Russian economy will be in full collapse - and that will bring President Putin to the table."

.https://twitter.com/POTUS?ref_src=twsrc%5Etfw

on Friday.

We are prepared to increase pressure on Russia, but we need our European partners to follow us: further economic pressure can drive the Russian economy towards a full collapse, and… https://t.co/HfKIyC2WU5

— Treasury Secretary Scott Bessent (@SecScottBessent) https://twitter.com/SecScottBessent/status/1964733487811797418?ref_src=twsrc%5Etfw

The Bigger Picture

Bessent’s interview underscored the high stakes surrounding the administration’s trade, fiscal, and monetary policies. Despite warnings from Wall Street, U.S. manufacturers, and some Federal Reserve officials, the Treasury chief doubled down on tariffs as a central pillar of the administration’s strategy and expressed confidence that the economy will reaccelerate later this year.

The Supreme Court’s pending decision on tariff authority, upcoming revisions to jobs data, and the White House’s Fed chair nomination could all shape market sentiment heading into 2025.

"President Trump was elected for change," Bessent said. "And we are going to push through with the economic policies that are going to set the economy right."

Full interview below:

*  *  *

Psst - we've got https://store.zerohedge.com/zh-gear/cool-stuff

now.

https://cms.zerohedge.com/users/tyler-durden

Sun, 09/07/2025 - 13:25

https://www.zerohedge.com/political/not-jobs-recession-bessent-doubles-down-tariffs-predicts-economic-surge

CBS Changes Policy For 'Face The Nation' Interviews After "Shamefully" Editing Noem Interview

CBS Changes Policy For 'Face The Nation' Interviews After "Shamefully" Editing Noem Interview

CBS News has announced it will no longer edit guest interviews on its flagship Sunday program “Face the Nation,” moving to a live or live-to-tape format following days of criticism over its handling of a sit-down with Homeland Security Secretary Kristi Noem.

The change comes after Noem https://www.dhs.gov/news/2025/08/31/cbs-deceptively-edits-secretary-noems-answers-cutting-more-23-footage-face-nation

the network of “shamefully” cutting portions of her Aug. 31 interview in order to “whitewash the truth.”

?itok=ifMbQjZA

https://www.theepochtimes.com/us/cbs-changes-policy-for-face-the-nation-interviews-after-kristi-noem-interview-5911360?utm_source=partner&utm_campaign=ZeroHedge

the Department of Homeland Security (DHS) said the broadcaster removed over 23 percent of her answers, “exposing the truth about criminal illegal alien Kilmar Abrego Garcia, President Donald Trump’s lawful actions to protect the American people, and Secretary Noem’s commitment to fight on behalf of the American people and their tax dollars.”

CBS initially defended its actions, saying that the unedited version was posted online, but the backlash continued to grow on social media and beyond.

Noem and others circulated clips of the missing passages online and accused the network of trying to manipulate public opinion by withholding harsh truths—like when Noem said that Abrego Garcia was a “known human smuggler, MS-13 gang member, an individual who was a wife beater.”

Then, on Sept. 5, CBS said that it will now only broadcast live or live-to-tape interviews, meaning guests’ answers will not be edited in any way—except in situations where legal or national security reasons require it. The broadcaster said it was changing its editorial policy “in response to audience feedback.”

“This extra measure means the television audience will see the full, unedited interview on CBS and we will continue our practice of posting full transcripts and the unedited video online,” a CBS spokesperson told The Epoch Times in an emailed statement.

The Noem interview is the second time in less than a year that CBS has figured into disputes over alleged selective editing.

Last fall, then-presidential candidate Trump https://www.theepochtimes.com/us/trump-sues-cbs-over-60-minutes-interview-with-harris-5751783?ea_src=author_manual&ea_med=related_stories

CBS, alleging that a “60 Minutes” interview with Democratic challenger and then-Vice President Kamala Harris had been manipulated to improve her image and boost her chances in the 2024 election.

CBS defended the editing of the Harris interview, https://www.cbsnews.com/news/60-minutes-publishes-transcripts-video-requested-by-fcc/

that transcripts and videos of the full interview showed that the broadcast “was not doctored or deceitful.”

The uncut transcript https://www.dropbox.com/scl/fi/pbq6fcc0iltxnx3ahukmz/Transcript-Transcribed-Unedited-Interview-Footage-8-of-14.pdf?rlkey=7xvynvcj6is6eukyclmbg7i6u&e=1&st=gzy0zb4u&dl=0

that some of Harris’s answers were cut roughly in half while also clarifying her full response to a question about the Israel–Hamas war, which Trump’s campaign alleged was deceptively edited to make her look better to potential voters.

Later, Trump https://www.theepochtimes.com/business/trump-doubles-cbs-lawsuit-damages-to-20-billion-over-harriss-60-minutes-interview-5806688

his complaint to include CBS parent company Paramount Global as a defendant, while doubling the amount of damages sought to $20 billion.

Paramount ultimately https://www.theepochtimes.com/us/paramount-to-pay-16-million-to-settle-lawsuit-over-60-minutes-harris-interview-5881348

that case in July for $16 million, while denying any wrongdoing.

https://cms.zerohedge.com/users/tyler-durden

Sun, 09/07/2025 - 09:55

https://www.zerohedge.com/political/cbs-changes-policy-face-nation-interviews-after-shamefully-editing-noem-interview

Trump Warns Any Venezuelan Plane Threatening US Ships Will Be Shot Down

Trump Warns Any Venezuelan Plane Threatening US Ships Will Be Shot Down

On Friday, for the second time in just two days, a Venezuelan F-16 jet flew near a US warship in the southern Caribbean. At least eight American navel vessels have been deployed off the Latin American country which possesses the world's largest proven crude oil reserves.

President Trump the same day warned that if Venezuelan jets fly over US naval ships and "put us in a dangerous position, they'll be shot down."

?itok=zK-_gfeb

CBS late Friday cited Pentagon officials who said a Venezuelan plane flew over the US destroyer "Jason Dunham" for the second time.

Some observers have begun to question the circumstances behind the prior US strike on a "drug-carrying vessel from Venezuela" operated allegedly by a drug trafficking gang, which killed all eleven people on board. Assuming they weren't military, it could be classified as an extrajudicial killing in international waters, with no warning issued or attempt at intercept.

The Commander-in-Chief has put US forces deployed there on a war footing, it https://www.bbc.com/news/articles/cr70511v774o

:

When asked by reporters in the Oval Office on Friday what would happen if Venezuelan jets flew over US vessels again, Trump said Venezuela would be in "trouble".

Trump told his general, standing beside him, that he could do anything he wanted if the situation escalated.

Venezuelan President Nicolás Maduro has responded by rejecting the state-linked narcotrafficking allegations, and explained that current problems and differences between the nations do not justify a "military conflict".

Maduro continued, "Venezuela has always been willing to talk, to engage in dialogue, but we demand respect."

Watch: Trump issues his new warning:

NOW - Trump instructs General Caine to shoot down Venezuelan jets if they approach U.S. naval ships dangerously. https://t.co/g0gDfVHkB2

— Disclose.tv (@disclosetv) https://twitter.com/disclosetv/status/1964068480963031503?ref_src=twsrc%5Etfw

Shooting down a Venezuelan jet would constitute an act of war, but Trump would likely not immediately go beyond that - unless there was further retaliation from Caracas. However, there remains the likely possibility that Trump could be pursuing a regime change policy, in continuation of some statements from his first term. On this, CNN https://www.cnn.com/2025/09/05/politics/trump-weighs-strikes-targeting-cartels-inside-venezuela

:

Asked by a reporter on Friday if he would like to see regime change in Venezuela, Trump said, "We’re not talking about that."

He went to say, "But we are talking about the fact that [Venezuela] had an election, which was a very strange election, to put it mildly."

CNN further claims, "President Donald Trump is weighing a multitude of options for carrying out military strikes against drug cartels operating in Venezuela, including potentially hitting targets inside the country as part of a broader strategy aimed at weakening leader Nicolas Maduro, according to multiple sources briefed on the administration’s plans."

Like the other many conflicts and unchecked adventurism in foreign lands, Congress appears to be missing in action, with https://www.zerohedge.com/geopolitical/lone-senate-voice-criticizes-trumps-bombing-boat-near-venezuela

Rand Paul and Thomas Massie.

https://cms.zerohedge.com/users/tyler-durden

Sat, 09/06/2025 - 13:25

https://www.zerohedge.com/geopolitical/trump-warns-any-venezuelan-plane-threatening-us-ships-will-be-shot-down

Shocking Video Shows Ukrainian Refugee Fatally Stabbed On Charlotte Train By Career Criminal

Shocking Video Shows Ukrainian Refugee Fatally Stabbed On Charlotte Train By Career Criminal

A shocking new video obtained by local media outlet https://www.wbtv.com/2025/08/28/man-stabs-woman-throat-charlotte-light-rail-minutes-after-she-sits-down-records-say/

shows the moments before 23-year-old Iryna Zarutska was randomly stabbed on Charlotte's public transportation light rail.

According to an affidavit obtained by WBTV on Aug. 28, Zarutska, a Ukrainian who fled the war-torn country, was stabbed in the neck on the Lynx Blue Line train at the East/West Boulevard station along Camden Road in the South End. She was pronounced dead from knife wounds at the scene.

The murderer, who was later arrested and held without bond, was career criminal Decarlos Brown Jr., a 34-year-old diagnosed with schizophrenia.

?itok=UYBWB_5I

The video is absolutely disturbing.

BREAKING:

New video shows the moment the repeat offender Decarlos Brown Jr stabbed the 23-y-old Ukrainian war refugee Iryna Zarutska to death on a train in Charlotte, North Carolina

Reopen the asylum homes. Too many violent crazies roam the streets 🇺🇸🇺🇦 https://t.co/QPzG7cqwvZ

— Visegrád 24 (@visegrad24) https://twitter.com/visegrad24/status/1964244645342322911?ref_src=twsrc%5Etfw

North Carolina House Majority Leader Brenden Jones, a Republican representing Columbus and Robeson counties, responded on X, criticizing the Democrats' failed woke agenda for allowing violent criminals to roam the city streets...

"The tragedy of Iryna Zarutska's death in Charlotte is the result of decades of Democrat DAs and Sheriffs putting their woke agendas above public safety," Rep. Jones said, adding, "Violent criminals commit crimes with impunity, while families live in fear."

The tragedy of Iryna Zarutska’s death in Charlotte is the result of decades of Democrat DAs and Sheriffs putting their woke agendas above public safety.

Violent criminals commit crimes with impunity, while families live in fear. https://twitter.com/hashtag/ncpol?src=hash&ref_src=twsrc%5Etfw

— Rep. Brenden Jones (@BrendenJonesNC) https://twitter.com/BrendenJonesNC/status/1964313358552772959?ref_src=twsrc%5Etfw

Zarutska's death raises alarm over the effectiveness of criminal justice reforms and highlights the Democratic Party's massive failures that have allowed violent criminals to walk the streets, creating a national public safety threat.

If it's defund the police, no cash bail, woke judges, and continue down the list of failures that have sparked out-of-control violent crime across major cities nationwide, it's time the American people hold Democrats accountable for their deadly progressive experiments.

Defunded police

No cash bail

DEI judges

This is what all of that “progressive” garbage leads to👇🏼 https://t.co/aOpSTRMrDh

— DC_Draino (@DC_Draino) https://twitter.com/DC_Draino/status/1964305662998978845?ref_src=twsrc%5Etfw

President Trump's move to restore law and order nationwide has been a countermeasure to clean up this epic mess left behind by the failures of progressive policies. It's time to demand accountability.

https://cms.zerohedge.com/users/tyler-durden

Sat, 09/06/2025 - 12:15

https://www.zerohedge.com/political/ukrainian-refugee-fatally-stabbed-charlotte-train-career-criminal-another-casualty

U.S. Tells "Maryland Father": No Asylum, Next Stop Eswatini

U.S. Tells "Maryland Father": No Asylum, Next Stop Eswatini

The "https://www.zerohedge.com/political/maryland-father-or-ms-13-migrant-gangster-which-it-msm

" (well, in the eyes of leftist corporate media), otherwise known as alleged MS-13 illegal alien gangster Kilmar Abrego Garcia, was notified by the Department of Homeland Security about deportation plans to a tiny African country.

In an email to the alleged MS-13 illegal alien gangster, published on X by Fox News' Bill Melugin, an Immigration and Customs Enforcement official informed the illegal that, given his concerns about being prosecuted and or even tortured in nearly two dozen countries, Eswatini is now considered the best fit.

?itok=vlOjC-bn

The email added, "Nonetheless, we hereby notify you that your new country of removal is Eswatini, Africa."

Homeland Security commented on X, "Homie is afraid of the entire western hemisphere."

Homie is afraid of the entire western hemisphere. https://t.co/lH7oZLaCKI

— Homeland Security (@DHSgov) https://twitter.com/DHSgov/status/1964094013654397306?ref_src=twsrc%5Etfw

Last month, leftist activist District Judge Paula Xinis, overseeing the illegal's case, ruled that the El Salvador native cannot be deported until early October. This comes as the illegal has been fighting for https://www.zerohedge.com/political/judge-says-kilmar-abrego-garcia-cannot-be-deported-until-october

.

The Trump administration recently offered the El Salvador native the option of deportation to Costa Rica in exchange for a guilty plea. However, his lawyers rejected the offer. He has been accused of human trafficking by the federal government.

New data obtained by https://www.newsweek.com/ice-data-immigrants-self-deportation-trump-administration-2124106

of ICE data via a Freedom of Information Act (FOIA) request showed that the Trump administration is on track to deport 276,207 illegals annually, or about 1.1 million over four years.

?itok=UcALAq5B

In other news...

https://t.co/nZkBEj3GGi

— Homeland Security (@DHSgov) https://twitter.com/DHSgov/status/1964066617534357904?ref_src=twsrc%5Etfw

. . .

https://cms.zerohedge.com/users/tyler-durden

Sat, 09/06/2025 - 09:55

https://www.zerohedge.com/political/us-govt-tells-maryland-father-ineligible-asylum-plan-deportation-eswatini

India Doubles Down On Russian Oil Purchases, As Trump Declares Both Are 'Lost' To 'Deepest, Darkest China'

India Doubles Down On Russian Oil Purchases, As Trump Declares Both Are 'Lost' To 'Deepest, Darkest China'

President Trump on Friday said India and Russia seem to have been "lost" to China following Modi and Putin having met with President Xi Jinping this week, amid the leaders hailing the forging ahead of a new multi-polar order which seeks to thwart a purely Washington-centric global system.

"Looks like we’ve lost India and Russia to deepest, darkest, China. May they have a long and prosperous future together!" Trump wrote in a social media, with an accompanying a photo of the three leaders together at Xi's summit in China.

?itok=5jAPye8_

This has been followed on Friday with India confirming that it will double down on Russian oil purchases, in defiance of US tariffs and threats.

"Where do we buy our oil from, especially since it’s a very expensive commodity, we pay a very high price for it and it’s the highest import, so we’ll have to decide what suits us best," Indian Finance Minister Nirmala Sitharaman said in an interview.

She then emphasized somewhat defiantly, "We will definitely buy it." On the same day, this development reported in Reuters will only serve to exacerbate https://www.reuters.com/business/energy/indian-oil-skips-us-crude-buys-nigerian-mideast-oil-via-tender-say-sources-2025-09-05/

:

Top Indian refiner Indian Oil Corp (IOC.NS), opens new tab skipped the purchase of U.S. oil in its latest tender and instead bought 2 million barrels of West African and a million barrels of Middle Eastern grade, trade sources said on Friday.

The state refiner also bought one million barrels each of Nigerian oil grades Agbami and Usan from French oil major TotalEnergy, and another million barrels of Abu Dhabi's Das crude from Shell, the people said. Nigerian oil has been bought on free-on-board basis and Das has been purchsed on a delivered basis for arrival at Indian ports in late October-early November. In its previous tender https://www.reuters.com/business/energy/india-boosts-us-oil-purchases-competitive-prices-narrows-trade-deficit-2025-08-29/

, IOC bought 5 million barrels of U.S. West Texas Intermediate.

This comes amid Trump's escalating trade war with New Delhi, but he now seems resigned to simply admit India has been "lost" to China and Russia.

Russian Foreign Minister Sergey Lavrov earlier this week hailed that India, among the largest economies on the planet, has not given in to US demands to stop purchasing its oil and other products.

A combined population of almost 3 billion...

?itok=6TkihFS9

"Such tariffs have already been introduced, for example, against India - our particularly privileged strategic partner, a major consumer of Russian goods, in particular, hydrocarbon raw materials," the top Russian diplomat https://www.zerohedge.com/geopolitical/lavrov-praises-india-not-caving-us-tariffs-pressure

.

"We appreciate the fact that New Delhi did not bend under pressure and remains committed to the principles of free trade," Lavrov stated.

https://cms.zerohedge.com/users/tyler-durden

Fri, 09/05/2025 - 22:10

https://www.zerohedge.com/energy/india-doubles-down-russian-oil-purchases-trump-declares-both-are-lost-deepest-darkest-china

Top Secret Seal Team Mission Into North Korea Ended With Massacre Of Civilians & Zero Intel Gained

Top Secret Seal Team Mission Into North Korea Ended With Massacre Of Civilians & Zero Intel Gained

On Friday The New York Times revealed what may go down in history as the single most ignominious fiasco of US special operations in years, or possibly even decades - a positively wild story which is going to cast a further spotlight on Trump and current and former intelligence officials and elite military commanders.

In early 2019 at a moment President Trump during his first term publicly engaged in high-profile diplomacy with Kim Jong Un, which included chummy summits at the DMZ border and the exchange of letters, a highly secretive operation by the US Navy's SEAL Team 6 ended with a group of North Korean civilian fishermen massacred under mysterious circumstances.

Trump as Commander-in-Chief had ordered a high-risk mission, utilizing low-tech methods to avoid detection, to insert the Seal team on the North Korean coast where they would install a surveillance device capable of intercepting Kim Jong Un’s most sensitive communications. It would be hidden from Congress and the public, and even government officials based on need-to-know access. It's one of those past covert ops which was never intended to see the light of public knowledge.

