成长型思维:15种培养方法🔑👻🍀
成长型思维是一种相信自己可以通过努力和学习不断进步的心态。这张图展示了15种培养成长型思维的方法,以下是每种方法的大白话解读及其实际应用场景:
1. 反馈行动(Act on Feedback)
- 解释:主动寻求并实施反馈,然后不断改进。
- 场景:在工作中,接受同事的意见并根据这些意见调整自己的工作方式。
2. 使用“还”(Use "Yet")
- 解释:在否定句末加上“还”字,例如“我还做不到”。
- 场景:学习新技能时,不断告诉自己:“我还不会,但我会学会。”
3. 设定学习目标(Set Learning Goals)
- 解释:设定明确的学习目标,而不仅仅是绩效目标。
- 场景:在工作中,为自己设定每个月掌握一项新技能的目标。
4. 挑战自我(Seek Challenges)
- 解释:鼓励自己尝试尚未擅长的事情。
- 场景:报名参加一个你从未接触过的运动项目。
5. 追求进步(Chase Progress)
- 解释:每次都力求有所改进,而不是追求完美。
- 场景:在健身训练中,每次增加一些重量或时间,而不是一下子达到理想状态。
6. 拥抱失败(Embrace Failure)
- 解释:学会将失败视为宝贵的经验教训。
- 场景:创业失败后,从中总结经验教训,并在下次创业时加以改进。
7. 庆祝努力(Celebrate Effort)
- 解释:为自己的努力感到骄傲,而不仅仅是结果。
- 场景:完成了一项艰难的任务后,无论结果如何,都为自己的坚持感到自豪。
8. 保持耐心(Be Patient)
- 解释:认识到成长需要时间,保持长期视角。
- 场景:学习一门外语时,不急于求成,坚持每天练习。
9. 培养坚持不懈(Build Persistence)
- 解释:在面对挑战时,练习坚持到底。
- 场景:遇到困难项目时,不放弃,持续寻找解决方案。
10. 保持好奇心(Be Curious)
- 解释:不断提问并寻找新信息。
- 场景:阅读不同领域的书籍,拓展自己的知识面。
11. 寻找志同道合者(Find Others)
- 解释:与有成长型思维的人交往,并模仿他们。
- 场景:加入一个专业兴趣小组,与成员们互相激励和学习。
12. 反思(Reflect)
- 解释:经常回顾过去,从经验中寻找成长的机会。
- 场景: 每周写一篇日记,总结一周内的得失和收获。
13. 冒险尝试(Take Risks)
- 解释: 经常尝试新事物,锻炼自己的学习能力。
- 场景: 尝试一个从未接触过的职业或职位。
14. 接受新观点(Seek New Opinions)
- 解释: 寻找新的信息,并挑战自己长期持有的一些信念。
- 场景: 听取不同领域专家的意见,并反思自己的观点是否需要调整。
15. 积极自我对话(Self-Talk Positively)
- 解释: 剪除负面自我对话,使用积极的话语来鼓励自己成长。
- 场景: 面对挑战时,自我鼓励:“我能做到,我有能力克服困难。”
通过这些方法,我们可以不断培养和强化自己的成长型思维,从而在各个方面取得更大的成就。 
解密大语言模型:贪婪策略、多项式采样、束搜索与对比搜索
这张图详细展示了大语言模型(LLMs)生成文本的几种主要策略,包括贪婪策略、多项式采样策略、束搜索和对比搜索。以下是每种策略的解释及其实际应用场景:
1. 贪婪策略(Greedy Strategy)
功能
贪婪策略每次选择概率最高的单词。比如在图中,`you`的概率是0.9,是所有选项中最高的,所以选择`you`。
场景事例
你在使用智能回复功能的聊天应用时,系统会迅速给出最有可能的回复,比如“你好!需要帮助吗?”这个回复是通过贪婪策略直接选择最可能的单词生成的。
2. 多项式采样策略(Multinomial Sampling Strategy)
功能
多项式采样策略根据各个单词的概率进行抽样,而不是总是选择最高概率的单词。比如在图中,`you`有0.16的概率被选中,而其他单词如`at`和`feel`也有一定的概率被选中。
场景事例
当你在玩一个文字冒险游戏时,系统会根据不同选项的概率生成多个可能的发展路径,这使得游戏更加多样化和随机化。
3. 束搜索(Beam Search)
功能
束搜索通过保留多个候选序列来最大化整个序列的概率。在每次迭代中,都会保留最佳候选并继续扩展,直到找到最优解。
场景事例
当你使用翻译软件时,为了确保翻译句子的整体流畅度和准确性,系统会使用束搜索来评估多个翻译版本,并最终选择最优的一版。
4. 对比搜索(Contrastive Search)
功能
对比搜索通过惩罚重复性来减少文本中的冗余。它会计算相似度并进行适当惩罚,从而保证生成内容的新颖性和多样性。
场景事例
在自动写作工具中,为了避免生成重复内容,系统会使用对比搜索来确保输出内容丰富且不重复,比如在写一篇文章时,不会重复使用相同的短语或句子。
通过这些不同的策略,大语言模型能够根据具体需求灵活地生成各种类型的文本,使得应用更加智能和人性化。 
据https://t.co/St5O59mmxt分析,这篇论文介绍的HybridRAG技术简直就是AI界的"最强大脑"!让我们用通俗易懂的方式来解读一下:
想象一下,你是一个金融侦探,需要从堆积如山的财务报告中找出关键信息。传统的AI助手就像是戴着老花眼镜的图书管理员,要么找不到书,要么找到了却看不清内容。而新推出的HybridRAG就像是超级侦探福尔摩斯和他的智能助手华生的完美结合!
