GenAI专利争霸赛:全球巨头谁主沉浮?
这张图展示了全球在生成式人工智能(GenAI)领域拥有最多专利的公司排名。值得注意的是:
1. 腾讯以2074项专利领先,显示出其在AI领域的强大创新能力。
2. 平安集团紧随其后,拥有1564项专利,表明其在金融科技与AI结合方面的深厚积累。
3. 百度以1234项专利位列第三,并且近期推出了最新的大语言模型聊天机器人ERNIE 4.0。
4. 美国科技巨头IBM和微软也名列前茅,分别拥有601和377项专利,显示出传统科技公司在AI领域的持续投入。
5. 韩国、德国和日本企业如三星、索尼、NTT等,也展现出在技术研发上的竞争力。
这些数据反映了全球科技公司在AI创新领域的激烈竞争,尤其是在中国企业中表现尤为突出。这种竞争推动了AI技术的发展,也预示着未来更多突破性应用的出现。 
🪲机器学习书籍宝典👻🎉🎊
这张图展示的书籍涵盖了机器学习、人工智能及其在金融领域的应用,以下是详细解读:
1. 《Linear Algebra and Optimization for Machine Learning》:
- 介绍线性代数和优化在机器学习中的应用。
- 重点在于如何使用数学工具来提高算法的效率和准确性。
2. 《Financial Theory with Python》:
- 将金融理论与Python编程结合。
- 适合想要了解如何通过编程实现金融模型的读者。
3. 《Neural Networks and Deep Learning》:
- 深入探讨神经网络和深度学习的理论和实践。
- 涵盖从基础到复杂模型的构建和优化。
4. 《Fundamentals of Artificial Intelligence》:
- 提供AI基本概念和技术的全面介绍。
- 适合初学者了解AI的核心原理。
5. 《Probability and Statistics for Machine Learning》:
- 强调概率和统计在机器学习中的重要性。
- 为数据分析提供了坚实的数学基础。
6. 《All of Statistics》:
- 提供统计推断的简明课程。
- 适合希望快速掌握统计学核心内容的人士。
7. 《Structure and Interpretation of Computer Programs》:
- 经典计算机程序设计教材。
- 强调编程思维和程序结构的重要性。
8. 《Artificial Neural Networks》:
- 探讨人工神经网络的原理及应用。
- 包括网络设计、训练及实际应用案例。
9. 《Machine Learning in Finance》:
- 聚焦机器学习在金融领域中的实践应用。
- 提供从理论到实践的全方位指导,适合金融科技领域专业人士。
这些书籍提供了广泛且深入的知识,是对机器学习、人工智能以及金融技术感兴趣者不可或缺的资源。每本书都有其独特的视角,从基础理论到实用技巧,为读者打开了一扇通往前沿科技的大门。 
揭开财富密码:七种收入类型全解析
这张图表展示了七种不同的收入来源,每一种都有其独特的特点和获取方式:
1. Earned Income(劳动收入):通过工作获得的最常见的收入形式。
2. Profit(利润):通过销售产品或服务获取的收益。
3. Interest(利息):通过将资金借给他人获得,通常是通过储蓄账户。
4. Rental Income(租金收入):通过出租拥有的不动产而获得。
5. Capital Gains(资本增值):通过以高于购买价出售资产(如股票)获得的收益。
6. Dividend(股息):公司向股东支付的利润分配作为奖励。
7. Royalty(版税):通过拥有和许可知识产权(如专利或版权)而获得的收入。
这些多样化的收入形式为财务规划提供了多种可能性,是实现财务自由的重要途径。 
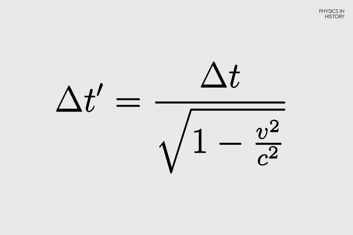
揭开时空奥秘:爱因斯坦时间膨胀公式的深刻影响
这个公式是爱因斯坦狭义相对论中的时间膨胀公式。它描述了当一个物体以接近光速运动时,时间如何相对于静止观察者变慢。