?itok=WVUPnFcb

The Times report describes the mission's purpose as likely to give the White House a huge leg up as Trump tried to engage Kim on the nuclear front, to achieve hoped-for historic denuclearization on the Korean peninsula. "The objective was to plant an electronic device that would let the United States intercept the communications of North Korea’s reclusive leader, Kim Jong-un, amid high-level nuclear talks with President Trump," it says. But the report notes that the hidden surveillance objective may have had a broader purpose.

"The mission had the potential to provide the United States with a stream of valuable intelligence," https://www.nytimes.com/2025/09/05/us/navy-seal-north-korea-trump-2019.html

continues. "But it meant putting American commandos on North Korean soil — a move that, if detected, not only could sink negotiations but also could lead to a hostage crisis or an escalating conflict with a nuclear-armed foe."

Essentially this would be a small-scale invasion and breach of one of the most militarized and paranoid countries in the region and on earth. It should be noted that it is covert operations like these which give autocrats like Kim Jong Un (or previously: Saddam, Gaddafi, Assad, as well as the Iranians) valid reasons to be paranoid concerning Western spies and elite operatives.

The report details that under the cover of night, the Seal team landed on a North Korean shoreline after they swam through freezing waters with untraceable equipment, operating completely blind and with no typical drone, spy plane or overhead surveillance or real-time mapping. Even their weapons and bullets were selected so as to be 'untraceable'.

Apparently there was precedent for this, something also long kept secret: "In 2005, SEALs used a mini-sub to go ashore in North Korea and leave unnoticed, according to people familiar with the mission," NY Times discloses. "The 2005 operation, carried out during the presidency of George W. Bush, has never before been reported publicly."

Every aspect to the 2019 infiltration was ultra high-risk, NYT https://www.nytimes.com/2025/09/05/us/navy-seal-north-korea-trump-2019.html

:

The plan called for the Navy to sneak a nuclear-powered submarine, nearly two football fields long, into the waters off North Korea and then deploy a small team of SEALs in two mini-subs, each about the size of a killer whale, that would motor silently to the shore.

The mini-subs were wet subs, which meant the SEALs would ride immersed in 40-degree ocean water for about two hours to reach the shore, using scuba gear and heated suits to survive.

Eight Seals would swim to the target and plant the device, but the mission began to dramatically unravel from nearly the moment they surfaced in the dark of night.

?itok=nf8NtNjB

Given the lack of real-time intelligence and communications black-out, intelligence analysts had studied and monitored the intended landing spot for months prior via satellite, to ensure no North Korean soldiers or bystanders could detect the operation. But it turns out there was a fishing boat very near the https://www.nytimes.com/2025/09/05/us/navy-seal-north-korea-trump-2019.html

:

Every few yards, the SEALs peeked above the black water to scan their surroundings. Everything seemed clear.

That might have been a second mistake. Bobbing in the darkness was a small boat. On board was a crew of North Koreans who were easy to miss because the sensors in the SEALs’ night-vision goggles were designed in part to detect heat, and the wet suits the Koreans wore were chilled by the cold seawater.

The SEALs reached shore thinking they were alone, and started to remove their diving gear. The target was only a few hundred yards away.

By that moment, one group of Seals had made it to the shore, while another had stayed with the underwater small subs. Thinking that the fishing boat had likely detected the subs, which may have been exposed due to wake-movement or bubbles at the surface, and possibly underwater lights - a Seal commander at the shore opened fire on the boat.

"As the shore team watched the North Korean in the water, the senior enlisted SEAL at the shore chose a course of action," NY Times details. "He wordlessly centered his rifle and fired. The other SEALs instinctively did the same."

Upon inspection of the shot-up boat, all the crew were dead. They had just been unarmed civilians diving for shellfish. But to conceal their presence, the Seals punctured the lungs of the corpses so the bodies would sink to the bottom of the ocean floor.

From that point, "The SEALs swam back to the mini-subs and sent a distress signal." The report adds: "Believing the SEALs were in imminent danger of capture, the big nuclear submarine maneuvered into shallow water close to the shore, taking a significant risk to pick them up. It then sped toward the open ocean."

The fact that this highly classified incident is being leaked to the press now is significant in its own right...

This is insane. Trump secretly deployed SEAL Team 6 into North Korea to plant a listening device but the mission collapsed when a fishing boat approached. SEAL Team 6 killed every civilian, sank the bodies by piercing their lungs, and escaped. Congress wasn’t told about it. https://t.co/JnnZuSqibt

— CALL TO ACTIVISM (@CalltoActivism) https://twitter.com/CalltoActivism/status/1964009778109133106?ref_src=twsrc%5Etfw

The Seal team made it back unharmed, and US officials told the NY Times that a flurry of intense North Korean military activity was later observed by satellites at that same shoreline. Pyongyang never made accusations or statements publicly acknowledging there was a deadly incident, and the US gained no intelligence from it - as the listening device was never planted - and there was apparently never accountability.

The whole episode suggests there may be many more such 'secret failures' involving special forces in recent history. Special operations tend to only be made public, and celebrated, when they are a success; however, such missions which end in futility and innocent civilians dying get covered up, often with mission overseers getting promoted. Pyongyang is certainly paying close attention to the Friday Times report.

https://cms.zerohedge.com/users/tyler-durden

Fri, 09/05/2025 - 20:30

https://www.zerohedge.com/geopolitical/top-secret-seal-team-mission-north-korea-ended-massacre-civilians-zero-intel-gained

Do Doctors Make Money Off Vaccines? A Look At Incentives And Bonus Structures

Do Doctors Make Money Off Vaccines? A Look At Incentives And Bonus Structures

https://www.theepochtimes.com/article/do-doctors-make-money-off-vaccines-a-look-at-incentives-and-bonus-structures-5903236?utm_source=partner&utm_campaign=ZeroHedge

“Doctors are being paid to vaccinate, not to evaluate,” Health Secretary Robert F. Kennedy Jr. https://x.com/SecKennedy/status/1953847258060833059

in a recent video.

“They’re pressured to follow the money, not the science.”

Doctors administer https://www.cdc.gov/vaccines/hcp/imz-schedules/child-adolescent-age.html

to receive multiple shots.

?itok=a4Q1XVaW

Here’s what to know about vaccines and payments.

What Does the Literature Say?

A review of studies confirms that some doctors profit from vaccinating.

In a 2020 https://www.ajog.org/article/S0002-9378(20)30326-4/abstract

, researchers found when analyzing three years’ worth of vaccination claims for five Colorado clinics that reimbursements averaged 125 percent of costs, making administering vaccines “financially favorable across the practices.”

Another https://journals.lww.com/lww-medicalcare/abstract/2019/06000/estimating_the_costs_and_income_of_providing.5.aspx

.

On the other hand, other doctors say the costs of administering certain vaccines to certain people exceed the vaccine payments.

In a survey of 34 pediatricians, for instance, more than half said they do not profit from vaccinating, according to a 2009 https://publications.aap.org/pediatrics/article-abstract/124/Supplement_5/S472/29826/Net-Financial-Gain-or-Loss-From-Vaccination-in

.

A number of practitioners have also https://publications.aap.org/pediatrics/article-abstract/122/6/1319/68804/Primary-Care-Physician-Perspectives-on

they face escalating costs associated with vaccination, such as staffing, leading them to stop or consider stopping providing vaccines to patients with private insurance.

Reimbursement for vaccinating patients varies depending on whether patients have private or public insurance. Under a program called Vaccines for Children, the government also provides vaccines to doctors for free. It does not pay for related costs, but doctors can charge an administration fee that the Centers for Disease Control and Prevention https://cdc.gov/vaccines-for-children/vfc-information-for-parents/index.html

“helps providers offset their costs of doing business,” with the maximum varying by state.

?itok=iF8NWz0L

A nurse prepares to give a COVID-19 vaccine to a boy as his mother comforts him in Denver on Nov. 3, 2021. Michael Ciaglo/Getty Images

What About Those Bonuses?

Doctors can make extra money for vaccinating under incentive programs from insurers, as highlighted by Brian Hooker, a senior scientist with Children’s Health Defense—a group Kennedy chaired through 2023—and other witnesses during a https://rumble.com/v6w6cqw-psi-hearing-voices-of-the-vaccine-injured.html

in July on vaccines held by Sen. Ron Johnson (R-Wis.).

“Some pediatricians can make upwards to a million or more a year just in those incentives,” Hooker said.

Asked for citations, Hooker pointed The Epoch Times to documents he collected from insurance companies that list available bonuses.

Links to those and other documents that outline incentives and are available online are provided below:

Blue Cross Blue Shield Blue Care Network of Michigan: $400 per child who https://www.mclaren.org/Uploads/Public/Documents/MPHO/documents/HealthPlan/2016-BCN-BCBSM-PRP-Booklet-Final-2015_12_18.pdf

a set of 24 or 25 vaccine doses on or before their second birthday.

Aetna Better Health of Louisiana: $10–$25 https://www.aetnabetterhealth.com/content/dam/aetna/medicaid/louisiana/providers/pdf/2021_provider_vaxincentive.pdf

member, depending on level of COVID-19 vaccination coverage practice-wide.

Molina Healthcare of Ohio: $100 https://www.molinahealthcare.com/-/media/Molina/PublicWebsite/PDF/Providers/oh/medicaid/comm/2021-8-COVID-MCP-PB-final-for-web.pdf

for COVID-19 vaccination.

Anthem Blue Cross and Blue Shield Medicaid: $50 per individual aged 6 months and older who https://providers.anthem.com/docs/gpp/KY_CAID_PU_Age5COVID19Vaccine6Months.pdf?v=20220725184

a COVID-19 vaccine by Dec. 31, 2022.

United Healthcare Community Plan of Michigan: Incentives for patients who https://www.uhcprovider.com/content/dam/provider/docs/public/commplan/mi/news/MI-2024-Incentives.pdf

the meningococcal, Tdap (tetanus, diphtheria, and pertussis), and HPV vaccines by their 13th birthday.

Meridian: Up to $120 per child who https://www.documentcloud.org/documents/26055448-meridian-2025/

the 24 or 25 doses by their second birthday, or adolescents who received three certain doses by their 13th birthday, capped at $9,600 for each category.

BlueCross BlueShield of Illinois: $149 for https://www.bcbsil.com/docs/provider/il/standards/manual/bcchp/bcchp-provider-manual.pdf

child, if 63 percent or more meet criteria, who received the 24 or 25 vaccine doses by the time they turn 2.

Central California Alliance for Health: Bonuses for children who https://thealliance.health/wp-content/uploads/cbi-tech-specs_2025_final.pdf

at least 24 doses by the time they turn 2 and the three certain doses before they turn 13.

The sets of vaccines for which providers receive bonuses are recommended by the Centers for Disease Control and Prevention.

Dr. Paul Thomas, who ran a pediatric practice in Oregon, https://ijvtpr.com/index.php/IJVTPR/article/view/21/128

in a 2021 study that he was losing more than $1 million a year by offering parents what he called informed consent, or detailed discussions about the benefits and risks of the recommended vaccines.

Thomas—who https://omb.oregon.gov/Clients/ORMB/OrderDocuments/3f4010d3-92d5-43bb-bd1b-2c16b24260f0.pdf

by courts that found the board is protected by “absolute immunity.”

?itok=3Hh6_mls

People attend an American Academy of Pediatrics (AAP) conference in Anaheim, Calif., on Oct. 8, 2022. AAP, as well as some other groups and doctors, have said physicians are not motivated by money when vaccinating patients. John Fredricks/The Epoch Times

“It would be near impossible for current pediatric practices to survive if not clearly impossible if they were to suddenly lose half or all their vaccine income, not to mention the catastrophic nature of loss of ‘quality’ bonuses,” Thomas said.

Dr. Renata Moon, who sits on the board of directors for the American College of Pediatricians, said that her former employer in 2020 started tracking the vaccination rate for patients. She was unable to determine why and said she would not be surprised if they were receiving compensation.

“It is unethical for physicians to receive bonuses or monetary compensation for pushing the products of pharmaceutical companies. It’s a massive conflict of interest!” Moon told The Epoch Times via email. “Do they have the patient’s best interest at heart or are they focused on their bank accounts?”

What Do Other Doctors Say?

The American Academy of Pediatrics (AAP), as well as some other groups and doctors, have said physicians are not motivated by money when vaccinating patients.

“Pediatricians do not profit off vaccines,” the AAP https://x.com/AmerAcadPeds/status/1945522940839178504

in a July 16 post on X.

The organization declined to make one of its experts available for an interview on the topic. When a spokeswoman was sent studies, including multiple published by the AAP’s journal Pediatrics, that show some pediatricians have made money from vaccinating, she pointed to an AAP webpage that https://www.aap.org/en/news-room/fact-checked/fact-checked-childrens-health-not-financial-incentives-guides-pediatricians-immunization-recommendations/

“pediatricians recommend childhood vaccines because they are one of our most effective tools to help keep children healthy and prevent diseases from spreading in communities.”

It also states, “pediatricians often take on significant costs to provide the vaccinations their patients need, and the minimal payments they receive do not always cover these costs.”

Among the costs, the group said: purchasing vaccines and storing them.

Dr. Todd Porter, a pediatrician employed in Illinois for a multi-specialty physician-led organization, said that he has not paid attention to whether he makes money from vaccinating children.

?itok=2SW7qF2a

Doses of H1N1 influenza vaccine sit in a basket at Rush University Medical Center in Chicago on Oct. 6, 2009. Scott Olson/Getty Images

“I have to surprisingly side with the AAP on this one even though I no longer support the AAP on just about everything else,” Porter told The Epoch Times in an email. “As a pediatrician, my recommendation of routine childhood vaccines has nothing to do any reimbursement my office may receive and again I can honestly say I have no working knowledge of what that reimbursement would be.”

Porter says he has been motivated for the more than 20 years he has worked as a doctor to provide vaccines to minimize vaccine-preventable disease. He has never recommended the COVID-19 vaccines and believes the CDC and AAP did not provide adequate details around the risks and benefits of the shots.

“I have become a bit uncertain about the risk/benefit of each of the vaccines. I still would recommend these historical routine childhood vaccines, but with the growing vaccine hesitancy amongst parents I do not push them,” he wrote. “I also have stopped generally recommending the influenza vaccine until I see more rigorous data to show that it really works.”

Vaccination rates among kindergartners have https://www.theepochtimes.com/us/vaccination-rates-drop-among-kindergartners-as-exemptions-increase-cdc-5894777

they would be refusing some or all vaccines for their children.

Kennedy’s Statements

Kennedy has spoken several times recently about the payments for vaccinations. During an https://www.youtube.com/watch?v=w_fzlwxJZAA

released in June with political commentator Tucker Carlson, he mentioned an article stating half of the revenue for most pediatricians comes from vaccines.

The Department of Health and Human Services did not respond to a request for that alleged article.

“And then there’s a whole structure where Blue Cross and the other insurance companies pay bonuses to the pediatrician ... and that’s why your pediatrician, if you say, ‘I want to go slow on the vaccines,’ or, ‘I want to have a little different schedule,’ your pediatrician will throw you out of his practice because you’re now jeopardizing that bonus structure,” Kennedy said. “And these are all perverse incentives that stop doctors from actually practicing medicine and caring for the client because they’re looking at the bottom line.”

Twenty-one percent of pediatricians https://pmc.ncbi.nlm.nih.gov/articles/PMC6802277/

co-authored by O'Leary found evidence that dismissing families “appears to be increasing as a strategy for dealing with vaccine refusal.”

A form dismissal letter offered to doctors by the AAP https://downloads.aap.org/AAP/PDF/PT_SAMPLE_Practice_Discharge_Letter.pdf

, “It has become clear that our philosophies regarding medical care differ greatly.” The letter directs parents to arrange for medical care for their children elsewhere.

?itok=CIP_HVhX

Health Secretary Robert F. Kennedy Jr. testifies on Capitol Hill in Washington on June 24, 2025. Madalina Kilroy/The Epoch Times

O'Leary and other AAP officials https://publications.aap.org/pediatrics/article/153/3/e2023065483/196695/Strategies-for-Improving-Vaccine-Communication-and

in a 2024 report that there are ethical issues about dismissing families, including whether doctors have a responsibility to care for all patients who come to them, Dismissal, they wrote, “can be an acceptable option ... after repeated attempts to help understand and address parental values and vaccine concerns, engender trust, and strengthen the therapeutic alliance.”

Kennedy https://x.com/SecKennedy/status/1953847258060833059

in the X video on Aug. 8 that “we’re scanning every corner of the health care system for hidden incentives that corrupt medical judgment” and that officials had found “doctors are being paid to vaccinate, not to evaluate.”

He said that officials discovered that more than 36,000 doctors had reimbursements from Medicare altered based on the vaccination rates of children in their practices.

The video was released as Kennedy announced officials were https://www.theepochtimes.com/us/rfk-jr-announces-repeal-of-policy-that-rewarded-hospitals-for-reporting-staff-vaccination-rates-5895720

a previous policy that favored hospitals that reported the vaccination rates of staff members.

“Doctors should be guided by medical judgment and their Hippocratic Oath, not by financial incentives or government mandates,” Kennedy said. “That’s what this policy change is about, and it’s just the beginning.”

?itok=Q1reN2uZ

https://cms.zerohedge.com/users/tyler-durden

Fri, 09/05/2025 - 17:40

https://www.zerohedge.com/medical/do-doctors-make-money-vaccines-look-incentives-and-bonus-structures

Six Flags Faces Bankruptcy Fears After $500M Debt And Park Closures

Six Flags Faces Bankruptcy Fears After $500M Debt And Park Closures

We're not sure what more of a comment about discretionary spending one would need...

Six Flags, less than a year removed from its merger with Cedar Fair, is drowning in debt, closing parks, and facing warnings of bankruptcy, according to https://www.the-sun.com/travel/15093828/six-flags-bankruptcy-amusement-parks-closed/?fbclid=IwdGRzaAMlI69jbGNrAyUjaGV4dG4DYWVtAjExAAEe_fM0M8-5s_PdY5zg6yT6iajhvsfmDz5YSCEUAR98_2LKcvfFNsstIuHTAXQ_aem_EpU8Sq648LGFD4TdKc6jKA

.