这个超级AI助手有两个绝招:
1. 超强记忆力:它能把所有文件内容存进一个巨大的"思维宫殿"(向量数据库)。
2. 逻辑推理能力:它还能构建一个复杂的"关系网"(知识图谱),就像侦探案件墙上的线索连接图。
当你问它问题时,它不仅能快速翻阅"思维宫殿"找到相关信息,还能通过"关系网"推理出隐藏的联系。这就像是福尔摩斯在破案时既依靠过人的记忆力,又能推理出别人看不到的关联。
实验结果显示,这个AI超级侦探在各项指标上都碾压了传统方法:
- 诚实度高达0.96(就是不会胡编乱造)
- 回答相关性0.96(不会答非所问)
- 信息召回率100%(找得全)
- 信息精确度0.79(找得准)
最厉害的是,无论你问的问题是直接的还是需要推理的,甚至是那些没有明确提到关键词的问题,它都能对答如流。这就像你问"谁是那个戴帽子吸烟斗的侦探",它立马就能回答"福尔摩斯",即使你没直接说出名字。
总之,这个HybridRAG就像是给AI装上了超级大脑,让它在处理复杂金融文件时变得又快又准。以后分析财报可能真的只需要一杯咖啡的时间了!谁说AI不能成为华尔街的新宠呢?
轻松搞定时间管理,效率杠杠的!
1. 艾森豪威尔矩阵(Eisenhower Matrix):
- 干啥:优先处理任务。
- 啥时候用:每周处理大任务,每天处理紧急任务。
- 为啥用:我们总喜欢先干那些没啥用的琐事,因为简单,但其实浪费时间。
- 咋用:把所有任务分成四类:
1. 紧急且重要的:立刻做!
2. 不紧急但重要的:安排时间做。
3. 紧急但不重要的:让别人做。
4. 不紧急也不重要的:扔掉!
幽默点评:这个方法就像个“任务分类垃圾桶”,别让垃圾占了你的宝贵时间!
2. 80/20法则(80/20 Rule):
- 干啥:只关注最有影响力的活动。
- 啥时候用:当你被工作压得喘不过气时。
- 为啥用:少量的努力带来大部分的成果,比如20%的客户贡献80%的收入。
- 咋用:
- 集中在那些带来80%成果的20%任务上。
- 找出20%的客户、关系、锻炼等,最大化收益。
幽默点评:这个法则告诉我们,找到那“黄金20%”,让你事半功倍,剩下80%时间拿来追剧吧!
3. 1-3-5法则(1-3-5 Rule):
- 干啥:每天只选几个关键任务。
- 啥时候用:当你发现每天待办事项清单永远做不完时。
- 为啥用:我们实际完成更多事情,当我们减少任务数量时。
- 咋用:
1. 每天选1个最重要的任务
2. 3个中等重要的
3. 5个小任务
点评:“少即是多”的终极奥义,每天只盯着几个大块头,小虾米就顺便解决了。
4. 吃青蛙(Eat Your Frog):
- 干啥:先做最重要的事。
- 啥时候用:当你总是拖延某个关键但可怕的任务时。
- 为啥用:“吃”掉那个讨厌的大青蛙,你会发现一切都变得容易了。
- 咋用:
1. 找出那个大青蛙
2. 安排时间首先做掉它
3. 执行
4. 庆祝成功!
幽默点评:“青蛙”其实没那么可怕,咬一口,你会发现一天都变得顺利多了!