- \(\Delta t'\) 是移动参考系中的时间间隔。
- \(\Delta t\) 是静止参考系中的时间间隔。
- \(v\) 是物体的速度。
- \(c\) 是光速。
意义:
1. 时间膨胀效应:
- 随着速度接近光速,时间在运动物体中流逝得更慢。这意味着快速移动的钟表相对于静止的钟表走得更慢。
2. 相对论效应:
- 强调了时间和空间不是绝对的,而是依赖于观察者的运动状态。
3. 实验证明:
- 时间膨胀已经通过多种实验(如粒子加速器中的粒子寿命延长、GPS卫星校正等)得到验证。
这种效应在日常生活中不明显,但在高速和宇宙尺度下至关重要。它改变了我们对时间和空间的基本理解,影响了现代物理学的发展。 
从这个图来看,似乎显示了关于GPT-4.5的某些信息。
这可能意味着OpenAI正在准备推出GPT-4.5版本。通常情况下,这样的泄露信息表明模型可能已经在开发或测试阶段。不过,具体发布日期还需要等待官方确认。 https://t.co/YpBCgHJYZy 
AI巨头之战:OpenAI面临前CTO Murati与谷歌双重挑战
这张图反映了人工智能领域的最新动态和潜在冲突:
1. OpenAI的新威胁:
- 前首席技术官Murati可能成为OpenAI的竞争对手,带来新的技术和战略挑战。
2. 谷歌的Mini-ChatGPT时刻:
- 谷歌正在开发自己的AI聊天工具,意图在市场上与OpenAI竞争。这标志着谷歌在AI领域加速追赶的重要时刻。
背后的意义在于,人工智能领域正处于激烈的竞争状态,各大公司都在争夺技术领先地位。这不仅影响市场格局,还可能推动新技术的发展和应用。 
简历定制的艺术:掌握求职成功的六大关键原则
这张图展示了如何优化简历以吸引招聘人员的注意:
1. 原则1:理想化我们的经验
- 确定理想候选人的特征。
- 调整自身经验以匹配这一特征。
- 强调与职位需求相关的技能和经验。
2. 原则2:让故事线条化
- 简化职业路径,使其更直接和聚焦。
- 省略或淡化不相关的经历。
- 将不同经历视作迈向目标角色的垫脚石。
3. 原则3:量身定制每个要点
- 根据职位关键职责调整要点。
- 突出与职位目标一致的成就。
- 使用相关指标和结果。
4. 原则4:使用ATS寻找的关键词
- 将职位描述中的关键词纳入简历。
- 确保简历符合行业语言。
- 使用缩写和完整表达方式覆盖变体。
5. 原则5:通过例子引发兴趣
- 包含引人入胜的例子,引发好奇心。
- 用讲故事的方法使成就更具亲和力。
- 创造让招聘经理想了解更多的吸引点。
6. 原则6:转化弱点为优势
- 识别简历中可能存在的问题。
- 将被认为是弱点的方面转化为优势或学习经历。
- 提供背景,以积极方式重塑任何不足之处。
这些原则帮助求职者打造一个更具竞争力和吸引力的简历,增加获得面试机会的几率。 
揭开经济学诺贝尔奖的奥秘:数字背后的传奇
这张图展示了1969年至2024年间诺贝尔经济学奖的关键数据:
1. 无重复获奖者:
- 没有任何得主获得过两次经济学奖。
2. 年龄范围:
- 最年长得主为90岁,最年轻为46岁。
3. 获奖次数分布:
- 10次颁给了一位得主。
- 20次由两位得主共享。
- 26次由三位得主共享。
4. 总数据:
- 共颁发了56次经济学奖。
- 总共有96位获奖者。
这幅图不仅仅是数字的展示,更反映了经济学界在不同年龄和合作模式下的多样性和成就。 
多巴胺受体敏感性提升指南:饮食、运动与生活方式的全面策略
修复多巴胺受体的敏感性和活性需要解决多巴胺受体去敏感化或下调的根本原因。通过一些生活方式的改变、饮食干预以及潜在的治疗方法,可以帮助提高多巴胺受体的敏感性。以下是一些关键策略:
饮食干预
1. Omega-3脂肪酸:富含于鲑鱼等鱼类及补充剂中,Omega-3脂肪酸已被证明可以增强多巴胺受体功能并改善整体脑健康。
2. 益生菌与肠道健康:肠道健康对多巴胺调节有显著影响。富含益生菌的食物(如酸奶、开菲尔和发酵蔬菜)可以积极影响多巴胺水平。