The company has racked up $500 million in debt, seen revenue fall by $100 million in Q2, attendance drop 9%, and season pass sales decline 8%. Two parks have already been shut down, with California’s Great America set to close in 2027.

“The whole company needs to be reimagined,” said Dennis Speigel of International Theme Park Services, who warned “bankruptcy is not out of the question.”

Citi analyst James Hardiman agreed, saying “everything should be on the table as we think about asset sales,” though flagship parks like Cedar Point are expected to survive.

The July 2024 merger was billed as a growth engine, with executives projecting 6% attendance gains in 2025. Instead, attendance fell 9%. “It’s about the biggest miss I’ve ever seen in the theme park industry versus expectations,” Hardiman said.

?itok=z1Ono3gl

The Sun https://www.the-sun.com/travel/15093828/six-flags-bankruptcy-amusement-parks-closed/?fbclid=IwdGRzaAMlI69jbGNrAyUjaGV4dG4DYWVtAjExAAEe_fM0M8-5s_PdY5zg6yT6iajhvsfmDz5YSCEUAR98_2LKcvfFNsstIuHTAXQ_aem_EpU8Sq648LGFD4TdKc6jKA

that leadership turmoil has added to the crisis. CEO Richard Zimmerman announced he will step down at year’s end, a move Hardiman called “odd,” especially mid-season. Chairman Selim Bassoul remains in charge.

Six Flags blames poor weather for disrupting nearly 50 operating days, but critics say demand for multi-park passes was overstated. Controversial new fees for haunted houses at Halloween events have further angered passholders.

Stock prices have plunged to $23.84, less than half their pre-merger value. Two law firms are already exploring potential securities-fraud lawsuits.

“If I were running the company, there are 10 to 12 parks I would keep, pay off debt and start over,” said Speigel. “I wouldn’t be surprised if you see the company on the precipice of bankruptcy to get that debt off the books.”

https://cms.zerohedge.com/users/tyler-durden

Fri, 09/05/2025 - 13:25

https://www.zerohedge.com/markets/six-flags-faces-bankruptcy-fears-after-500m-debt-and-park-closures

Crude Prices Tumble On Reports That Saudis Are Pushing To Accelerate OPEC+ Production Boost

Crude Prices Tumble On Reports That Saudis Are Pushing To Accelerate OPEC+ Production Boost

Oil pries are tumbling further this morning following reports that OPEC+ leader Saudi Arabia wants the group to consider reviving more oil production ahead of its scheduled return at the end of next year to reclaim market share.

Bloomberg reports that, according to people familiar with the matter, key alliance members will hold a video conference on Sunday that will consider what to do with a 1.66 million barrels a day tranche of halted supplies, having just fast-tracked the return of a previous layer over the past five months.

“Our latest soundings from the group suggest they are very much considering unwinding that final tranche” of halted supply “sooner rather than later,” Livia Gallarati, global crude lead at Energy Aspects Ltd., said in a Bloomberg television interview.

WTI is trading back with a $62 handle - at three week lows - after the headlines...

?itok=GGphmq8o

Trump will be pleased.

Delegates from the Organization of the Petroleum Exporting Countries have said the Saudis are eager to claw back sales volumes ceded to rivals like US shale drillers. Crown Prince Mohammed bin Salman will visit Washington in November to meet President Donald Trump, who has called for lower fuel prices.

https://cms.zerohedge.com/users/tyler-durden

Fri, 09/05/2025 - 09:03

https://www.zerohedge.com/energy/crude-prices-tumble-reports-saudis-are-pushing-accelerate-opec-production-boost

Top German Judge Says Overzealous ECHR 'Endangers The Existence Of Western Democracies'

Top German Judge Says Overzealous ECHR 'Endangers The Existence Of Western Democracies'

https://rmx.news/article/germanys-former-top-judge-under-merkel-says-overzealous-application-of-human-rights-laws-by-echr-endangers-the-existence-of-western-democracies/

Hans-Jürgen Papier, Germany’s former chief justice and one of the country’s most senior legal scholars, has warned that the European Court of Human Rights (ECHR) is undermining national sovereignty by creating what he called a “de facto right to immigration through the back door.”

?itok=TaPf1nZy

The 82-year-old Ludwig Maximilian University professor, who led Germany’s Federal Constitutional Court at the start of Angela Merkel’s chancellorship, told https://www.thetimes.com/world/europe/article/germany-judge-echr-migration-angela-merkel-k9rzpvh55

newspaper that a growing body of asylum case law from national courts and the ECHR in Strasbourg had created an “ever deeper reaching and ever more closely meshed agglomeration” of rulings. These, he said, were now “settling like mildew over the states’ political power to take action.”

In his view, the result has been a dramatic broadening of the right to asylum, far beyond what was originally intended under the Geneva Convention.

“The citizens expect those with political responsibility to revise the asylum policies to suit the changed circumstances. But that is in danger of failing because of the ossification of a body of law that is getting increasingly rarefied and ultimately looks irreversible to many politicians,” he said.

Papier criticized the way European courts have interpreted Articles 3 and 8 of the ECHR — the rights against inhuman treatment and to family life — to block deportations, including cases where asylum seekers could face homelessness or irregular work in other EU states.

“That simply goes too far,” he argued.

“Here, human dignity is being treated like small change and thereby robbed of its special dignified status.”

The former judge warned that the overzealous application of human rights laws by the ECHR was “generally destroying the European citizen’s trust in the capacity of their democratic institutions to act, and so at the end of the day endangering the existence of Western democracies.”

He called for reforms to the ECHR itself, though he admitted this was unlikely given the need for consensus among all 46 Council of Europe states. Instead, he suggested that the EU or national parliaments draft a “precisely formulated law of migration” that would reduce judges’ scope for interpretation and return asylum rights to the original Geneva standards.

Among his proposals are electronic asylum visas for those with a realistic chance of success, strict annual ceilings on “subsidiary protection” — a weaker asylum status covering people at risk of violence or hardship — and potential third-country solutions for processing applications abroad.

Papier has long been a critic of what he sees as Europe’s open-border approach. In an op-ed for the Bild newspaper in November 2023, he warned that “essentially nothing has changed” since the 2015 migration crisis. He accused Germany of allowing migrants to bypass the Dublin Regulation, which requires asylum seekers to lodge claims in the first EU country they enter, and insisted that Berlin should move “as quickly as possible” to introduce clear and enforceable rules.

“It is not about affecting the right to asylum for people who are actually being persecuted,” he wrote, “it is about protecting this right from being abused for reasons that are clearly unrelated to asylum.”

https://rmx.news/article/germanys-former-top-judge-under-merkel-says-overzealous-application-of-human-rights-laws-by-echr-endangers-the-existence-of-western-democracies/

https://cms.zerohedge.com/users/tyler-durden

Fri, 09/05/2025 - 05:00

https://www.zerohedge.com/geopolitical/top-german-judge-says-overzealous-echr-endangers-existence-western-democracies

EU Flag Ordered Removed From Polish President's Office: Report

EU Flag Ordered Removed From Polish President's Office: Report

https://rmx.news/article/eu-flag-ordered-removed-from-polish-presidents-office-report/

Polish President Karol Nawrocki ordered the European Union flag removed from his office, and now, other officials have followed his example, Polish newspaper Gazeta Wyborcza reported.

?itok=8TOh2r7w

The source cited by Gazeta Wyborcza stated that removing the EU flag from the office was one of the first decisions after Nawrocki moved into the Presidential Palace.

“No order was issued in this regard, but everyone considered it a signal to take down the flags wherever they were,” the source said.

According to the same report, Paweł Szefernaker, head of the President’s Office, also removed the EU flag from his office.

However, Gazeta Wyborcza may be making the issue bigger than it actually is, as the EU flag is still present outside the building, where it is supposed to be most visible.

The head of state’s spokesman, Rafał Leśkiewicz, told Gazeta Wyborcza that the EU flag “is present” in the Presidential Chancellery. He emphasized that three flags were present during Karol Nawrocki’s statements last week: the Polish flag, NATO, and the EU flag.

“The spokesman did not provide any response regarding the removal of the EU flag from the head of state’s office. Photographs from Andrzej Duda’s presidency show that the EU flag was there, standing next to the white-and-red one,” according to Gazeta Wyborcza.

The paper is not known to be friendly to Nawrocki. In a commentary published on the newspaper’s front page on Wednesday, Wojciech Maziarski writes that “the president is having EU flags displayed during some of his speeches, just for show, to mislead public opinion and lull the vigilance of those citizens who are terrified by the prospect of Poland’s strategic isolation.”

“Let’s not underestimate this gesture. It’s not a curiosity about the interior design of government offices, but a political declaration indicating the goals of the man who, by the will of a tiny majority of voters, became the leader of our country. The declaration is all the more important because it was not made public,” the columnist writes.

Notably, the columnist wrote that the democratic winner of the election only won by the “will of a tiny majority of voters.”

https://rmx.news/article/eu-flag-ordered-removed-from-polish-presidents-office-report/

https://cms.zerohedge.com/users/tyler-durden

Fri, 09/05/2025 - 02:00

https://www.zerohedge.com/geopolitical/eu-flag-ordered-removed-polish-presidents-office-report

China Tackles Price Wars As Bloated Solar Sector Amasses Huge Losses

China Tackles Price Wars As Bloated Solar Sector Amasses Huge Losses

By Michael Kern of https://oilprice.com/Latest-Energy-News/World-News/China-Tackles-Price-Wars-as-Bloated-Solar-Sector-Amasses-Huge-Losses.html

,

China has launched in earnest the drive to curb excess capacity in the solar manufacturing sector, which has doomed many companies to price wars and deepening losses.

?itok=KC6SheC7

The combined losses of six of China’s biggest solar panel and cell manufacturers doubled in the first half of 2025, to $2.8 billion (20.2 billion Chinese yuan), from the same period last year, the Financial Times https://www.ft.com/content/debdb94a-822d-4115-b45f-5623d9f9c7a2

, citing data from local financial information provider Wind.

All top Chinese solar equipment producers had already https://oilprice.com/Energy/Energy-General/Chinas-Solar-Firms-Struggle-as-Trade-War-Adds-to-Headwinds.html

for the first quarter of 2025, blaming the continued losses on low product prices and the trade and tariff turbulence under U.S. President Donald Trump.

The Chinese solar wafers, panels, switchers, and other equipment producers have been struggling on the domestic market amid overcapacity that China’s authorities moved to address only in late 2024.

Earlier in 2024, the China Photovoltaic Industry Association said that China urgently https://oilprice.com/Latest-Energy-News/World-News/Chinas-Solar-Industry-Calls-for-Consolidation-to-Cope-With-Overcapacity.html

in the solar manufacturing industry as overcapacity and price wars are leading local companies to a race to the bottom.

This summer, China’s authorities are stepping up efforts to address the overcapacity in China’s clean technology industries, which undermines the profitability of solar equipment manufacturers.

Chinese authorities have realized that cutthroat competition, overcapacity, and low-quality manufacturing are hurting enterprises. Following months of introducing several measures to try to curb excess cleantech manufacturing capacity, China has now https://oilprice.com/Energy/Energy-General/Beijing-Targets-the-Bloat-in-Its-Solar-and-EV-Sectors.html

more serious in addressing the problem.

Chinese authorities and media have intensified in recent weeks the message that the “disorderly price competition” and overcapacity need to be addressed.

In July, executives from 14 leading Chinese solar firms https://www.huasunsolar.com/news/huasun-energy-attends-china-s-ministry-led-talks-to-boost-high-quality-solar-growth.html

by China’s Ministry of Industry and Information Technology (MIIT), where Industry Minister Li Lecheng called on the manufacturers to end price wars, phase out outdated and severely underutilized capacity, and shift toward innovation and value-based competition.

The minister “stressed that the next phase will prioritize product quality, stronger regulations, and sustainable development with ongoing government support,” solar panel manufacturer Huasun said, commenting on the meeting.

https://cms.zerohedge.com/users/tyler-durden

Thu, 09/04/2025 - 19:15

https://www.zerohedge.com/markets/china-tackles-price-wars-bloated-solar-sector-amasses-huge-losses

Trump's Fed Pick Stephen Miran Commits To Central Bank Independence

Trump's Fed Pick Stephen Miran Commits To Central Bank Independence

https://www.theepochtimes.com/us/trumps-fed-pick-stephen-miran-commits-to-central-bank-independence-5910425?utm_source=partner&utm_campaign=ZeroHedge

Stephen Miran, President Donald Trump’s nominee to temporarily serve on the Federal Reserve Board of Governors, committed to preserving the central bank’s independence in testy exchanges with senators.

?itok=QlPnfdeV

Trump announced his nomination of Miran, the current head of the White House’s Council of Economic Advisers, early last month to temporarily fill the seat vacated by Adriana Kugler.

Appearing before the Senate Banking Committee for his confirmation hearing, Miran expressed the necessity for monetary policy independence as lawmakers centered their questions on the Federal Reserve’s autonomy.

“In my view, the most important job of the central bank is to prevent depressions and hyperinflations. Independence of monetary policy is a critical element for its success,” he said in his opening remarks on Sept. 4.

“I will act independently as the Federal Reserve always does,” Miran told senators, adding that he welcomes listening to a diverse array of opinions “to challenge my own views and interrogate them.”

Democratic senators, including Sen. Elizabeth Warren (D-Mass.), were unconvinced, stating that Miran would serve as a proxy for the president and erode Fed independence.

Accentuating her point, Warren asked Miran whether he thought Trump had lost the 2020 presidential election and if he believed the Bureau of Labor Statistics’ July jobs numbers had been manipulated.

Miran replied that President Joe Biden “was certified by Congress” and that the federal agency has struggled with deteriorating data quality.

“Dr. Miran, you have made clear that you will do or say whatever Donald Trump wants you to do or say,” Warren, the top Democrat on the committee, said.

“That may work in a political position, but it takes an axe to Fed independence, and will make life far more expensive for Americans.”

Sen. Andy Kim (D-N.J.) questioned whether administration officials, “formally or informally,” had asked Miran to vote to lower interest rates.

“No,” Miran answered.

Miran is likely to be confirmed as Republicans control the Senate Banking Committee and hold 53 seats in the upper chamber. All Senate GOP lawmakers voted to confirm Miran, who served in the president’s first term, to chair the president’s key economic advisory group.

Still, many of them encouraged Miran to stay committed to doing what he thinks is right rather than following the wishes of politicians.

“There’s nothing wrong with politicians in Washington offering their opinions. You can’t stop them,“ Sen. John Kennedy (R-La.) told Miran.

”But we need a monetary plan that was put together by something other than vodka and darts, and that’s what we have the Federal Reserve for.”

His ascent to the Fed Board could happen before the Federal Open Market Committee (FOMC) meets on Sept. 16 and 17. Investors overwhelmingly anticipate that monetary policymakers will vote to lower interest rates by a quarter point for the first time since December. The institution has been on hold this year to determine the potential effects of Trump’s sweeping global tariff plans.

If confirmed, Miran would serve on the Fed Board only until Jan. 31, 2026. Trump could then renominate Miran to complete a full 14-year term or select another individual for the position.

Miran revealed that he would only be taking an unpaid leave of absence from the White House because his term would only last four months. He noted that he would resign if nominated for a longer term.

This sparked further scrutiny from Sen. Jack Reed (D-R.I.), who called it “ridiculous.”

“You are going to be technically an employee of the president of the United States, but an independent member of the board of the Federal Reserve,” Reed said.

https://cms.zerohedge.com/users/tyler-durden

Thu, 09/04/2025 - 15:20

https://www.zerohedge.com/political/trumps-fed-pick-stephen-miran-commits-central-bank-independence

White House Would Greenlight West Bank Annexation By Israel, Officials Claim

White House Would Greenlight West Bank Annexation By Israel, Officials Claim

Axios' global affairs correspondent Barak Ravid has cited Israeli officials who say that the White House is ready to greenlight a Netanyahu-ordered seizure of West Bank Palestinian territory.

"Rubio has signaled to Israeli officials in private meetings that he does not oppose Israel's West Bank annexations and that the Trump administration will not stand in the way," writes Ravid.

?itok=suo_-eu0

If accurate, or if this scenario comes to fruition it would be a definitive death knell for any future state of Palestine or for a two-state solution, the latter which happens to still be Washington de facto policy, and stretching back historically across several administrations.

Despite occasional protestations from Trump over the ratcheting hunger crisis, or high civilian death toll, the US administration has really done nothing of significant pressure or with teeth to thwart the overwhelmingly destructive Gaza offensive by Israel's military.

The White House has also said nothing, even in terms of caution, concerning to new Netanyahu-ordered offensive which will see ground forces try to take over Gaza City.

President Trump only put the following message out Wednesday on Truth Social: “Tell Hamas to IMMEDIATELY give back all 20 Hostages (Not 2 or 5 or 7!), and things will change rapidly. IT WILL END!”

Essentially he's standing by Netanyahu, who has stated time and again that the war will carry on until it ends with the complete eradication of Hamas, and to ensure it can never return to rule the Strip again.

If there is Israeli annexation of the West Bank, which has long been recognized by the UN and even the US as 'occupied' Palestinian territories, the unraveling of the Abraham Accords would surely follow. The Palestinian Authority (PA) is in charge of the Gaza Strip, and is actually a political rival to Hamas.

The UAE, for example, has already declared that this would be a 'red line' concerning its recently restored relations (in 2020) with Israel.

?itok=JH8gnCA7

But here's how https://www.axios.com/2025/09/03/israel-annex-west-bank-uae-trump-abraham-accords

frames the situation: "Israel is considering annexing large portions of the West Bank later this month in response to the recognition of a Palestinian state by several western countries. President Trump is likely the only foreign player who could stop it."