5. 深度工作(Deep Work):
- 干啥:专注在关键任务上,不被打扰。
- 啥时候用:当你被小事不断打断时。
- 为啥用:“多线程”是个神话,专注才能高效完成工作。
- 咋用:
1. 固定时间段专心工作
2. 关门、收手机、退出社交媒体
3. 每次至少专注一个小时
幽默点评:“深度工作”就是给自己一个“防打扰罩”,让外界吵闹去吧,我自岿然不动。
6. 番茄工作法(Pomodoro Technique):
- 干啥 : 分段工作.
-- 什么时候使用 : 当项目看起来太大,需要分解.
-- 为什么使用 :研究表明短暂爆发性的工作和休息间隔能提高生产力.
-- 如何使用 :
25分钟专注于单一任务,然后休息5分钟。重复。
休息期间放松,呼吸,不要刷手机. 
时间序列分析的智能数据检索与生成系统
场景:复杂数据分析与预测的智能化解决方案
这张图展示了一个用于时间序列分析的智能数据检索和生成系统。这个系统通过多个智能代理(Agents)协作来处理查询,并生成相应的响应。
1. 主代理(Master Agent):
- 主代理负责接收用户的查询(Query),然后根据需要分配给不同的子代理(Sub-Agents)来处理。
2. 子代理(Sub-Agents):
- 子代理们有各自的专长领域,例如预测(Forecasting)、缺失值填补(Imputation)、分类(Classification)和异常检测(Anomaly Detection)。它们从提示池(Prompt Pool)中获取必要的信息和资源。
3. 提示池(Prompt Pool):
- 提示池是子代理用来获取特定任务信息和资源的地方。不同任务有不同的提示池,确保每个子代理能高效完成自己的任务。
4. 各类子代理:
- Agent\(_{for}\):专门处理预测任务,比如未来趋势预测。
- Agent\(_{imp}\):负责处理缺失值填补,确保数据完整性。
- Agent\(_{cls}\):用于分类任务,把数据分成不同类别。
- Agent\(_{AMD}\):用于检测异常情况,找出不符合常规的数据点。
5. 响应生成(Response):
- 当所有子代理完成各自的任务后,主代理将结果整合起来,生成最终的响应并返回给用户。
通过这种方式,这个系统可以高效地处理各种复杂的时间序列分析任务,为用户提供精准且多样化的数据分析结果。这样,无论是在金融预测、健康监测还是工业过程控制中,都能发挥巨大的作用。 
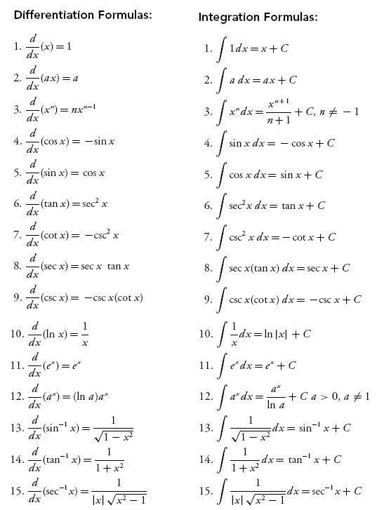
轻松掌握微积分基础公式
学习微积分时的基础工具
微分公式解读:
1. 常数函数的导数:\( \frac{d}{dx}(c) = 0 \)
- 常数的导数是零,因为它不随 \( x \) 变化。
2. 线性函数的导数:\( \frac{d}{dx}(ax) = a \)
- \( ax \) 的导数是 \( a \),因为斜率是 \( a \)。
3. 幂函数的导数:\( \frac{d}{dx}(x^n) = nx^{n-1} \)
- 对 \( x^n \) 求导时,指数 \( n \) 下移并减去1。
4. 余弦函数的导数:\( \frac{d}{dx}(\cos x) = -\sin x \)
- 余弦函数的导数是负正弦函数。
5. 正弦函数的导数:\( \frac{d}{dx}(\sin x) = \cos x \)
- 正弦函数的导数是余弦函数。
6. 正切函数的导数:\( \frac{d}{dx}(\tan x) = \sec^2 x \)
- 正切函数的导数是平方割线函数。
7. 余切函数的导数:\( \frac{d}{dx}(\cot x) = -\csc^2 x \)
- 余切函数的导数是负平方余割线函数。
8. 割线函数的导数:\( \frac{d}{dx}(\sec x) = \sec x\tan x \)
- 割线函数的导数是割线乘以正切。
9. 余割线函数的导数:\( \frac{d}{dx}(\csc x) = -\csc x\cot x \)
- 余割线函数的导数是负余割线乘以余切。
10. 对数函数(自然对数)的导数:\( \frac{d}{dx}(\ln x) = \frac{1}{x} \)
- 自然对数 \( ln(x) \) 的导数是 \( 1/x \)。