3. 富含酪氨酸的食物:酪氨酸是多巴胺的前体。牛肉、羊肉、鸡蛋和火鸡等食物可以支持多巴胺的产生。
4. 避免糖和加工食品:糖的摄入可能导致多巴胺受体下调并降低对多巴胺的敏感性。
5. 限制咖啡因:咖啡因会暂时提升多巴胺,但长期过量使用可能导致多巴胺受体的敏感性降低。
运动
- 定期身体活动:有氧运动(如跑步或骑自行车)可以刺激多巴胺的释放并增加受体敏感性,同时增强脑源性神经营养因子(BDNF)的产生,促进神经健康。
- 力量训练:抗阻训练也对多巴胺水平和受体功能有积极影响。
睡眠优化
- 充足的睡眠:慢性睡眠不足会降低多巴胺受体的敏感性,特别是在与动机和奖励相关的脑区。优先保证每晚7-9小时的高质量睡眠有助于修复受体功能。
- 生物钟:将睡眠模式与自然生物钟对齐(如在阳光下醒来,避免夜间蓝光)可以增强多巴胺受体的敏感性。
压力减少
- 正念与冥想:压力会随着时间的推移降低多巴胺活动,因此参与正念练习可以减少压力并改善多巴胺受体的敏感性。
- 避免慢性压力:长期暴露于压力激素(如皮质醇)会损害多巴胺受体。深呼吸、瑜伽和渐进性肌肉放松等练习可以帮助管理压力。
禁食与热量限制
- 间歇性禁食:研究表明,周期性禁食可以增加多巴胺受体的敏感性,可能是由于其在减少氧化压力和改善脑可塑性方面的作用。
- 热量限制:一些研究表明,在不营养不良的情况下减少热量摄入可以改善多巴胺受体功能和整体系统健康。
多巴胺激动剂与补充剂(需医疗监督)
- L-DOPA(左旋多巴):用于临床治疗帕金森病,可以增加多巴胺生成。然而,长期使用可能导致受体下调,因此必须密切监测。
- Mucuna pruriens(黧豆):这种草药是L-DOPA的天然来源,可以增加多巴胺水平。
- N-Acetyl-Cysteine(NAC):以其抗氧化特性闻名,NAC被发现可以改善多巴胺传输,并有助于处理涉及多巴胺受体活动障碍的问题,如成瘾。
- 辅酶Q10(CoQ10):CoQ10是另一种支持线粒体健康并改善多巴胺受体活动的补充剂。
冷暴露
冷水淋浴或冰浴已被证明可以随着时间推移增加多巴胺水平并改善受体敏感性。
阳光暴露
自然光有助于调节生物钟并促进大脑奖励系统中的多巴胺生成。
社交互动与新体验
积极社交互动:社交和建立有意义的人际关系能够刺激多巴胺释放并改善受体敏感性。
新的学习体验:参与新活动或学习新技能能够帮助大脑更有效地产生和响应多巴胺。
通过结合这些策略,可以支持恢复与增强多巴胺受体敏感性和活性。重要的是要关注平衡和一致,因为许多变化需要时间才能产生明显效果。
Daron Acemoglu的核心研究方向:
1. 制度经济学:Acemoglu深入研究了制度如何影响经济发展。他提出了"包容性制度"和"榨取性制度"的概念,解释了为什么一些国家繁荣而另一些国家贫困。
2. 技术变革与劳动力市场:他探讨了技术进步如何影响就业和工资不平等,这在当前AI快速发展的背景下尤为重要。
3. 政治经济学:Acemoglu研究了民主、独裁等政治制度如何影响经济增长和分配。
Simon Johnson的主要研究领域:
1. 金融危机与监管:基于他在IMF的经历,Johnson深入研究了金融危机的成因和应对策略。
2. 企业金融:他关注公司治理、创新融资等问题,特别是在新兴市场中。
3. 全球化与经济政策:Johnson研究了全球化对各国经济政策的影响,以及如何在全球化背景下制定有效的经济政策。
James A. Robinson的研究重点:
1. 比较经济发展:Robinson研究了不同国家和地区经济发展的差异及其原因。
2. 政治经济学:他探讨了政治制度如何影响经济政策和经济表现。
3. 经济史:Robinson通过历史视角来理解当前的经济问题,特别是关于不平等和发展的长期趋势。
这三位学者的研究方向虽有不同,但都聚焦于一个核心问题:制度如何影响经济发展和社会繁荣。他们的研究不仅在理论上推动了经济学的发展,更为政策制定者提供了宝贵的洞见。例如,他们的研究表明,建立包容性的政治经济制度对于长期经济增长至关重要。这一发现对发展中国家的经济政策制定产生了深远影响。