Indeed this is the case, but he's as yet unwilling to use the key leverage over Israel that the US possesses, and has had for a long, long time: money and weapons. Israel's military is propped up by US military hardware and ordinance, and this relationship is not going away anytime soon - especially not under Trump's watch - who long enjoyed massive contributions from the likes of the Adelson family and AIPAC.

https://cms.zerohedge.com/users/tyler-durden

Thu, 09/04/2025 - 05:45

https://www.zerohedge.com/geopolitical/white-house-would-greenlight-west-bank-annexation-israel-officials-claim

IDF Moves Deeper Into Gaza City, Won't Stop Until 'Hamas Totally Defeated'

IDF Moves Deeper Into Gaza City, Won't Stop Until 'Hamas Totally Defeated'

Israel's military (IDF) on Wednesday plunged deeper into Gaza City, after the day prior IDF Chief of Staff Lt. Gen. Eyal Zamir confirmed that the offensive to conquer the Strip's largest city is underway, as tens of thousands of additional Israeli reservists began to report for duty for the operation.

"We are going to increase and enhance the strikes of our operation, and that is why we called you," Zamir announced from Nachshonim military base in central Israel. "We have already begun the ground operation in Gaza [City]."

?itok=Cd0-yBAW

"We will not stop the war until we defeat this enemy," he emphasized, in line with Prime Minister Netanyahu's priory of inflicting a total military defeat on the Islamist group behind the Oct.7, 2023 terror attack.

Soldiers and tanks were spotted pushing into Sheikh Radwan, one of the urban center's largest and most crowded neighborhoods, on Wednesday - with so far at least 24 Palestinians, some of them children, reported killed across the Gaza Strip.

For nearly two years there have been sprawling tent encampments on the edges of and within Gaza city, housing thousands of displaced, and these have been destroyed in the fresh military assault.

Addressing reservists at Nachshonim base, Zamir continued his his speech, "Hamas will have no place to hide from us. Wherever we locate them, whether they are senior or junior figures – we strike them all, all the time."

He described, "We have already begun the Gaza maneuver. We are already entering places we have never entered before and operating there with courage, strength, valor, and an extraordinary spirit."

?itok=rvywY5Ms

The Gaza City assault is expected to worsen the Strip's already horrific internal refugee crisis and food crisis, after the UN and various monitoring groups have confirmed famine in some sectors. Dozens if not hundreds of civilians have already died of starvation.

Interestingly, amid anti-Netanyahu protests in major cities and even near his personal residence, some Israeli reservists are revolting, intentionally failing to report for duty. Haaretz https://archive.ph/gDABK

that some 350 Israeli reservists signed a statement opposing the takeover of Gaza City and renewed military assault there.

Massive blasts shook Gaza like an earthquake — 4 explosions in just 10 minutes east of Sheikh Radwan.https://t.co/p2yJ4WFc02

— أنس الشريف Anas Al-Sharif (@AnasAlSharif0) https://twitter.com/AnasAlSharif0/status/1963001018335297673?ref_src=twsrc%5Etfw

"The decision to launch a military operation for the complete occupation of Gaza City is blatantly illegal and will put hostages, soldiers and civilians at risk," said Ron Feiner, a reservist and member of the organization Soldiers for the Hostages, as cited in Israeli media. "If we are called up for reserve duty, we will not report."

https://cms.zerohedge.com/users/tyler-durden

Thu, 09/04/2025 - 02:45

https://www.zerohedge.com/geopolitical/idf-moves-deeper-gaza-city-wont-stop-until-hamas-totally-defeated

Pentagon's Bloated, Opaque And Undisciplined Budget Undermines US National Security

Pentagon's Bloated, Opaque And Undisciplined Budget Undermines US National Security

Submitted by https://openthebooks.substack.com/p/letter-to-secretary-hegseth-end-use?utm_source=post-email-title&publication_id=775254&post_id=172582708&utm_campaign=email-post-title&isFreemail=true&r=221vm&triedRedirect=true&utm_medium=email

The Pentagon has an annual budget approaching a trillion dollars ($824.5 billion in 2024). While the United States boasts the strongest military in the world, not every dollar of Pentagon spending goes towards furthering national security, and examples of waste, fraud, and abuse abound. In fact, the agency has https://www.realclearinvestigations.com/articles/2025/03/03/why_cant_the_pentagons_army_of_budget_bean_counters_shoot_straight_1093400.html

) now exceed our annual defense budget.

Defense Secretary Pete Hegseth announced in https://www.newsmax.com/newsfront/hegseth-dod-spending/2025/03/20/id/1203685/

with $5.1 billion in additional contract cuts for “ancillary things like consulting and other nonessential services,” along with more DEI-related work.

As the administration and Congress consider additional defense spending, and as Americans debate the proper use of the military, auditors must carefully review DOD grants and contracts to assure the American people that their tax dollars are being spent wisely.

Our investigators identified 20 problem areas within DOD that deserve further review and point to broader, systemic problems in Pentagon spending, auditing, and policy that are ripe for reform:

1) The “Department of Everything” culture

For decades, administrations from both political parties have diverted DOD from what Secretary of Defense Pete Hegseth defines as its core “lethality mission.” In 2012, U.S. Senator Tom Coburn published a report entitled the “https://tile.loc.gov/storage-services/master/gdc/gdcebookspublic/20/14/50/00/08/2014500008/2014500008.pdf

” that documented how DOD’s mission task list included not only defending the nation but running grocery stores, teaching kindergarten, brewing beer, building windmills and making beef jerky. This culture takes new forms with each administration. For instance, even if the president technically has the constitutional authority to deploy the national guard to support local police departments and immigration enforcement efforts, these activities exist in the outer penumbra of the DOD’s “lethality mission.” The mission of DOD is to deter China, not crime.

2) Overclassification

In 1997, the Moynihan Commission Report on Protecting and Reducing Government Secrecy declared that “secrecy is the ultimate mode of regulation … for the citizen does not even know that he or she is being regulated.” The DOD’s failure to produce auditable books due, in part, to overclassification is a permanent hidden tax increase on American families that is used to subsidize the agency’s largesse and toleration of fraud, which weakens our national security.

DOD reported $2.4 billion in confirmed fraud in fiscal year 2024, which, according to a May 2025 Government Accountability Office https://www.gao.gov/assets/gao-25-107604.pdf

, “reflects only a small fraction of DOD’s potential fraud exposure.” GAO found systemic issues with fraud reporting, including incomplete data that could not be analyzed. GAO recommended the agency implement data analytics activities and share data between military branches to catch more instances of fraudulent payments. The report states that while estimating savings benefits from such reforms is difficult to estimate, “if DOD prevented even one percent of the value of the confirmed fraud DOD previously reported, DOD could save one hundred million dollars or more over ten years.”

3) End-of-year spending sprees

A https://openthebooks.substack.com/p/dod-had-its-most-spendy-month-since

mindset means agencies go on spending sprees in September, at the end of the fiscal year. This is because agency heads worry that spending less than their budget allows will cause Congress to give them less money the following year. In September 2024, DOD spent $79.1 billion on contracts and grants, including $33.1 billion in the last five working days of the fiscal year. September spending included $6.1 million for raw lobster tail, $16.5 million for ribeye steak, $211.7 million on new furniture, $1.2 million on instruments, and $24.4 million on books, pamphlets, and newspapers.

For context, the $79 billion DOD spent in just one month is more than the annual defense of every country on earth except for four – USA, China, Russia and India. The $33 billion we spent in the last five days of the last fiscal year is more than the $28 billion Israel spent on defense for all of 2023.

4) “Wish list” budgeting

The Pentagon is legally required to ask for more money than the president requests, which previous Pentagon Comptrollers have said contributes to waste. The Chief of Staff of each military branch must put together an unfunded priority list, or “wish list,” for items not included in the president's budget. In 2025, the wish list was worth https://www.realclearinvestigations.com/articles/2025/05/13/unbridled_how_massive_pentagon_spending_happens_by_design_1109707.html

.

5) Zero-Star Congressional Spending Generals

The Pentagon budget included athttps://www.realclearinvestigations.com/articles/2025/05/13/unbridled_how_massive_pentagon_spending_happens_by_design_1109707.html

in “Congressional Increases” in 2024. “Congressional Increases” is just another term for earmarks, but in this case congressmembers don’t have to put their name on their requests or certify that there is no conflict of interest. The public report only includes increases of $20 million or less. We conducted a Freedom of Information Act request for the others and were told that no records exist.

6) Questionable travel expenses

Four million https://www.dodig.mil/In-the-Spotlight/Article/4038267/press-release-audit-of-the-dod-government-travel-charge-card-program-the-visa-i/

worth $1.2 billion were not reviewed for waste and fraud because the officials in charge of reviewing the payments didn’t have access to the payment system. Officials also didn’t check “at least 11,000 transactions totaling over $500,000 made at casino ATMs, a mobile applications store, or bars and nightclubs during holidays or some sporting events.”

7) Epidemic overcharges

The Pentagon is overcharged on “https://www.cbsnews.com/news/pentagon-budget-price-gouging-military-contractors-60-minutes-2023-05-21/

overpaid by $992,856 for 12 kinds of spare parts, including soap dispensers marked up by 7,943%.

8) COVID-19 settlements

Hundreds of millions of dollars are https://www.militarytimes.com/news/pentagon-congress/2025/01/20/trump-promises-to-bring-back-troops-booted-for-refusing-covid-vaccine/

reinstatement to be made available to those servicemembers at their former rank, with full back pay, benefits, bonus payments, or other compensation. The exact figure for repayment is not yet known, but it never would have had to have been repaid if soldiers were not compelled to take the vaccine.

9) Misusing COVID funds

That’s not the end of COVID waste in the military. The Pentagon had a https://www.washingtonpost.com/business/2020/09/22/covid-funds-pentagon/

in COVID funds was spent on unrelated items like paint, Wi-Fi, and gym equipment.

10) Golfing around the globe

While COVID money shouldn’t be used on gym equipment, it makes sense for the military to have equipment for soldiers to exercise. More controversial are the 144 golf courses worldwide owned by the DOD. It recently cost https://www.realclearinvestigations.com/articles/2025/05/28/waste_of_the_day_military_owns_100_golf_courses_1111972.html

to renovate just five of them. Although the domestic courses are supposed to be funded with membership fees and other voluntary contributions, the agency has used loopholes in the past to get taxpayer dollars to fund golf course maintenance. The courses abroad have access to federal funding directly.

11) Far-left pedagogy

The Pentagon’s K-12 school system, called the Department of Defense Education Activity (DoDEA), has a budget of $2.3 billion to educate about 67,000 military dependents located near military bases worldwide. In 2022, https://www.openthebooks.com/assets/1/6/DoDEA_Oversight_Report_FINAL.pdf

of a DoDEA teacher conference emerged, where teachers bragged about hiding “gender” transitions from parents and discussed different ways to inject conversations about race and “privilege” into classroom discussions.

While President Trump’s executive orders on Diversity, Equity, and Inclusion and biological reality have forbidden DEI and gender ideology at DoDEA and other agencies, Open the Books https://www.openthebooks.com/assets/1/6/Pentagons_Secret_Push_to_Institutionalize_DEI_in_its_K-12_Public_Schools2.pdf

millions of dollars going to DoDEA contractors trafficking in DEI.

12) No one is minding the “grant” store

While pedagogy is a major problem at DoDEA, so too are cost controls. An Inspector General https://media.defense.gov/2021/Oct/07/2002869777/-1/-1/1/DODIG-2022-001.PDF

from 2021 found systemic issues with how DoDEA monitors its grants, including a finding that DoDEA did not monitor whether or not most (100 out of 139) grantees met interim goals. As a result, the report estimates DoDEA wasted up to $49.9 million from FY 2016-2020 on grantees that did not meet grant terms.

13) Collaboration with China

Hundreds of millions of taxpayer dollars have “contributed to China’s technological advancements and military modernization,” according to an audit from the House Select Committee on the Chinese Communist Party. One professor who received at least $7.8 million from the U.S. to research metallic hydrogen later accepted a job at the Chinese Academy of Science. He presented his research to the Chinese Academy of Engineering Physics, which designs nuclear warheads for the Chinese government. Overall, https://www.realclearinvestigations.com/articles/2024/11/05/waste_of_the_day_pentagon_research_boosts_china_1069869.html

research projects co-authored with people affiliated with the Chinese government have been identified.

14) Forgotten IOUs

The DOD provides logistics support, supplies, and services to various international partners on a reimbursable basis. A recent DOD Inspector General https://media.defense.gov/2025/May/22/2003720616/-1/-1/1/DODIG-2025-097_FINAL_508.PDF

outlines how, over the past ten years, the agency provided $268.1 million in services and supplies without the necessary assurance that it would be reimbursed. The report notes that costs to international partners are not always appropriately tracked or billed.

15) Missing or abandoned equipment

The United States left over https://www.cbsnews.com/news/us-military-weapons-left-in-afghanistan-taliban/

show another $1 billion worth of weapons are not being properly tracked in Ukraine.

The audit found that $1 billion of the $1.7 billion – or 59% -- of weapons provided to Ukraine as of June 2023 are “delinquent,” meaning they can’t be accounted for in inventory reports. These weapons are supposed to be tracked under a new “enhanced end-use monitoring” system. Maybe the weapons are being used properly; maybe they have been stolen. No one can be completely sure.

16) Uncontrolled contract spending

Not only does DOD have problems tracking weapons, but yet another https://media.defense.gov/2025/Mar/07/2003662682/-1/-1/1/DODIG-2025-059_SECUR.PDF

indicates Army contracting personnel did not manage $4.2 billion worth of cost-reimbursable contracts reviewed by the Inspector General’s office in accordance with DOD policies. These contracts are particularly ripe for abuse because contract terms, specifications, and prices are not agreed upon before the contractor undertakes the work; rather they are just reimbursed later. Eighteen of 24 contracts reviewed by the Inspector General continued to be reimbursed after the deadline for a proposal to definitize the costs had passed.

17) Mounting repair bills

A GAO report from March 2025 found the DOD had https://www.realclearinvestigations.com/articles/2025/03/19/waste_of_the_day_federal_buildings_need_370_billion_of_repairs_1097925.html

that include working with the General Services Agency in order to dispose of underutilized spaces to discharge deferred maintenance costs.

18) Lost business for American companies?

The United States government purchases an average of $5.2 billion of military supplies from foreign countries each year, but the Pentagon and Department of Commerce “haven't fully determined whether the agreements help or hurt U.S. industry,” according to a new report from the https://www.gao.gov/products/gao-25-106936

DOD has Reciprocal Defense Procurement Agreements with 28 countries. The agreements supersede the Buy American Act, which requires federal agencies to buy most supplies from U.S. manufacturers. Since 2018, the DOD “has skipped important due diligence steps for entering into and renewing” its 28 agreements, according to the GAO. Without this due diligence, it is unclear if American industry could have benefitted more from these contracts instead.

19) AI funds without a purpose

As of last year, the https://www.realclearinvestigations.com/articles/2024/03/06/waste_of_the_day_pentagon_has_no_clear_plan_for_18_billion_ai_budget_1015322.html

how it would use artificial intelligence in its daily operations, despite receiving $1.8 billion for that purpose in the FY 2024 budget.

According to https://www.gao.gov/products/gao-24-105645

from the U.S. Government Accountability Office, the DOD ”couldn’t fully identify” exactly how it planned to use AI at the time of the report or into the future. There was no way for the DOD to know which human positions can or will be replaced with AI or to estimate how much additional funding would needed. This confusion raises questions for how funds allocated to DOD AI spending will be used going forward.

20) F-35 fighter jets

The military is projected to pay over https://www.gao.gov/blog/f-35-will-now-exceed-2-trillion-military-plans-fly-it-less

– not 90% as intended.

CONCLUSION

These examples go well beyond individual instance of wasteful spending decisions: They demonstrate systemic bloat at the Pentagon that requires significant improvements to processes and performance. As we continue debating ways in which we may further extend our military might, and expand the role of the military, it’s critical the Pentagon finally takes necessary steps to get current costs under control.

https://cms.zerohedge.com/users/tyler-durden

Wed, 09/03/2025 - 17:40

https://www.zerohedge.com/political/pentagons-bloated-opaque-and-undisciplined-budget-undermines-us-national-security

'Unstoppable': Xi Unveils Nuclear Triad In Military Parade Challenging West, Alongside Putin & Kim

'Unstoppable': Xi Unveils Nuclear Triad In Military Parade Challenging West, Alongside Putin & Kim

Chinese leader Xi Jinping's massive military parade in Tiananmen Square marking the end of World War II, and attended by world leaders, mostly notably so-called 'pariahs' Russian President Vladimir Putin and North Korea's Kim Jong Un, hasn't disappointed - and even elicited a quick response from President Trump.

Chinese leader Xi Jinping declared that China's rise is "unstoppable" and showcased over 10,000 troops marching in perfect synchronicity - and a notable lack of 'diversity' so elevated in the West - along with hundreds of advanced weapons. Most notably, Xi also for the first time showcased the PLA military's land, sea, and air-based nuclear force - a complete and deadly triad.

I must say, the Chinese parade really lacks diversity! https://t.co/lO47to5i7L

— The_Real_Fly (@The_Real_Fly) https://twitter.com/The_Real_Fly/status/1963072906390601977?ref_src=twsrc%5Etfw

The whole thing was also an opportunity to prove to the world that the process of modernizing the world's largest standing army is well underway and that there are growing ties - or a "special relationship" even - between China and other major nuclear armed powers Russia and North Korea.

Xi's opening speech featured the words, "Humanity is again faced with a choice of peace or war, dialogue or confrontation, and win-win outcomes or zero-sum games."

?itok=OZwMPpB9

As for the complete nuclear triad, this included the JingLei-1 air-launched long-range missile, the JuLang-3 submarine-launched intercontinental missile, the DongFeng-61 land-based ICBM, and a new variant of the DongFeng-31 land-based ICBM, according to Xinhua News.

Some fresh Bloomberg analysis has described:

China has doubled down on its growing arsenal of nuclear weapons. China revealed several nuclear capabilities, including next generation intercontinental ballistic missiles like the DF-5C, DF-61, and JL-3. Notably, the JL-3 is submarine launched. This means that China has all three legs of a nuclear triad — air, ground, and sea-launched nuclear missiles – and more credible second-strike capability. The submarine-launched JL-3 is capable of reaching the continental US, meaning Beijing could hold targets there at risk in a potential conflict.

⚡️BREAKING

China unveils its full Nuclear Capability for the first time

Some missiles have a range of 15000 km https://t.co/izKfMTuOdP

— Iran Observer (@IranObserver0) https://twitter.com/IranObserver0/status/1963133966967275763?ref_src=twsrc%5Etfw

Below: China’s DF-5 strategic intercontinental nuclear missile, which has a strike range capable of covering the entire planet.

🇨🇳📹 SPOTTED: China’s DF-5 strategic intercontinental nuclear missile, which has a strike range capable of covering the entire planet. https://t.co/4UsKupiPB9

— Sputnik (@SputnikInt) https://twitter.com/SputnikInt/status/1963066920678183242?ref_src=twsrc%5Etfw

State media described these weapons as China’s strategic "ace" - highlighting their importance in defending the country’s sovereignty, security, and national pride - and key to its deterrence strategy.

Air-defense laser systems were showcased during the parade, including a large laser that, according to state-run television, is intended for deployment on naval warships. A ground-based version of was also displayed.

?itok=LWyXDdoA

Additionally, two oversized undersea drones made their first appearance, with images revealing their massive scale compared to nearby soldiers.

?itok=AAvVFbk4

Massive sea drones.

?itok=bUnzu-Ro

Trump couldn't resist weighing in on the provocative images...

The president wrote ironically, "Please give my warmest regards to Vladimir Putin, and Kim Jong Un, as you conspire against the United States of America."

?itok=HMO5Yq9C

Trump also underscored America's WW2 defeat of Japan, which ultimately secured lasting peace for China. No, Xi did not give a shoutout to the United States for this, but instead Xi stood proudly with his US-sanctioned allies...

What a line up! Xi has made a come back that no one could have predicted 5 years ago.https://t.co/yJynTn5yYb

— Smita Prakash (@smitaprakash) https://twitter.com/smitaprakash/status/1963056963165774249?ref_src=twsrc%5Etfw

Kim's arrival showed he brought two family members with him to Beijing - his sister, Kim Yo Jong, among one of his closest advisors, and a young girl believed to be his daughter, Kim Ju Ae, whose presence has raised the question over a possible future successor.

?itok=cpIBVwfE

Wednesday's events presented the unprecedented spectacle of three leaders Western mainstream press has dubbed the "axis of upheaval" overlooking these nuclear toys as they drive past...

The DF-5C ICBM comes in 3 parts on 3 vehicles, carries up to 12 nuclear warheads, and has a range of 13,000–20,000 km, enough to reach any global target.

?itok=ikPBKLIX

Concerning Trump and US-China relations, the timing of all of this is very significant, given the White House recently indicated that President Trump might be in the region by late October and is open to meeting with Xi.

Among major issues remains the hoped-for long-anticipated deal on tariffs, the potential sale of TikTok in the US, as well as the question of Beijing's influence Putin related to the future of the Ukraine war, especially the question of a ceasefire or broader resolution in Ukraine.

An unexpected conversation among the three...

Quite a hot mic moment on CCTV in Beijing today as Putin and Xi, both 72 years old, are caught casually talking about living to 150 and maybe forever thanks to organ transplants. (As picked up by Bloomberg.) https://t.co/kC4VTRaobq

— Yaroslav Trofimov (@yarotrof) https://twitter.com/yarotrof/status/1963220282916954376?ref_src=twsrc%5Etfw

"Peace through strength" appears to be Xi's message in this parade, to use what's actually a longtime phrase used by American leaders.

China's hypersonic anti-ship missiles, including YingJi-19, YingJi-17 and YingJi-20, passed through Tian'anmen Square in Wednesday's V-Day parade. The formation also included YingJi-15 missile. https://t.co/oyZKJQD47t

— China Xinhua News (@XHNews) https://twitter.com/XHNews/status/1963071372961456343?ref_src=twsrc%5Etfw

As for Kim, he's obviously gone much deeper in Russia's corner in Ukraine, even having sent over 10,000 North Korean troops as par of the war effort - an estimated 2,000 of which have come back home in coffins - signifying a deepening Moscow-Pyongyang alliance which Xi has not joined on such a level, and likely wants no part of.

https://cms.zerohedge.com/users/tyler-durden

Wed, 09/03/2025 - 09:45

https://www.zerohedge.com/geopolitical/unstoppable-xi-unveils-nuclear-triad-military-parade-challenging-west-alongside-putin

EU Accelerating Toward Collapse: Merz, Draghi, And Lagarde Reveal Europe's Crisis Path

EU Accelerating Toward Collapse: Merz, Draghi, And Lagarde Reveal Europe's Crisis Path

Submitted by Thomas Kolbe

The Chancellor seems to have collided with reality during the summer break. Merz sees the German social system in deep crisis. Meanwhile, his political allies in Brussels are calling for an increase in the very dose of poison that is making Europe sick.

Let’s be blunt: Large parts of the political elite have a fractured relationship with reality. This applies equally to the economic decay of Germany and the EU, as well as to the public communication of strategic political goals, which are systematically obscured. Open criticism of the course could cause the political fairy tale to collapse faster than reality seeps into public opinion.

Merz and the Welfare State

All the more remarkable are the warning words of Chancellor Friedrich Merz during his Saturday appearance at the CDU state party conference in Lower Saxony. “I am not satisfied with what we have achieved so far – it must be more, it must be better.”

Hear that! A faint tremor of self-criticism from the Chancellor. Rare, indeed. Yet the statement raises the question: what exactly does Merz mean by “achievements”? Is he referring to the so-called investment booster, supposedly providing marginal relief to the German economy while it teeters on collapse? Or does he mean the massive debt packages and widening financing gaps, most likely to be closed with tax hikes?

In his https://www.faz.net/aktuell/politik/bundestagswahl/liveblog-bundespolitik-merz-ueber-sozialreformen-das-muss-noch-besser-werden-110093143.html?utm_source=chatgpt.com

in Osnabrück, Merz later spoke unusually clearly about the state of the welfare system: “The welfare state, as we have it today, is no longer financially sustainable given what we can deliver economically.” A blunt diagnosis, leaving little to be desired in clarity.

There was, however, no mention of a market-oriented turn, trust in individual solutions, personal responsibility, or rapid bureaucratic reduction. The message seems to be: stay the course.

Moments of Honesty

Merz also spoke unequivocally about citizen welfare payments: it cannot continue like this. 5.6 million people receive the payments. Many could work but do not, he said. A reality that politics usually avoids.

A tentative attempt to openly name the precarious state of German social insurance. In times when political sugar-coating is routine, it’s almost a stroke of luck when a leading politician at least partially acknowledges economic realities.

Have the latest economic data perhaps shaken Merz and his colleagues in Berlin? GDP shrank again in the second quarter, and the outlook remains bleak. With the state intervening via massive credit programs and new debt hitting about 3.5% this year, the private economy is contracting at 4–5%. Calling this a recession would be euphemistic — we are in a depression.

More EU Centralism

While the Chancellor stumbled through Germany’s harsh economic reality, EU representatives launched media trial balloons.

It was https://www.politico.eu/article/mario-draghi-eu-donald-trump-geopolitics-central-bank-power-influence/?utm_source=chatgpt.com

, the EU’s political all-rounder, who easily alternates between former Italian PM and ECB chief, presenting yet another report.

https://www.eunews.it/en/2025/02/18/draghi-eu-has-the-strength-to-respond-to-crises-but-states-and-commission-must-stand-united/?utm_source=chatgpt.com

his familiar demand: the European Union must act more cohesively, like a single state, if it wants to retain a geopolitical role.

More of the medicine that made Europe sick: more centralization, less subsidiarity, and intensified technocratic rule. Draghi once again demonstrates Brussels’ plan — as during the sovereign debt crisis 15 years ago: power concentrated in Brussels, decisions outside democratic control, enforced by a political apparatus orchestrating media narratives. Strict censorship, media manipulation — dirty tools to silence opposition to centralization. The same authoritarian logic that worked then is being revived.

Lagarde and Migration

Draghi’s ally, ECB President Christine Lagarde, also hit the media circuit. She touched on migration, a topic skillfully avoided or distorted in German politics and media.

https://www.reuters.com/business/finance/foreign-workers-have-boosted-euro-zone-economy-ecbs-lagarde-says-2025-08-23/?utm_source=chatgpt.com

at the Federal Reserve meeting in Jackson Hole, subtly testing Europe’s mood. According to her, Europe could no longer grow without massive migration (of which growth exactly?). She claimed Germany’s GDP would be roughly six percent lower today than in 2019 without foreign workers.

That the country has been in a depression for some time seems not to have reached the ECB leadership. Then came the familiar trump card: without migration, the labor shortage cannot be addressed. No mention of technological advances via AI or robotics, which could offset labor shortages. No mention of migration as a security risk, of cultural conflicts, or a political Islam incompatible with European values.

Lagarde’s stance was particularly striking as the U.S. begins repatriating illegal migrants, ending the Europeanization of American policy. Her speech in the land of rational awakening and political turnaround likely caused nothing but raised eyebrows.

Jackson Hole highlighted the EU’s trajectory: open borders, elites ignoring risks, while the left expands its voter base at Europe’s cultural and economic expense.

Bitter Balance

Combine the three events — Merz’s speech, Lagarde in Jackson Hole, and Draghi’s latest report — and the conclusion is alarming: the economy is accelerating toward collapse due to a self-inflicted energy crisis and overregulation. Social funds, strained by mass illegal migration, risk implosion. The proposed solution? Centralization, regulation, and continued unchecked migration.

Even Finance Minister Lars Klingbeil’s usual tax hike debates fit seamlessly: the individual counts for nothing, the state controls everything, increasingly burdening citizens. The audacity to attack private property and raise taxes further is staggering, meeting little resistance. The Merz CDU has become a paper-thin bourgeois protective wall of hot air.

https://cms.zerohedge.com/users/tyler-durden

Wed, 09/03/2025 - 02:00

https://www.zerohedge.com/markets/eu-accelerating-toward-collapse-merz-draghi-and-lagarde-reveal-europes-crisis-path

Netanyahu Mulls Annexation In West Bank As Retribution For Europe's Growing Anti-Israel Stance

Netanyahu Mulls Annexation In West Bank As Retribution For Europe's Growing Anti-Israel Stance

Belgium this week became the latest European country to announce it will recognize a state of Palestine at the upcoming UN General Assembly meeting in New York later this month. Norway, Ireland and Spain have recently done so, while France, Britain, and also Canada have lately declared their intent to formally do so at the summit.

Prime Minister Benjamin Netanyahu is apparently mulling major 'payback' on an international stage, as several Israeli media reports say he will gather top ministers for a discussion on the implications of international recognition of a Palestinian state on Thursday. He is reportedly mulling extending Israeli sovereignty over at least some of the West Bank.

?itok=liDK_8tH

Times of Israel is among those outlets framing this as retribution for the growing movement to recognize Palestine. "The small forum will also examine a range of possible responses to the expected wave of Western recognition at the UN later this month, including applying sovereignty over parts of the West Bank," the Tuesday https://www.timesofisrael.com/liveblog-september-02-2025/

says.

"Netanyahu will be joined by Defense Minister Israel Katz, Foreign Minister Gideon Sa’ar, Justice Minister Yariv Levin, National Security Minister Itamar Ben Gvir, and Finance Minister Bezalel Smotrich," adds the report.

And Jerusalem Post separately https://www.jpost.com/israel-news/article-866051

that "Several Israeli officials previously reported that Israel is considering annexation in the West Bank as a possible response to France and other countries recognizing a Palestinian state."

This could include recognition over all places where there are currently Jewish settlements, or areas like the Jordan Valley - which has long been sought by Israeli hardline nationalists.

Given past policies of the Trump administration, there's a likelihood that the White House would go along with this - despite that it would contradict long-standing Washington policy. Probably President Trump would feign reluctance or anguish over such a move, but would in reality be accepting of it.

The US surely knows this is an 'option' being intensely considered by the Netanyahu government.

Local reports have hinted at this too: "Walla reported on Sunday that Foreign Minister Gideon Sa'ar and US Secretary of State Marco Rubio discussed the topic of West Bank sovereignty during his visit to Washington last week," JPost writes.

BREAKING: 🚨 Trump sends WARNING to Israel, you may in fact be "WINNING THE WAR, but losing the world."

— E X X ➠A L E R T S (@ExxAlerts) https://twitter.com/ExxAlerts/status/1962898835551707612?ref_src=twsrc%5Etfw

As for the international move to recognize a state of Palestine - this is purely symbolic and in reality completely unenforceable on the ground, no matter which Western government backs it. Even some Progressive commentators have pointed out it does nothing to improve the plight of Palestinians, and that other specific pressing issues must be dealt with first.

Already, Israeli authorities, through a system of roadblocks, checkpoints, and land seizures - have effectively chopped up the West Bank and made it almost impossible to function as a unified entity, even economically. This issue would have to be addressed and reversed first on a practical level. While Western nations are offering symbolic 'recognition' - an Israeli move to annex the West Bank would not be symbolic, but it would be brutal, real, and probably swift.

https://cms.zerohedge.com/users/tyler-durden

Tue, 09/02/2025 - 20:00

https://www.zerohedge.com/geopolitical/netanyahu-mulls-annexation-west-bank-retribution-europes-growing-anti-israel-stance

"Plaintiffs Over-Reached": Alphabet Shares Soar After Judge Rules In Antitrust Case

"Plaintiffs Over-Reached": Alphabet Shares Soar After Judge Rules In Antitrust Case

Alphabet, the parent of Google, shares are soaring after hours following a favorable ruling from the federal judge in its anti-trust case.

As a reminder, following a 10-week non-jury trial in 2023, US District Judge Amit Mehta ruled last year that Google violated US antitrust law by maintaining a monopoly with its online search business.

"Google is a monopolist, and it has acted as one to maintain its monopoly," Mehta wrote in the ruling at the time.

Today we find out the remedies, and they are definitely in Alphabet's favor.

US District Judge Amit Mehta, in a 230-page ruling on Friday, barred Google from having exclusive contracts for its Google Search, Chrome, Google Assistant, and the Gemini app products as part of his remedy to the more than $2 trillion company's monopoly in search.

?itok=PUZI0X1-

But the ruling fell far short of some of the most contentious demands from the US government.

Mehta said Google would not have to divest from Chrome or Android.

"Plaintiffs overreached in seeking forced divesture of these key assets, which Google did not use to effect any illegal restraints," Mehta wrote in the Tuesday ruling.

Additionally, Mehta ruled that Google must hand over its search results and some of its data to rival companies

In another win for Google, the judge didn’t bar the company from making payments to third parties for default browser placement.

“Cutting off payments from Google almost certainly will impose substantial — in some cases, crippling — downstream harms to distribution partners, related markets, and consumers, which counsels against a broad payment ban,” the judge wrote.

Alphabet shares jumped more than 6% in after-hours trading.

?itok=15OCzKt1

https://www.businessinsider.com/google-search-antitrust-monopoly-doj-ruling-decision-chrome-2025-8

that in an opening statement during the remedies hearing, a Justice Department lawyer said the court must prevent Google from using its search monopoly to dominate the AI market.

"Unless Google's vast payments are eliminated, Google will likely win each search distribution opportunity, given the tremendous advantages it has accrued from over 10 years of monopoly maintenance," DOJ lawyers wrote in a post-trial May court filing.

Google has vowed to appeal Mehta's original ruling deeming the tech giant a monopolist - and it could be years before there's a final outcome.

Meanwhile, Google still has more antitrust headaches ahead.

A Virginia federal judge ruled in April that the company holds an illegal monopoly in certain online advertising technology markets. A remedies hearing in that case is set to begin in September.

https://cms.zerohedge.com/users/tyler-durden

Tue, 09/02/2025 - 16:39

https://www.zerohedge.com/technology/plaintiffs-over-reached-alphabet-shares-soar-after-judge-rules-antitrust-case

Europe Advancing 'Precise' Plans For Troops In Ukraine, Backstopped By US

Europe Advancing 'Precise' Plans For Troops In Ukraine, Backstopped By US

European Commission President Ursula von der Leyen told the Financial Times that European nations are developing detailed plans to potentially send troops to Ukraine as part of a future peace agreement, despite it being obvious to all the world that Moscow would never agree to this as a basis of peace or ceasefire.

Hawkish European leaders continue to claim they have support from President Donald Trump for pursuing such a plan, which would see a joint multinational force of troops from various European armies, backed by a US security guarantee. "President Trump made it very clear that the US would be part of the security backstop," von der Leyen https://www.ft.com/content/8ade14ca-7aa1-4413-887b-59712037665c

.

"Security guarantees are paramount and absolutely crucial," she described of the European consensus. "We have a clear road map and we had an agreement in the White House... and this work is going forward very well."

?itok=lbdjL3Wj

She had also said that "President Trump reassured us that there will be [an] American presence as part of the backstop. That was very clear and repeatedly affirmed."

Indeed Trump had declared immediately after hosting European leaders at the White House last month, "We’re willing to help, especially from the air - because no one has what we have."

However, there still appears to be some distance between Washington and European expectations, with one senior official recently https://news.antiwar.com/2025/08/31/von-der-leyen-says-europe-is-drawing-up-precise-plans-for-us-backed-troop-deployment-to-ukraine/

to Axios, "Europe can’t drag out this war with unreasonable expectations and expect the US. to foot the bill. If Europe chooses to escalate, that’s their decision - but they risk turning a potential win into a loss."

Von der Leyen admitted there's a long road ahead in terms of organizing a joint commitment for a multinational 'peacekeeping' force for Ukraine.

"Of course, it always needs the political decision of the respective country, because deploying troops is one of the most important sovereign decisions of a nation," she said, adding that "the sense of urgency is very high . . . it’s moving forward. It’s really taking shape."

Her words were issued during a tour of European countries which lie close to Russia, which the Kremlin is sure to see as provocative in its own right - given for example she was at a military base in Estonia, and at one point was along the Poland-Belarus border, and in Bulgaria, and toured arms depots and factories in 'NATO's eastern flank'.

📍Sopot, Bulgaria, VMZ ammunition factory.

Shells are produced here in large quantities.