此外,他们的研究还强调了历史因素和路径依赖在经济发展中的重要性。这一观点帮助我们更好地理解为什么某些经济政策在不同国家会产生不同效果,从而为制定更有针对性的发展策略提供了理论基础。
总的来说,这三位学者的研究方向代表了当代经济学最前沿和最具影响力的领域之一。他们的工作不仅深化了我们对经济运行机制的理解,也为解决全球性经济问题提供了新的思路和方法。 
据https://t.co/St5O59mmxt分析,2024年诺贝尔经济学奖授予的三位学者背景深厚,他们在经济学领域的贡献举足轻重。让我为您详细解读这三位获奖者的背景:
Daron Acemoglu是麻省理工学院(MIT)的经济学教授,他是当代最具影响力的经济学家之一。Acemoglu出生于土耳其,在英国接受教育,后来在美国发展学术事业。他的研究领域广泛,包括政治经济学、经济发展、劳动经济学等。Acemoglu特别关注制度如何影响经济增长和发展,他的研究对理解国家间经济差异做出了重大贡献。他与James Robinson合著的《国家为什么会失败》一书在学术界和公共政策领域引起广泛讨论,成为解释国家发展差异的重要理论基础。
Simon Johnson同样是MIT的教授,但他的背景更加多元化。Johnson不仅是一位杰出的学者,还曾在实际政策制定中发挥重要作用。他曾担任国际货币基金组织(IMF)的首席经济学家,这段经历让他对全球经济政策有着独特的洞察。Johnson的研究聚焦于金融危机、经济政策和制度改革。他经常就全球经济问题发表见解,是一位活跃的公共知识分子。Johnson的背景使他能够将学术理论与实际政策制定紧密结合,为经济学研究带来了宝贵的实践视角。
James A. Robinson是芝加哥大学的教授,他的学术背景跨越了经济学和政治学。Robinson在哈佛大学获得经济学博士学位,他的研究主要集中在比较经济发展、政治经济学和经济史领域。Robinson与Acemoglu长期合作,共同探讨制度、政治和经济发展之间的关系。他们的研究强调了包容性制度对经济繁荣的重要性,这一观点对发展经济学产生了深远影响。Robinson的跨学科背景使他能够从更广阔的视角来分析经济问题,为理解制度与经济发展的关系提供了独特的洞见。
这三位学者的背景不仅体现了他们在学术研究上的卓越成就,更重要的是展示了他们如何将理论研究与现实世界的问题紧密结合。他们的工作不仅推动了经济学理论的发展,也为解决实际经济问题提供了重要的思路和方法。这次诺贝尔经济学奖的授予,正是对他们在制度经济学和发展经济学领域做出的开创性贡献的肯定。
SpaceX革新太空时代:发射成本狂降十倍!
据https://t.co/St5O59mmxt分析,这张图展示了自1960年以来太空发射成本的显著下降,尤其是由于SpaceX的技术创新。图中显示了不同火箭每公斤的发射成本,从苏联的Soyuz到美国的Saturn V,再到近期的SpaceX Falcon 9和Starship。
1. 早期高昂成本:如Soyuz和Saturn V,成本高达每公斤几千美元。
2. 航天飞机时代:成本依旧高企,空间运输费用成为主要制约因素。
3. 中国长征系列:逐步降低了发射成本,但仍不及后来者。
4. SpaceX的崛起:Falcon 1、Falcon 9、Falcon Heavy大幅降低了成本,Starship预计将进一步优化。
今天,得益于SpaceX的创新,发射一公斤货物进入轨道的费用比十年前低了十倍,这一突破正引领人类进入新的太空探索时代。 
风能霸主:中国引领全球风电装机潮流
据https://t.co/St5O59mmxt分析,2023年全球风电装机容量的分布情况显示,中国以441,895 MW的总装机容量遥遥领先,并且在2013-2023年间实现了19.1%的年均增长率。这一成就巩固了中国作为全球风能领域领军者的地位。
紧随其后的是美国,拥有148,020 MW的装机容量,增长率为9.4%。德国和印度分别位列第三和第四,展现出欧洲和亚洲市场对可再生能源的高度重视。
特别值得注意的是巴西,尽管其总容量为29,135 MW,但以29.5%的惊人增长率位居前列,显示出其在南美洲市场的强劲发展势头。