Not only for Europe’s stockpile but also for Ukraine’s defence.

1/3 of the weapons delivered to Ukraine at the start of the war came from Bulgaria.

Thank you for your support to Ukraine’s… https://t.co/Fj9JbcpbPv

— Ursula von der Leyen (@vonderleyen) https://twitter.com/vonderleyen/status/1962182809377726689?ref_src=twsrc%5Etfw

She called for greater EU investment in drones and missile defense, as well as cyber warfare, and even space tech. "The role of the commission is paramount in enabling the member states to finance a surge in defense." She added: "The character of warfare has completely changed,” she added, citing the need for EU militaries to invest in drones, air and missile defense, space and cyber capabilities."

But Germany didn't get the memo, with its defense minister Boris Pistorius https://news.sky.com/story/ukraine-war-trump-zelenskyy-putin-china-summit-drones-latest-live-updates-12541713

on Monday, "Those are things that you don't discuss before you sit down at the negotiating table with many parties that have a say in the matter."

"I would know better than to comment or confirm such considerations in any way, apart from the fact that the European Union has no mandate or competency whatsoever when it comes to positioning troops," Pistorius followed with.

https://cms.zerohedge.com/users/tyler-durden

Mon, 09/01/2025 - 22:35

https://www.zerohedge.com/geopolitical/europe-advancing-precise-plans-troops-ukraine-backstopped-us

The Harsh Truth About Life In Canada Today

The Harsh Truth About Life In Canada Today

https://internationalman.com/articles/the-harsh-truth-about-life-in-canada-today/

Canada is often portrayed as a land of freedom, opportunity, and prosperity. Reality, however, tells a different story...

?itok=OWSum0ta

Statist policies, crushing taxes, bloated bureaucracy, and a society overtaken by woke ideology have shattered Canada. This is a cautionary tale for those looking at Canada as an ideal living space. If you are asking yourself what living in Canada is like, let me explain: Canada is not a land of fulfilled dreams but of enduring harsh conditions and barely getting by.

As if economic hardships aren’t enough, Canadians are also oppressed by the Orwellian newspeak that woke culture is creating. If you speak your mind, you’re labeled a fascist. If you question social policies, you’re accused of microaggressions.

There are no best places to live in Canada anymore. As a Canadian, I see little chance of Canada becoming livable again. Since I founded https://expatmoney.com/international-man

in 2017, I have been helping expats build their Plan-Bs to protect their wealth and freedom and leave countries like this one.

Let’s look at the unfortunate condition that Canada has fallen into.

The Restrictions Imposed During Covid

The strict quarantine measures and harsh government interventions implemented in Canada during the COVID-19 hysteria were shameful. The government expanded police and administrative powers to smash public backlash against its COVID policies.

A significant protest movement called The Freedom Convoy began in early 2022. Truckers and citizens held large demonstrations in Ottawa against vaccination mandates, harsh pandemic restrictions, and the government’s authoritarian tendencies.

Former Prime Minister Trudeau used extraordinary powers to freeze the bank accounts of protesters and crack down on activists. Individual and property rights were arbitrarily violated.

The Canadian government imposed mandatory vaccinations on federal employees, healthcare workers, and those in the transportation sector, turning personal health decisions into state mandates. Those who were not vaccinated were suspended from their jobs, their travel rights were restricted, and they were ostracized from society. Even the private sector was coerced to impose vaccinations under government pressure.

Moreover, harsh lockdowns and restricted entry into the country forced businesses into bankruptcy. Massive numbers of people lost their jobs, and the government’s financial structure was severely damaged.

Woke Culture And The End Of Free Speech

The problems aren’t limited to elections. In recent years, woke ideology has overtaken Canada’s politics, education system, and workplace. This “progressive” ideology has replaced individual freedoms and meritocracy with the so-called principle of inclusivity and equity. As a result, freedom of speech has been destroyed, social engineering has increased, and social polarization has deepened.

In Canada, laws enacted under the guise of “combatting hate speech” have imposed mandatory language use by the government, determining how individuals should speak.

Now, we have another Bill C-11 to update the Broadcasting Act. The government’s media watchdog, the CRTC, will now be able to monitor online platforms such as YouTube, TikTok, and Spotify. Bill C-11 is a censorship tool to kill free speech in Canada. The government may have sugar-coated the law by saying, “We support Canadian content,” but at its core, it’s an attempt to take control of the internet. The government deciding what content is “sufficiently Canadian” will soon become a matter of deciding what content is appropriate, approved, and safe.

What about Bill C-18? This is another example of an intervention that legislates internet censorship under the pretext of “protecting the independent press.” Bill C-18 requires internet platforms (especially companies like Google and Meta) to pay media outlets for news content. The government is turning content sharing into an economic penalty to extract money from big tech companies.

Because of this law, platforms like Google and Meta have decided to remove news content completely. In other words, the government’s move to “access information” has actually restricted access to information.

Similarly, due to cancel culture, academics, business people, and members of the media are censored, fired, and subject to social lynching when they voice different views. Diversity, equity, and inclusion (DEI) policies, especially in business and academic institutions, cause decisions to be made based on identity rather than merit. Canadian universities have been degraded from institutions that encourage intellectual freedom into ideological centres where a singular type of thinking is imposed. Companies must prioritize political correctness over efficiency and productivity in business life. Canada has shifted from a society based on individual freedom and voluntary cooperation to a system governed by the ideological impositions of the government.

Assisted Suicide And Moral Decline

Indicators of Canada’s political and economic collapse can also be traced to the individual level. The rapid increase in Medical Assistance in Dying (MAiD) applications in Canada has led to deep debate on personal freedoms, ethical values, ​​and the role of the state in the country.

Canada has the fastest-growing assisted suicide program in the world. When MAiD was legalized in 2016, it only included individuals with terminal illnesses. However, over time, the criteria were relaxed and expanded to include psychological disorders or illnesses that do not have a natural death period. In 2021, approximately 10,000 people ended their lives under MAiD. This number constitutes 3.3% of all deaths. Even people who were experiencing financial difficulties or housing problems resorted to euthanasia, causing heated arguments in the public domain.

In the face of all the challenges, assuming Canada has a functioning social welfare state would be unwise. Canada’s health system is seriously unreliable because of long waiting times, overburdened hospitals, and staff shortages.

Before moving to Canada, be mindful that you can wait months to years for doctor’s appointments and surgeries. The shortage of doctors and nurses severely disrupts health services. Excessive bureaucracy and limited private health services make the health system even more inefficient.

Federal Government Overreach

The federal government’s drama is not Canada’s only political issue. The political conflict between the federal and provincial governments is becoming a serious problem.

There are several main disagreements between the federal and provincial governments:

First, the federal government’s carbon tax has drawn fierce criticism from energy-independent provinces such as Alberta, Saskatchewan, and Ontario.

Second, the federal government demands that the provinces spend more on healthcare financing, while the provinces say they are underfunded and subject to excessive federal intervention.

Third, immigration has exacerbated the housing crisis and the burden on public services in large provinces such as Ontario, Quebec, and British Columbia. The provinces demand more funding, saying they shoulder much of the cost burden, but funding is unavailable.

Fourth, the federal government’s policies restricting fossil fuel use continue to economically harm provinces such as Alberta and Saskatchewan, which depend on oil and gas.

It’s no surprise that many people in Alberta and the Prairie provinces responded positively to Trump’s annexation proposal. It reflects a deep and long-standing frustration with federal control over energy policy. At the same time, a grassroots “Make Alberta Great Again” movement is gaining real traction. Pro-separation initiatives are picking up momentum, with growing calls for a referendum on Alberta’s independence.

Even Bill 54, passed in May 2025, lowered the threshold required to trigger a referendum on the province’s sovereignty. Now it’s easier for separatist groups to push for a vote.

I was in Alberta last year and met with several people involved in the movement in person. We spoke at length about the political landscape, their frustrations, and their hopes for Alberta’s future. Many of them told me that, while they believe strongly in the cause, they also know how easily their involvement could make them political targets. That’s why they’re working on their Plan-B strategies to protect themselves and their families if things take a turn for the worse.

Over-Regulation And High Taxes

Strict government regulations and high tax rates in Canada negatively impact economic growth and entrepreneurship by increasing the financial burden on individuals and businesses.

Let me give you an example. Ontario’s total income tax payment can be as high as 53.5%. These high tax rates reduce the disposable income of individuals and businesses and restrict economic mobility. Under the guise of “Tax the rich” and “Pay your fair share,” the Canadian government began taxing capital gains over $250,000 CAD at up to 66.6% starting in 2024. Being an entrepreneur or creating economic productivity in Canada is one of the government’s favourite activities to punish.

High Cost Of Living

Rising real estate prices, the cost of essential consumer goods, and transportation have greatly increased the economic burden on individuals. Real estate prices have reached astronomical levels in cities like Vancouver and Toronto. This fact makes home ownership nearly impossible for the middle class. The lack of affordable housing options is threatening life in Canada.

With average home prices pushing $730,000 CAD ($536,000 USD), double-digit inflation on food and energy, and yet another round of carbon taxes, everyday life in Canada has become flat-out unaffordable. More and more people are waking up to the reality that they can live better, in places like Latin America, for a fraction of the cost and without being punished for simply trying to get ahead.

Most people seeking to migrate to Canada think about living in Toronto. The average rent for a one-bedroom apartment in Toronto is around $ 2,500 CAD ($1,700 USD). If your job is in Vancouver, the average rent for a one-bedroom apartment is around $2,700 CAD ($1,900 USD).

Living expenses in Toronto and Vancouver are sky-high, and if you’re hoping Montreal offers a more affordable alternative, you’ll be disappointed—it’s just as costly. Factor in additional expenses for your family, and Canada quickly becomes an impractical place to invest in or build your future. It is difficult to see the benefits of living there.

The rapid growth of Canada’s immigrant population has also become another socio-economic issue. Canada does not have a dynamic market economy that can absorb all immigrants without lowering the standard of living of other citizens. Therefore, economic difficulties have not only caused immigrants to become targets but also a threat to social peace.

Elections In Canada

Do you recall the political debate that flared up after Trudeau’s resignation, revealing Canada’s polarized politics? Canadian politics was left in confusion about which way to turn after U.S. President Donald Trump hinted at annexing Canada as the 51st state.

What an absolutely painful circus to watch unfold. After being thoroughly humiliated by Trump and losing whatever political capital he had left, Trudeau stepped down, hoping to give the Liberals one last shot at survival in the next election.

The Liberals wasted no time in installing Mark Carney, a globalist even more elitist than Trudeau, as Prime Minister. As a career technocrat, Carney’s credentials read like a who’s who of globalist power centres—Goldman Sachs, the Bank of Canada, the Bank of England, and the World Economic Forum.

When I saw that the so-called conservative Pierre Poilievre was positioned to run against Carney in the snap elections on April 28, 2025, it became obvious that the entire contest was pure theatre. Poilievre played his part well, talking tough, staying on script, and never crossing the lines he wasn’t supposed to. In an election where the outcome was never in doubt, Carney picked up where Trudeau left off.

What’s truly hilarious is that Canadians rallied behind Carney, thinking he was the tough guy who could stand up to Trump, as if a globalist banker could salvage national pride. They saw him as the unifier for the challenges ahead, not realizing he was just the next polished face of the same worn-out agenda. They did not hesitate to choose a copy of the same man as their hope, as if they had forgotten why they had withdrawn their support for Trudeau.

Watching these painful realities from a distance, I feel compelled to speak the truth. Liberals and conservatives are inflicting irreparable wounds on social cohesion without knowing that the system itself is rigged. Political scandals, unfulfilled campaign promises, and a lack of transparency continue to fuel growing skepticism toward Canadian leaders. My only hope is that more people begin to realize there are far better places to live and truly thrive outside of Canada.

Canada is no longer worth the debate. Broken systems, high taxes, lost freedoms, there’s nothing left to fix. The smart ones aren’t waiting. They’re departing.

Conclusion

It’s time to stop calculating the pros and cons of living in Canada. There are no advantages at all. Canada is a country stuck under high taxes, failing public services, ideological impositions, and an increasingly authoritarian government. Buying a house has become a dream, healthcare a lottery, and freedom of expression a luxury.

Even worse, despite all these problems, there is no will to fix Canada’s future. Canada has become divided by ideological wars between ever-growing state control and failed economic policies. Simply put, the best place to live in Canada doesn’t exist.

The answer for those looking to secure their future is to look beyond Canada. If you don’t want to be penalized for your success, crushed by high taxes, and deprived of your fundamental rights, now is the time to explore alternative countries that genuinely value freedom and opportunity.

*  *  *

The truth is, Canada’s decline is just one piece of a much bigger global pattern. The warning signs are everywhere: collapsing economies, overreaching governments, and shrinking personal freedoms. You don’t have to wait until it’s too late—or stay trapped in a system that’s stacked against you. There’s a better way forward, and the time to act is now. That’s why we’re urging you to join Doug Casey’s https://internationalman.com/reserve-your-spot-doug-casey-collapse-strategy/

https://cms.zerohedge.com/users/tyler-durden

Sun, 08/31/2025 - 23:20

https://www.zerohedge.com/markets/harsh-truth-about-life-canada-today

Rubio Blocks Visas For Palestinian Leaders, Including Abbas, Ahead Of UN Summit

Rubio Blocks Visas For Palestinian Leaders, Including Abbas, Ahead Of UN Summit

A major Friday development has put the prospect of peace in Gaza and the West Bank even further away. The Trump administration has revoked visas for officials from the Palestinian Authority (PA) and the Palestine Liberation Organization (PLO) - including PA President Mahmoud Abbas.

They were expected to attend upcoming high-level meetings at the United Nations headquarters in New York next month, for the annual UN General Assembly. The action's timing specifically impedes their ability to travel for the major gathering, at a moment there's an international movement to recognize a Palestinian state at the UN.

?itok=GMCvLvYV

"In compliance with the laws and national security interests of the United States, Secretary of State Marco Rubio is denying and revoking visas from members of the Palestine Liberation Organization (PLO) and the Palestinian Authority (PA) ahead of the upcoming UN General Assembly," a State Department spokesman https://nypost.com/2025/08/29/us-news/secretary-of-state-marco-rubio-bars-palestinian-officials-from-attending-un-general-assembly/

in a statement.

"Before they can be taken seriously as partners for peace, the PA and PLO must repudiate terrorism, lawfare campaigns at the ICC and ICJ, and the pursuit of unilateral recognition of statehood," it added.

"The United States remains open to re-engagement should the PA/PLO demonstrably take concrete steps to return to constructive engagement. The Trump Administration does not reward terrorism," the statement concluded.

According to more Trump admin https://nypost.com/2025/08/29/us-news/secretary-of-state-marco-rubio-bars-palestinian-officials-from-attending-un-general-assembly/

:

Deputy Secretary of State Christopher Landau said the sanctions were the result of Palestinian leaders “unilaterally declaring Palestinian statehood; glorifying violence; promoting antisemitism; and providing material support to terrorists (‘pay for slay’).”

Friday’s State Department memo also cited reports that Abbas was preparing to introduce a “constitutional declaration” declaring Palestinian independence at the General Assembly, which will host its General Debate Sept. 23-27.

A big focus of the State Dept in its denunciation of the PA, which is over the West Bank, is that it's been backing international "lawfare campaigns" targeting Israeli officials.

The US is arguing that this has helped convince Hamas to not release the hostages, by seeking to create a groundswell of international criticism against the Netanyahu government. Historically, the PA/PLO is a political rival to Hamas, and is more secular and Left-leaning in its basic political ideology.

On the global stage, Israel's reputation has been sinking, as more and more US allies plan to recognize a 'state of Palestine' at the September UN General Assembly meeting. France was among the first leading EU powers to announce this.

It seems the US is busy trying to preempt all this and fight back by its drastic action of blocking visas for Palestinian officials. Ironically, actions like 'lawfare' campaigns on the part of the PA is actually a form of peaceful action.

https://cms.zerohedge.com/users/tyler-durden

Fri, 08/29/2025 - 19:40

https://www.zerohedge.com/geopolitical/trump-admin-blocks-visas-palestinian-leaders-including-abbas-ahead-un-summit

Senator Graham Calls For Disarming Hezbollah By Military Force

Senator Graham Calls For Disarming Hezbollah By Military Force

Hawkish Republican Senator Lindsey Graham has said "it’s time for Hezbollah to go" - and he's willing to use military force to do it.

"They are trained by Iran, they are loyal to Iran, and we’re looking for military power in Lebanon to be loyal to the Lebanese people and a good partner to the region," Graham, who is the Chair of the Senate Budget Committee, said at a press conference in Tel Aviv.

?itok=zn6Ynn2I

He made the comments soon after meeting with both Lebanese and Israeli officials. The Trump administration has been heavily pressuring the Lebanese government to disarm Hezbollah, even after it was greatly weakened after Israel took out its top leadership, including the slain longtime Secretary General Hassan Nasrallah, last year.

Graham declared: "If we cannot reach a peaceful disarmament solution for Hezbollah, then we need to look at Plan B. Plan B is disarming Hezbollah by military force."

"Also, there is a decision made to eliminate UNIFIL as a U.N. peace keeping organization in the next 15 months. Now that presents an opportunity for the Lebanese Armed Forces to replace a very ineffective UNIFIL and prove to not only the Lebanese people, but Israel and others, that Lebanon has a capability it did not possess before," the US senator went on to say.

He didn't specify whether he envisions that American troops could be involved in such a military intervention - and he likely has foremost in his mind the Israelis and Lebanese taking action - but he's one who has never shied away from using American soldiers in overseas conflicts.

US envoy to the region Tom Barrack had led the American delegation that visited Beirut this week, and there was plenty of controversy unleashed by the visit, and specifically when he chastised the Lebanese over being 'civilized' and not 'animalistic'...

The level of arrogance US officials demonstrate in Lebanon is humiliating for the country. Tom Barrack warns Lebanese journalists against being “animalistic” and urge them to civilise “because this is the problem with what is happening in this region.” https://t.co/O3wpMY1RMk

— Ali Hashem علي هاشم (@alihashem_tv) https://twitter.com/alihashem_tv/status/1960295366051381645?ref_src=twsrc%5Etfw

The clip of the exchange with the Lebanese press pool went viral in Lebanon, and led to protests as Barrack and the US delegation visited the south of the country.

Ironically, Barrack and the Trump administration have been propping up the Jolani regime - despite his past ISIS and Al Qaeda leadership (as head of Nusrah/HTS).

According to the latest from https://www.aljazeera.com/news/liveblog/2025/8/29/live-israel-2?update=3914718

, there's still been sporadic attacks by Israel on south Lebanon. The Israeli military "says it killed a battalion leader with Hezbollah’s Radwan force in an attack on the Sir el-Gharbiyeh area of southern Lebanon," a Friday report says.

US Senator Lindsey Graham on disarming the Lebanese resistance:

"If we cannot reach a peaceful disarmament solution, then we need to look at Plan B ... disarming Hezbollah by military force." https://t.co/th7FDlk8L6

— The Cradle (@TheCradleMedia) https://twitter.com/TheCradleMedia/status/1961409561589322118?ref_src=twsrc%5Etfw

"Earlier, we reported that one person was killed in a strike on a car in the town," Al Jazeera writes. "Israel has been carrying out bombings across Lebanon despite a ceasefire agreement with Hezbollah that was reached in November."

https://cms.zerohedge.com/users/tyler-durden

Fri, 08/29/2025 - 18:50

https://www.zerohedge.com/geopolitical/senator-graham-calls-disarming-hezbollah-military-force

AI Found To Increasingly Replace Young Entry-Level Workers, Stanford Research Shows

AI Found To Increasingly Replace Young Entry-Level Workers, Stanford Research Shows

https://www.theepochtimes.com/us/ai-found-to-increasingly-replace-young-entry-level-workers-stanford-research-shows-5907499?utm_source=partner&utm_campaign=ZeroHedge

Early-career workers, aged 22-25, face a disproportionate threat to job loss from the widespread adoption of generative artificial intelligence (AI), according to a recent https://digitaleconomy.stanford.edu/wp-content/uploads/2025/08/Canaries_BrynjolfssonChandarChen.pdf

from Stanford University.

?itok=8i5JTnvd

These workers, in most AI-exposed occupations, have experienced a 13 percent relative decline in employment, said the authors of the research published online on Aug. 26.

“In contrast, employment for workers in less exposed fields and more experienced workers in the same occupations has remained stable or continued to grow.”

The team of researchers—Erik Brynjolfsson, Senior Fellow at Stanford, Bharat Chandar, a postdoctoral researcher, and Ruyu Chen, a research scientist—used data collected from ADP, the largest payroll software provider in the United States.

They found that employment declines in the American labor market are mostly happening in occupations susceptible to AI automation, and not as much in environments where human labor is augmented.

Software developers and customer service representatives were some of the most disrupted work environments following the significant proliferation of AI deployment, according to the researchers. Meanwhile, work for more experienced employees in the same sectors continued to grow.

Employment trends for “workers of all ages in less-exposed occupations such as nursing aides have remained stable,” said the paper.

OpenAI CEO Sam Altman made similar observations during a https://www.c-span.org/program/public-affairs-event/openai-ceo-sam-altman-speaks-at-federal-reserve-conference/662859

at the Federal Reserve Conference last month.

When asked which areas could see a significant amount of job losses due to AI, Altman said, “Some areas ... are totally gone,” a reference to AI service bots replacing customer support human agents.

Altman further talked about the diagnostic capabilities of ChatGPT, but said he would not entrust it with his medical treatment without having a human doctor in the loop. This occupation class will continue to remain, even with AI.

Not All Jobs or Workers

Regarding computer programmers, Altman said they were 10 times more productive compared to before, with salaries rising in Silicon Valley. He did not address any specific categories of programmers.

“Things in the physical world will keep being done by humans for a while, but when this robotics wave comes crashing in, in another three to seven years, I think that’ll be a really big thing for society to reckon with,” said Altman.

According to Stanford researchers, data patterns related to shifting employment trends started in late 2022, around the time of the rapid proliferation of generative AI tools.

While AI may work toward replacing “book-learning” knowledge shown by entry-level workers, it will be less capable of substituting “tacit knowledge, the idiosyncratic tips and tricks that accumulate with experience,” they said.

Older workers thus remain less vulnerable to replacement.

Employment for 22 to 25-year-old software developers has gone down approximately 20 percent from the peak in 2022, said Chandar in an Aug. 26 X https://x.com/econ_b/status/1960242091159667116

, adding that older ages show a steady rise in employment.

Chandar said that health aides revealed an opposite trend, with youngsters seeing the fastest employment growth.

Chandar also pointed out the economic circumstances currently prevailing in the country, and said that not all job losses were attributable to AI.

According to a July 31 https://www.challengergray.com/blog/summer-lull-ends-july-job-cuts-spike-tech-ai-tariffs-blamed/

from outplacement firm Challenger, Gray & Christmas, American companies announced 62,075 job cuts in July, up 29 percent from 47,999 in June, and up 140 percent from last year.

“AI was cited for over 10,000 cuts last month, and tariff concerns have impacted nearly 6,000 jobs this year,” said Andrew Challenger, Senior Vice President of the firm.

Investment bank https://www.goldmansachs.com/insights/articles/how-will-ai-affect-the-global-workforce

paints a more moderate outlook in a recent report.

Goldman said that AI could displace 6–7 percent of the U.S. workforce if AI is widely adopted; however, the impact will be short-lived. AI will open up new job opportunities.

“A recent pickup in AI adoption and reports of AI-related layoffs have raised concerns that AI will lead to widespread labor displacement,” said Joseph Briggs, who co-leads the Global Economics team in Goldman Sachs Research with economist Sarah Dong. “While these trends could broaden as adoption increases, we remain skeptical that AI will lead to large employment reductions over the next decade.”

Around 60 percent of occupations today did not exist in 1940, said Goldman. Most of the jobs today are driven by technological innovations.

“Predictions that technology will reduce the need for human labor have a long history but a poor track record,” Briggs and Dong said.

Goldman also noted that AI adoption remains relatively low, especially among mid-sized and small enterprises.

Briggs and Dong concluded that occupations at the highest risk of being displaced by AI in the coming years include computer programmers, accountants and auditors, legal and administrative assistants, customer service representatives, telemarketers, proofreaders and copy editors, and credit analysts.

Those at the least risk of being displaced are air traffic controllers, chief executives, radiologists, pharmacists, residential advisors, photographers, and members of the clergy.

https://cms.zerohedge.com/users/tyler-durden

Fri, 08/29/2025 - 18:25

https://www.zerohedge.com/ai/ai-found-increasingly-replace-young-entry-level-workers-stanford-research-shows

U.S. Treasury Warns Of $312 Billion Chinese Laundering Dark-Money Network For Mexican Cartels

U.S. Treasury Warns Of $312 Billion Chinese Laundering Dark-Money Network For Mexican Cartels

The U.S. Treasury's Financial Crimes Enforcement Network (FinCEN) issued a https://www.fincen.gov/news/news-releases/fincen-issues-advisory-and-financial-trend-analysis-chinese-money-laundering

on Thursday that Chinese money laundering networks (CMLNs) pose a substantial threat to the U.S. financial system, citing money laundering by Mexican drug cartels, including some that have been designated as Foreign Terrorist Organizations (FTOs).

FinCEN stated that it reviewed more than 137,000 Bank Secrecy Act reports from 2020 to 2024, identifying around $312 billion in suspicious transactions tied to CMLNs.

"Money laundering networks linked to individual passport holders from the People's Republic of China enable cartels to poison Americans with fentanyl, conduct human trafficking, and wreak havoc among communities across our great nation," stated Under Secretary for Terrorism and Financial Intelligence John K. Hurley. He said FinCEN's Advisory and Financial Trend Analysis reinforces Treasury's and law enforcement's ongoing work to dismantle command and control nodes within critical Chinese money laundering networks.

In an interview, investigative journalist https://x.com/scoopercooper

told ZeroHedge that while the $300 billion money laundering figure is massive, his reporting suggests the actual scale is far higher.

Expert Analysis: U.S. Treasury Warns of $312 Billion in Chinese Laundering For Mexican cartels https://t.co/hf6FLQ42mL

— Sam Cooper (@scoopercooper) https://twitter.com/scoopercooper/status/1961393084106682446?ref_src=twsrc%5Etfw

By factoring in the trade-based money laundering methods described by FinCEN, in which Chinese underground banks collect drug cash from foreign organized crime groups operating in the United States and Canada, then weave it into China's manufacturing and export economy and throughout Latin America, the amounts should be over a trillion dollars.

He added that Wall Street executives should be studying FinCEN's warnings and ensuring their compliance and reporting systems are airtight, because a senior U.S. official suggested this year, that, going forward, institutions such as TD Bank, if found to have knowingly tolerated lax reporting on Chinese-linked transactions, could face scrutiny for enabling terror-designated cartels to wash fentanyl proceeds.

Cooper's report below provides new insight into Chinese networks moving tens of billions for Mexican cartels, also pushing illicit cash through U.S. real estate, elder care centers, and human trafficking schemes.

*   *   *

Submitted by https://www.thebureau.news/

,

The U.S. Department of the Treasury issued a stark https://www.fincen.gov/news/news-releases/fincen-issues-advisory-and-financial-trend-analysis-chinese-money-laundering

suspicious transactions and a further $53.7 billion in illicit real estate activity over the past four years. Officials underscored the systemic risks posed by what they described as a sprawling global underground economy.

While cartel laundering was the central focus, Treasury's Financial Crimes Enforcement Network (FinCEN) also highlighted troubling evidence of Chinese-linked financial activity tied to elder care centers, human trafficking, and fraud. Investigators flagged $766 million in suspicious activity at 83 adult and senior day care centers in New York, along with 1,675 reports of suspected human trafficking or smuggling, and 108 reports tied to elder abuse and health care schemes.

New York has been the focus of investigations showing how Chinese community groups and service centers became entangled in Beijing's foreign interference campaigns, according to indictments and https://www.nytimes.com/2025/08/28/podcasts/the-daily/china-new-york-elections-adams.html

—raising concerns that the financial networks flagged by FinCEN blur the line between criminal enterprises and hostile state activities.

As reported previously by https://buymeacoffee.com/thebureau

FinCEN is now raising similar alarms. The Treasury said so-called "money mules" often rely on falsified jobs and identities to gain access to the banking system, disguise unexplained wealth, and buy residential properties. In cases where these mules opened accounts, they frequently listed occupations such as "student," "housewife," "retired," or "laborer" — roles that would not normally involve large volumes of financial activity — yet the accounts showed high-value deposits and transactions consistent with laundering.

These same evasive patterns first appeared in audits during the 2010s of massive drug-money laundering through British Columbia's government casinos, a dominant node of Chinese triad and state activity in North America. https://www.thebureau.news/p/fake-chinese-income-mortgages-fuel

Chinese criminal networks shifted the scheme across Canada's banking and legal systems during the pandemic, when casino closures forced an evolution of laundering tactics.

In the United States, Treasury officials said, these networks have become critical partners to Latin American drug cartels — including groups designated as foreign terrorist organizations.

"Money laundering networks linked to individual passport holders from the People's Republic of China enable cartels to poison Americans with fentanyl, conduct human trafficking, and wreak havoc among communities across our great nation," said John K. Hurley, Treasury's Under Secretary for Terrorism and Financial Intelligence. "The United States will not stand by and allow nefarious actors to launder illicit proceeds through our financial system."

?itok=cfzoswxt

FinCEN Director Andrea Gacki called the networks "global and pervasive," warning that they must be "dismantled" through coordinated international action.

The Financial Trend Analysis behind the advisory drew on 137,153 Bank Secrecy Act reports filed between January 2020 and December 2024, documenting $312 billion in suspicious transactions tied to Chinese laundering networks.

Officials described a vast shadow infrastructure stretching from cartel couriers in the United States and Mexico to Chinese nationals seeking to evade Beijing's strict capital controls. The result is a mutually beneficial pipeline: cartels desperate to shed bulk U.S. dollars sell cash to Chinese intermediaries, who in turn profit by reselling those dollars to wealthy clients inside China eager to move money abroad.

Chinese Command Cartel Money Movement

A granular view of the scheme emerged in the stunning case of Beijing-born Zhi Dong Zhang — code-named "Chino" — who, as https://buymeacoffee.com/thebureau

reported this week, recently escaped house arrest in Mexico City just days before his scheduled extradition to the United States. Indictments allege Zhang commanded both the Chinese and Mexican wings of cartel operations, training Hispanic money mules to infiltrate U.S. banks. He reportedly bridged fentanyl precursor supply lines for the rival Sinaloa and Jalisco cartels — a rare position that underscored how Chinese networks have become the anchor of cartel financial and chemical infrastructure.

The global, trade-based nature of the system — emphasized in Treasury officials' comments — stems from Mexico's restrictions on dollar deposits and China's caps on outbound transfers. Together, these measures have forged what Treasury calls a "mutualistic relationship" between cartels and Chinese brokers. Cartel proceeds in U.S. dollars are sold at a discount to Chinese laundering networks, which in turn meet demand from Chinese citizens and businesses seeking dollars for tuition, real estate, or investments in the United States.

Transactions move through informal networks advertised on WeChat or brokered via personal connections. Cartels are then compensated in yuan through Chinese accounts or with goods purchased in Asia and shipped to Mexico through their diaspora distribution channels.

In some cases, financial institution employees are recruited as complicit insiders, while counterfeit Chinese passports have been used to open accounts and disguise flows. The layering of shell companies, third-party intermediaries, and complex real estate purchases allows illicit proceeds to be reintegrated into the legitimate economy.

As previously reported by The Bureau, the U.S. government has been surfacing vast datasets and cases tied to an ongoing DEA task force codenamed Sleeping Giant. The operation was launched by senior DEA agent Don Im, whose career has focused on decoding China's central role in global money laundering and chemical supply chains for methamphetamine and fentanyl. The mission was designed to bring cases against Latin American cartels working in partnership with Chinese laundering syndicates.

One of the task force's major cases revealed how Sai Zhang, a Chinese student in California on a study visa, played a commanding role in orchestrating Sinaloa cartel fentanyl cash flows. But the system extended far beyond one trafficker, Im said, bridging into the architecture of China's economic system itself.

"Chinese banking networks were operating in the U.S. long before Zhang linked up with the Sinaloa cartel," https://x.com/scoopercooper/status/1940503702340571370

in a report that previewed FinCEN's detailed findings. He described how Chinese buyers bid on pools of cartel drug cash collected worldwide, paying a premium to receive laundered dollars in U.S. cities and investments of their choosing. "The buyers were mostly wealthy Chinese seeking dollars for real estate or tuition in America. Payments were made in yuan through Chinese accounts. In return, Mexican cartels received goods or cash."

?itok=44dxM7ki

In exclusive interviews, Im outlined in unprecedented detail the breathtaking complexity of China's global drug money laundering networks — a labyrinth of shadow transactions that Sleeping Giant helped map and penetrate. These findings, he said, help explain why Washington is now imposing new trade sanctions targeting China and countries bound tightly to its export-driven economy.

At the heart of the problem, according to Im, is Beijing's decentralized economic apparatus. The Chinese Communist Party's regional governors knowingly align with drug barons, he argued — channeling fentanyl cash, reintegrating it into China's industrial output, and exporting drug-funded goods worldwide. Meanwhile, Chinese immigrants and travelers access the other side of this narco-banking system, using it to bankroll overseas investments and strengthen the reach of the Chinese diaspora.

The new Treasury advisory urges financial institutions to sharpen detection of red flags, from unusual cash deposits and wire transfers tied to Chinese nationals to trade transactions routed through shell companies and real estate purchases inconsistent with reported income. Officials cast the move as part of a whole-of-government campaign to choke off cartel financing while pressing for tighter coordination with foreign governments and law enforcement partners.

"Chinese money laundering networks are global and pervasive, and they must be dismantled," Gacki said.

One senior U.S. expert, in a previous interview, warned that diligent business leaders in the United States — and worldwide — would be wise to study such https://www.fincen.gov/news/news-releases/fincen-issues-advisory-and-financial-trend-analysis-chinese-money-laundering

or risk penalties for complicity in terror-designated cartel financing if they fail to implement proper controls and oversight of suspicious transactions.

https://cms.zerohedge.com/users/tyler-durden

Fri, 08/29/2025 - 18:00

https://www.zerohedge.com/geopolitical/us-treasury-warns-312-billion-chinese-laundering-dark-money-network-mexican-cartels

House Republicans Probe Wikipedia Over Alleged Bias, Foreign Manipulation

House Republicans Probe Wikipedia Over Alleged Bias, Foreign Manipulation

https://www.theepochtimes.com/us/house-republicans-probe-wikipedia-over-alleged-bias-foreign-manipulation-5907286?utm_source=partner&utm_campaign=ZeroHedge

House Republicans have opened an inquiry into whether the Wikimedia Foundation is doing enough to stop coordinated efforts to manipulate Wikipedia entries on important and sensitive topics to influence U.S. public opinion.

?itok=eeNGZYkl

In an Aug. 27 https://oversight.house.gov/wp-content/uploads/2025/08/082725-letter-to-Wikimedia.pdf

to Wikimedia Foundation CEO Maryana Iskander, James Comer (R-Ky.), chairman of the House Oversight Committe, and Nancy Mace (R-S.C.), chairwoman of the panel’s Subcommittee on Cybersecurity, Information Technology, and Government Innovation, requested records on volunteer editors found to have violated site rules and documentation of the foundation’s policies for ensuring neutrality.

The lawmakers said they are examining whether hostile foreign actors, taxpayer-funded academic institutions, or other organized groups are behind manipulation campaigns.

The inquiry follows recent reports https://www.adl.org/resources/report/editing-hate-how-anti-israel-and-anti-jewish-bias-undermines-wikipedias-neutrality

pro-Kremlin messaging aimed at Western readers.

The GOP lawmakers warned that such edits not only shape public perception but also risk seeding bias into artificial intelligence systems that rely on Wikipedia for training data.

“The Committee recognizes that virtually all web-based information platforms must contend with bad actors and their efforts to manipulate,” Comer and Mace wrote in the letter.