其他国家如瑞典、土耳其和荷兰也呈现出显著增长,其中瑞典达到14.5%,土耳其15.5%,荷兰14.8%,这些国家在全球可再生能源版图中的重要性日益增加。
总体而言,这些数据揭示了全球对绿色能源的持续投入和风能市场的迅速扩张。各国对可持续发展的承诺正在逐步转化为实际行动,推动全球风电行业不断迈向新高峰。 
肠道微生物的秘密:如何操控你的“大脑指挥中心”
这张图片展示了肠道微生物群与肠道神经系统和中枢神经系统之间的复杂关系。
肠道微生物群
- 微生物和巨噬细胞:肠道内存在多种细菌,与巨噬细胞互动。
- 短链脂肪酸(SCFA):由肠道细菌产生,影响运动、分泌和脑肠信号传导。
- 自由脂肪酸受体:参与信号传导。
肠神经系统
- 嗜铬细胞:产生5-羟色胺(5-HT),一种重要的神经递质。
- 5-HT神经元和胶质细胞:参与信号传递,调节肠道运动。
中枢神经系统
- 情绪调节网络:通过迷走神经与肠道相连,影响情绪。
- 5-HT的作用:影响情绪和运动,通过SCFA和其他机制实现。
具体机制
- 饮食色氨酸(Trp)代谢:在嗜铬细胞中,色氨酸通过TPH1转化为5-HT,再通过MAO代谢成5-HIAA。
- SERT蛋白:再吸收5-HT,调节其水平。
整体而言,这幅图强调了肠脑轴的重要性,即肠道健康与大脑功能密切相关。 
植物王国的隐秘真相:健康饮食背后的挑战!
这张图揭示了植物王国中的一些真相,强调了植物中某些成分对人类健康的潜在影响:
1. 草酸盐 (Oxalates):
- 草酸盐可能导致肾结石等健康问题。
2. 植酸和凝集素 (Phytic Acid & Lectins):
- 这些成分可能影响矿物质吸收,妨碍营养获取。
3. 果糖 (Fructose, NAFLD):
- 过量摄入果糖可能导致非酒精性脂肪肝病(NAFLD)。
4. 不如肉类易于生物利用 (Not as Bioavailable as Meat):
- 植物中的某些营养素不如肉类中的易于被人体吸收和利用。
5. 产生化学毒素 (Produces Chemical Toxins):
- 某些植物可能产生天然毒素,对人体有害。
6. 大多数不易被人类消化 (Most are Indigestible by Humans):
- 人体无法完全消化许多植物纤维和成分。
7. 其他抗营养物质 (Other Antinutrients):
- 存在多种抗营养物质,可能影响健康。
8. 身体疾病 (Physical Ailments):
- 某些植物成分可能引发或加重身体不适。
这幅图旨在提醒人们对植物食物中的某些成分保持警惕,注意饮食均衡。 
破解思维密码:掌握世界的14个关键概念
这张图展示了14个强大的思维概念,每个概念都有助于我们更好地理解和应对生活中的各种挑战。以下是详细解读:
1. 时间亿万富翁:珍惜时间资源,选择能最大化时间价值的路径。
2. 费曼技巧:通过简化复杂问题来学习,步骤包括识别主题、解释、填补知识空白和回顾。
3. 劝说悖论:劝说他人更有效的方法是倾听、观察和提问,而不是争辩。
4. 财富的五种类型:财富不仅仅是金钱,还包括社会关系、健康、知识和时间。
5. 智力对抗伙伴:与具有挑战性的人交朋友,以激发深度思考。
6. 努力悖论:简单易行的表现往往需要更多努力,不要被表面迷惑。
7. 希钦斯剃刀:没有证据支持的断言可以无视,节省无意义争论的时间。
8. 沉没成本谬误:不要因为已投入成本而继续不合理的决策,要关注未来成本。
9. 乐观主义者剃刀:选择与积极的人共度时光,他们能带来更多机会。
10. 天堂奖励谬误:不要期望所有努力都会被认可,接受现实可能会被忽视。
11. 损失厌恶:人们更害怕失去而不是获得,需克服这种偏见以追求增长。
12. 用进废退法则:工作会膨胀到填满所有可用时间,设定固定工作时间以提高效率。
13. 聚光灯效应:人们高估他人对自己行为的关注程度,不要过于在意他人的看法。
14. 天真现实主义:我们倾向于认为自己的观点是唯一正确的,需要意识到这一错误以解决冲突。
这些概念帮助我们反思日常决策和互动,提高思维方式的有效性。 
构建高效系统架构的终极模板
核心组件解读
1. 客户端请求处理
- 通过DNS和负载均衡器分发请求。
- API网关负责认证、授权、速率限制等功能。
2. 数据处理与存储
- 元数据服务器:负责读取和写入元数据。
- 块服务器:处理图像、视频等大文件的存储。
3. 缓存与搜索优化
- 使用Redis或Memcached进行缓存,加快数据访问速度。
- ElasticSearch用于高效的搜索索引。
4. 内容分发网络(CDN)
- 提供静态内容的快速分发,提高用户访问速度。
5. 视频处理与队列管理
- 视频处理服务通过队列协调多个工作节点完成任务。
6. 数据分析与报告生成
- 数据通过Hadoop、Spark等工具进行处理,生成报告和指标。
7. 系统协调与监控
- 使用Zookeeper进行服务协调,分布式日志记录和追踪保证系统稳定性。
这个模板提供了一个全面的视角,让你了解如何设计一个高效、可扩展的大型系统架构,适用于各种复杂应用场景。 
使用ChatGPT轻松赚取电子书收入的完整指南
1. 利用ChatGPT构思书籍创意
- 寻找创意:询问趋势话题或常见问题。
- 选择利基市场:高需求、低竞争、符合兴趣。
2. 使用ChatGPT规划书籍大纲
- 生成大纲:详细分章节和子标题。
- 逻辑流程:从基础到高级概念,问题到解决方案。
3. 分章节写作
- 逐章撰写:保持一致性,个性化内容。
- 彻底编辑:校对和确保原创性。
4. 基本格式设置
- 使用标题:章节用H1,子标题用H2。
- 行间距设置:使用1.15或1.5倍行距。
- 页面分隔与风格一致性。
5. 添加到Amazon Kindle
- 创建账户并输入信息:标题、作者名等。
- 写作描述:利用ChatGPT撰写有吸引力的描述。
6. 设计醒目的封面
- 使用Canva设计,确保尺寸正确且设计引人注目。
7. 为新书定价
- 研究竞争对手定价,选择合适的版税选项。
- 设定价格策略,考虑促销活动。
8. 营销你的书籍
- 社交媒体推广:利用Facebook、Twitter等平台。
- 使用亚马逊广告和邮件列表进行推广。
这个指南为你提供了通过ChatGPT创造、发布和推广电子书的全流程策略,从构思创意到市场营销,让你轻松在电子书领域获利。 
电磁定律的精彩世界:从安培到法拉第
这张图展示了四个重要的电磁定律,每个定律在电学和磁学中都有着独特的地位和作用。
1. 安培环路定律(Ampere's Circuital Law):
- 描述了电流产生的磁场与电流大小成正比。
- 使用右手定则来确定磁场方向。
2. 基尔霍夫定律(Kirchhoff's Law):
- 包括两部分:电流定律和电压定律。
- 电流定律:进入节点的总电流等于离开节点的总电流。
- 电压定律:闭合回路中的总电压降为零。
3. 楞次定律(Lenz's Law):
- 说明感应电流方向会抵抗引起它的磁场变化。
- 强调了能量守恒原则。
4. 法拉第电磁感应定律(Faraday's Law of EMI):
- 介绍了在变化的磁场中,导体中会产生感应电动势。
- 第一和第二定律描述了感应电动势与磁通量变化率的关系。
这些定律共同奠定了现代电子技术和电气工程学的重要基础,是理解和应用电磁现象的关键。 
增强大脑的十大秘诀:激发你的潜能!
1. 自然接触:将脑波调整至Theta频率,进入冥想状态。
2. 运动:促进血液流动,增加积极情绪激素和大脑生长因子。
3. 健康脂肪:为大脑和神经元提供基础构建材料。
4. 清洁饮水:保护大脑细胞功能,帮助排毒。
5. 学习:刺激神经可塑性和新神经元生成,保持大脑年轻。
6. 睡眠:清除脑内毒素,减少炎症。
7. 冥想:减轻压力,提高左右脑协调性。
8. 阳光照射:调节情绪和激素,是昼夜节律的重要因素。
9. 抗氧化剂:保护大脑免受毒素和细胞损伤,减少炎症。
10. 冷暴露:减少炎症,促进积极情绪激素的产生。
这些策略不仅能增强认知功能,还能提升整体生活质量。快来尝试吧! 