“Our inquiry seeks information to help our examination of how Wikipedia responds to such threats and how frequently it creates accountability when intentional, egregious, or highly suspicious patterns of conduct on topics of sensitive public interest are brought to attention.”

Comer and Mace noted that the Wikimedia Foundation has acknowledged taking action in response to misconduct by volunteer editors who craft Wikipedia’s articles.

The lawmakers set a Sept. 10 deadline for the foundation to turn over records of these actions, including Arbitration Committee proceedings, identifying details of disciplined accounts, and analyses of manipulation.

They’re also seeking documentation of Wikipedia’s editorial policies, including ones that address bias and ensure neutrality.

The Wikimedia Foundation issued a statement to several media outlets saying it looks forward to responding to the committee’s questions and discussing the importance of safeguarding the integrity of information on the platform.

Allegations of bias have long dogged Wikipedia. Half a dozen studies, including two from Harvard, https://www.allsides.com/blog/wikipedia-biased

that Wikipedia exhibits a left-wing bias.

Larry Sanger, co-founder of Wikipedia, told EpochTV’s “https://www.theepochtimes.com/wikipedia-co-founder-larry-sanger-why-wikipedia-has-failed-and-what-to-do-about-it_4016965.html

“ in 2021 that the online encyclopedia has drifted away from impartiality and slid into ”leftist propaganda.”

Sanger said that, in recent years, the site has increasingly misrepresented people on the political right or those with contrarian views, often omitting key achievements and portraying them as “conspiracy theorists” or “far right.”

He also stated that Wikipedia has excluded conservative outlets, resulting in its content shifting to the left.

Wikipedia did not respond to an earlier request for comment on Sanger’s criticism by publication time.

https://cms.zerohedge.com/users/tyler-durden

Fri, 08/29/2025 - 08:05

https://www.zerohedge.com/political/house-republicans-probe-wikipedia-over-alleged-bias-foreign-manipulation

Soros-Funded Dark Money Group Secretly Paying Democrat Influencers To Shape Gen Z Politics

Soros-Funded Dark Money Group Secretly Paying Democrat Influencers To Shape Gen Z Politics

Submitted by https://x.com/JCAndersonNYC

,

When https://www.wired.com/story/dark-money-group-secret-funding-democrat-influencers/

on Democrat dark money, you know something strange is happening. Lorenz, who has made a career as the poster child for progressive social media culture, finally turned her reporting lens onto her own side. And what she uncovered in Wired is pretty dark: a secret program bankrolled by one of the largest Democrat dark money machines in America, designed to quietly pay off dozens of high-profile influencers to steer young voters toward the left.

?itok=7R1NYHfl

The story centers around the Sixteen Thirty Fund, one of the crown jewels of https://www.zerohedge.com/political/gates-foundation-cuts-ties-arabella-advisors-linked-funding-radical-leftist-causes

. According to public filings, this fund has been showered with staggering sums from progressive megadonors:

$257.1 million from the New Venture Fund

$64 million from the Open Societies Action Fund

$20.2 million from the Hopewell Fund

$13 million from the North Fund

$5.6 million from Tides Advocacy

A spreadsheet https://x.com/DataRepublican/status/1961083686381597046/photo/1

bluntly spelled it out: "That 'dark money' group, Sixteen Thirty Fund, is Arabella Advisors and is pure Open Society passthrough."

?itok=op8-qduJ

And this time, the pipeline wasn't just about elections, protests, or legislation—it was about directly paying the online voices that shape the political worldview of America's youngest voters.

That "dark money" group, Sixteen Thirty Fund, is Arabella Advisors and is pure Open Society passthrough. Congratulations to Taylor Lorenz for finally catching up to what we've all known for years: that the Democratic party is controlled by Soros. https://t.co/IhjiULKkxz

— DataRepublican (small r) (@DataRepublican) https://twitter.com/DataRepublican/status/1961083686381597046?ref_src=twsrc%5Etfw

The project was blandly branded the "Chorus Creator Incubator Program." According to Lorenz, more than 90 influencers were expected to join. https://nypost.com/2025/08/28/business/dark-money-group-paying-pro-democrat-influencers-up-to-8k-a-month-report/?utm_campaign=nypost&utm_source=twitter&utm_medium=social

some of the names tied to the program:

Olivia Julianna, the Gen Z activist who spoke at the 2024 Democratic National Convention

Loren Piretra, a former Playboy executive turned Occupy Democrats podcast host

Barrett Adair, who runs a viral American Girl Doll–themed meme account

Suzanne Lambert, who calls herself a "Regina George liberal"

Arielle Fodor, a TikTok-famous teacher with 1.4 million followers

Sander Jennings, TLC reality star and sibling of trans influencer Jazz Jennings

David Pakman, progressive YouTube host

Leigh McGowan, better known as "Politics Girl"

This was no casual networking group. WIRED reported that contracts explicitly barred creators from admitting they were being paid, revealing their funders, or even acknowledging the program's existence, operating like a top-secret mission by an intelligence agency. Breaking the silence could mean expulsion—and the loss of thousands in monthly income.

The fine print was even darker. One clause gave Chorus the right to order creators to delete content produced at its events. Another required influencers to route any political dealings through Chorus itself, effectively turning the nonprofit into a shadow PR firm that stood between Democrat politicians and their own online supporters. In fundraising pitches, Chorus bragged that its creators collectively commanded 40 million followers and more than 100 million weekly views.

If you've ever wondered why so much progressive content online feels eerily uniform, this is why. It's not organic at all, it's just another arm of the machine.

?itok=t6YyGpRV

And the timing couldn't be more potent. According to Pew Research, over 50% of Americans under 30 say they get their news primarily from social media. Among Gen Z, the number is even higher, with TikTok and Instagram rivaling traditional news outlets as primary sources of information. Combine that with the fact that younger Americans tend to trust influencers more than politicians or journalists, and you begin to understand just how valuable a Soros-funded influencer army really is.

Two of the most prominent figures on the hard-left influencer scene are Taylor Lorenz herself and Hasan Piker. Between them, they embody the cultural energy of the young online left. Yet when it comes to their politics, both are radically anti-Western, openly sympathetic to America's enemies, and fall into the "burn America to the ground" category of the progressive left.

Piker once glorified the 9/11 terrorists. Lorenz routinely amplifies fringe activists and thinks Luigi Mangione is the greatest thing to happen to mankind since sliced bread. Both sit at the center of an online ecosystem that frames nihilism and "death to America" sloganeering as a form of cool, cultural chic.

Both play a key role in mainstreaming hatred for America to young voters.

Now imagine this ethos pumped into classrooms, dorm rooms, and teenage TikTok feeds—not through organic content, but through a dark money-funded pipeline designed to bypass any form of accountability.

That's the real story here: while many Americans are scratching their heads at the state of our politics, wondering why crime rises as prosecutors look away, why borders stay open, why drug decriminalization spreads despite chaos, the answer often traces back to a single man and his bank account. George Soros already bankrolls district attorney races, radical criminal justice reforms, immigration lobbying, "racial justice" organizations, and massive street protests. Now we learn he's also bankrolling the influencers who interpret those same issues for the youngest, most impressionable slice of the electorate.

That should terrify anyone who still believes in transparency, democracy, or the free flow of ideas.

And here's the bitter irony: Taylor Lorenz, a living embodiment of this world, may have finally done her most important piece of journalism, not by accident, but because the truth slipped out in a way that even the left couldn't ignore. She showed us how the sausage is made.

What comes next is the harder question. Will the media class brush this off as "just how politics works"? Or will Americans finally see what's really happening—that their children's politics are being shaped not by authentic cultural voices, but by professionalized operatives on Soros's payroll?

In a nation where young people trust Instagram more than the nightly news, this isn't just clever marketing. It's an engineered future. And unless someone pulls the plug, that future is going to look a lot like the worst instincts of the radical left—slickly packaged, algorithmically boosted, and secretly funded by a billionaire class that pretends to hate billionaires.

https://cms.zerohedge.com/users/tyler-durden

Thu, 08/28/2025 - 22:35

https://www.zerohedge.com/political/soros-funded-dark-money-group-secretly-paying-democrat-influencers-shape-gen-z-politics

Goldman's iPhone 17 Breakdown Ahead Of "Awe Dropping" Event

Goldman's iPhone 17 Breakdown Ahead Of "Awe Dropping" Event

Apple announced on Tuesday that its upcoming "Awe Dropping" iPhone 17 event will take place on September 9. The launch is expected to feature an all-new super-thin iPhone, new Watch models with satellite connectivity, and the long-awaited AirPods Pro 3.

Ahead of the launch event, Goldman analysts led by Michael Ng told clients that his desk is "Buy" rated on the stock.

"We are encouraged by reports surrounding (1) form factor updates to iPhone 17 models (17 "Air" model, larger base screen size); (2) the potential for a price increase to the iPhone 17 Pro; and (3) continued carrier competition driving device-related promotions," Ng told clients.

He stated, "We reiterate our Buy rating on AAPL and forecast iPhone revenue to grow +5% yoy in F2025E before accelerating to +7% yoy growth in F2026E."

?itok=qOakzErF

Ng expects four new iPhone models to be launched at the beginning of the iPhone 17 cycle:

iPhone 17 (base);

iPhone 17 "Air" (replacing the Plus model);

iPhone 17 Pro; and

iPhone 17 Pro Max.

?itok=EGg6qBYa

So, what's really changing with the new iPhone? Good question. The analyst provides some thoughts:

First, the iPhone 17 series will reportedly feature a variety of different form factor changes (Exhibit 1). For one, Apple should debut the first iPhone 17 "Air" model (which should replace the iPhone "Plus" model), featuring a thinner and lighter form factor relative to other iPhone models, with a display size between that of the 17 Pro (6.3") and 17 Pro Max (6.9"). In addition, the iPhone 17 base model display size should now measure 6.3" (v. 6.1" in the base iPhone 16 model), now equal to that of Pro models. Second, the iPhone 17 series should be able to support greater compute intensity, with updated A19 series processor chips and 12 GB of RAM (v. 8GB RAM in the iPhone 16 family). iPhone 17 Pro & Pro Max models should feature premium chip models (likely A19 Pro), and the iPhone 17 (base) and Air models featuring a less advanced chip model (A19 base or less compute intensive A19 Pro). Greater chip power and RAM capacity likely reflects a greater need for compute intensity ahead of upcoming Apple Intelligence feature updates and releases, including the 2026 expected release of AI-enhanced Siri. Third, the iPhone 17 series should see an improved front camera (24 MP v. 12 MP in the iPhone 16 family).

Thoughts on pricing:

Though it has been reported that Apple could raise prices by $50 across its iPhone 17 line up, we expect pricing for iPhone 17 (base) and Pro Max models to be in-line with that of preceding models ($799 128GB base model starting price; $1,199 256GB Pro Max starting price). That said, we believe Apple could implicitly raise prices on the Pro model, in-line with recent reports. While the iPhone 16 Pro started at 128GB at $999, we believe Apple could raise prices by eliminating the 128 GB storage option, moving 17 Pro starting storage and price to 256 GB and $1,099. This would be similar to how Apple raised prices on Pro Max models in 2023 during the launch of the iPhone 15 series, when it eliminated the $1,099 128 GB storage option for the iPhone 15 Pro Max, moving the Pro Max model's starting storage and price to 256 GB and $1,199. We expect iPhone 17 Air pricing to be relatively in-line with the iPhone 16 Plus ($899), due to its specialized thin form factor yet reported inferior battery capacity and single-lens back camera.

And what does the new iPhone mean for Apple's revenue growth? Well, Ng has that topic covered as well:

Overall, we view the iPhone 17 line-up as supportive of sustaining iPhone revenue growth from F2025 into F2026 (GSe iPhone revenue growth estimates for +5% yoy in F2025E, +7% yoy in F2026E). First, from a demand standpoint, we view updates including larger screen sizes on the 17 base model, improved front-cameras, and improved processor chip power as supportive of device refresh, particularly amongst members of the iPhone installed base with devices that are aging (>3 years since purchase) or that do not support Apple Intelligence (devices less powerful than iPhone 15 Pro and 15 Pro Max) ahead of the launch of additional AI features in the coming year (AI-enhanced Siri). Second, from a price perspective, we view the potential for an implicit iPhone price increase through eliminating the 128GB $999 Pro model option as supportive of ASP uplift over time, particularly as the iPhone shipments skew increasingly premium over time (Exhibit 5). We are mixed on the benefits of the iPhone 17 Air model. While the thinner, lighter form factor may drive some demand interest, potential features such as an inferior battery & a single lens rear camera (vs. base model with 2 lenses & better camera) may not justify a purchase over the iPhone 17 base model.

Summary of key changes expected in iPhone 17 series

?itok=I6Ugybh-

iPhone announcement event has not historically been a stock catalyst for outperformance/underperformance

?itok=p_syWyeJ

Promotional activity among US carriers for iPhones

?itok=YvYjOQRF

iPhone 17 pricing

?itok=RMw-2WIG

iPhone revenue forecast

?itok=gYf68knW

Remaining product pipeline

?itok=lBlQNlAe

How "Awe Dropping" will this upcoming launch event be if the iPhone 17 still looks the same as previous iPhone models?

https://cms.zerohedge.com/users/tyler-durden

Wed, 08/27/2025 - 14:40

https://www.zerohedge.com/technology/goldmans-iphone-17-breakdown-ahead-awe-dropping-event

Tailing 5Y Auction Sees Record High Directs, Record Low Dealers

Tailing 5Y Auction Sees Record High Directs, Record Low Dealers

After yesterday's stellar, blowout 2Y auction, moments ago the US sold $70 billion in 5Y paper in what was a far weaker auction.

The high yield was 3.724%, down from 3.983% in July and the lowest since last September's 3.519%; it also tailed the When Issued 3.717% by 0.7bps, the 3rd tail in a row.

?itok=NXCTU2Gl

The Bid to Cover was 2.36, up from last month's ugly 2.31, but below the six auction average of 2.37.

The internals were also wobbly, with Indirects taking 60.5%, up from 58.3%, but also far below the recent average of 69.3%. But weakness in foreign demand was offset by a surge in domestic demand, with Directs taking a new record high of 30.7%.

?itok=B92YAW-q

This left just 8.8% for Dealers, tied with the previous record low from Jan 2023.

?itok=GJ7B0miY

And overall:

?itok=GLk3lHyS

While this was generally a disappointing auction, although with some silver linings below the surface, clearly the market did not care, and 10Y yields slumped to the day's lows shortly after the auction.

https://cms.zerohedge.com/users/tyler-durden

Wed, 08/27/2025 - 13:35

https://www.zerohedge.com/markets/tailing-5y-auction-sees-record-high-directs-rcord-low-dealers

Majority Of Americans Don't Believe Trump Can End Wars In Ukraine, Gaza, But...

Majority Of Americans Don't Believe Trump Can End Wars In Ukraine, Gaza, But...

Most Americans are doubtful that President Donald Trump will be able to help bring an end to the ongoing wars in Ukraine and Gaza, despite the US being the largest military supporter of both Ukraine and Israel, which naturally would give Trump potential influence over Kyiv and Tel Aviv. But the reality is for all the talk of peace, the White House has not used this powerful lever (that is, cutting off the arms pipeline and billions in aid).

The https://harvardharrispoll.com/wp-content/uploads/2025/08/HHP_Aug2025_KeyResults.pdf

is a joint project of Harris Poll and the Center for American Political Studies at Harvard University. It conducted a fresh survey on a range of issues facing the American public and politics at the national and international levels.

The survey showed that 59% of respondents believe Trump would be unsuccessful in resolving the war in Ukraine, while 64% say he would be unable to bring an end to the conflict in Gaza.

?itok=mgxvFI0P

But despite this broad skepticism concerning the end-result, two-thirds of Americans still support Trump's initiative to negotiate a resolution to the war in Ukraine.

The survey indicated it was conducted online within the United States on August 20-21 - among 2,025 registered voters, and so it was days after Trump's historic summit with Putin in Alaska.  The polling shows that Americans saw the effort of direct US-Russia talks in a positive light.

So far, Ukrainian President Volodymyr Zelensky has firmly rejected any territorial compromises, and there's no indication that the Trump White House has piled much pressure on him to do so.

But Trump is pushing for NATO-style security guarantees for Ukraine, which the Kremlin is in turn rejecting this (assuming it involves Western boots on the ground). Responsible Statecraft https://responsiblestatecraft.org/ukraine-russia-security-guarantees/

:

Rather than seeking security for all, https://responsiblestatecraft.org/regions/europe/

, which argues that it is only defending its national interests.

It is telling that, toward the end of their joint press conference, Putin said he agreed with Trump’s claim that this https://www.foxnews.com/politics/putin-backs-trumps-claim-ukraine-war-would-not-have-happened-hed-won-2020-election

if Trump had been president. Many saw this as a throw-away line designed to ingratiate himself to Trump, but I believe that Putin was remarking on how different Trump’s approach to the conflict is from that of his predecessor. While Biden saw NATO as an unvarnished force for good; Trump appears to appreciate that it can also be seen as a threat, especially by those who have been excluded from it.

As for the other major raging conflict, the same poll found that most Americans believe there is a famine occurring in Gaza but that they hold Hamas responsible.

This is certainly not a long-term solution, but likely recipe for continual escalation...

NATO now ‘funding ENTIRE war’ in Ukraine

Trump explains his strategy – US no longer the donor, just the dealer

Either way, Zelensky gets what he wants https://t.co/r7QhUT5huA

— RT (@RT_com) https://twitter.com/RT_com/status/1960377055561777608?ref_src=twsrc%5Etfw

International human rights organizations, and the Palestinian side, have frequently accused Israel of deliberately creating famine conditions through its military campaign and blockade of Gaza. The American public has of late (as well as the mainstream media) grown more critical of Israel's actions, but both sides of the political aisle and population tend to remain 'pro-Israel'.

https://cms.zerohedge.com/users/tyler-durden

Wed, 08/27/2025 - 07:45

https://www.zerohedge.com/political/majority-americans-dont-believe-trump-can-end-wars-ukraine-gaza