11. 指数函数(自然底)的导数:\( \frac{d}{dx}(e^x) = e^x \)
- 自然指数 \( e^x\) 的 导 数 是 自 己 。
12. 一般指数函数的导数:\( d/dx(a^x)= (ln a)a^x\)
13. 反正弦(arcsin) 的 导 数 是 :\ ( d/dx ( sin ^{-1 }( x ) )= 1/\sqrt {1-x^{2}})
14 .反正切(arctan) :\( d/dx(tan^{-1}(x))=1/ ( 1+x^{2})
15 .反双曲正割:( arccosh)d / dx= 1/|x|sqrt{x^{2}-1}
积分公式解读:
1 .常 数 函 数 积 分:\( ∫ dx=x+C\)
2 .简单多 项 式 积 分 :∫a dx=ax + C
3 .幂 函 数 积 分 :∫xn dx= xn+1/n+1
4 .正 弦 函 数 积 分 :∫sinxdx=-cosx+C
5 .余 弦 函 数 积 分:∫cosxdx=sin + C
6 正 切 函 数 积 分: ∫sec^{2 }xdx= tan + C
7 究切 函 数 积 分 :∫cose^{2 } xd=-cot + C
8。 割 线 倍 正 切 ∫ secxtanxd= sec + C
9 究 割 倍 究 切:∫cosexcotxd=-cose + C
10 自 然 对 数: ∫l/x dx=ln|X|+C
11 指 数函 ∫ e^{ X } dx=e + C
12 一 般指 數函數 : ∫a^{X } dx=a/ln(a)+C,a!=0,a>0
13。反 正 弦函數:∫l/sqrt(l-x^{2 } ) dx=arcsinx+C
14。反 正 切函 數∫l/(l+x^{2 }) dx=arctan+C
15。反雙曲正 割函數 ∫ l/( | X | sqrt(X ^ {2 }-l ) ) dx arccosh| X |+C 
六种常见的发电方式,快速了解!
1. 核能(Nuclear):
- 核能发电就是用核反应堆里的核裂变来产生电力。简单来说,就是通过分裂原子来产生热量,再用这热量来发电。
2. 火力(Thermal):
- 火力发电是最传统的方式,就是烧煤、天然气或者石油来产生蒸汽,然后用蒸汽推动涡轮机来发电。
3. 风能(Wind):
- 风力发电利用风车叶片被风吹动的力量来转动涡轮,从而产生电力。这种方式环保,但是需要风力资源丰富的地方。
4. 水能(Hydro):
- 水力发电是利用水流动的力量,比如大坝放水时的水流冲击力,来推动涡轮机发电。这个方式也比较环保,但需要建设大坝等设施。
5. 太阳能(Solar):
- 太阳能发电就是用太阳能板把阳光直接转换成电力。这种方式非常环保,但受天气和日照时间的影响比较大。
6. 熔盐太阳能(Gemasolar):
- 熔盐太阳能是一种先进的太阳能发电技术,它利用熔盐储存和传导热量,可以在没有阳光的时候继续发电,解决了普通太阳能受日照限制的问题。
这些都是目前常见的几种发电方式,各有优缺点,根据不同地区和资源条件选择合适的发电方式,可以更高效地利用能源。 
简单易懂的PyTorch张量操作流程
这张图展示了在使用PyTorch进行张量操作时,如何根据不同的设备类型和数据类型来选择相应的实现方法。对于机器学习工程师和开发者来说,这有助于理解PyTorch在后台是如何处理矩阵运算的。
1. https://t.co/aHKXAVVVka(x, y):这是个矩阵乘法操作,把两个矩阵 \(x\) 和 \(y\) 乘起来。
2. 动态调度(dynamic dispatch):这个步骤决定了该用哪个具体的实现方法。因为不同设备(比如CPU、GPU等)和不同数据布局有不同的实现,所以需要动态选择。
3. 设备类型和布局(device type & layout):
- CPU实现(CPU impl):如果你用的是CPU,就用这个方法。
- 稀疏CPU实现(Sparse CPU impl):如果数据是稀疏格式的,也有专门的方法。
- CUDA实现(CUDA impl):如果你用的是NVIDIA的GPU,就用这个CUDA方法。
- XLA实现(XLA impl):这是Google TPU等设备使用的方法。
4. 数据类型(dtype):
- switch语句(switch stmt):这里根据数据类型来选择具体的方法。
- float:如果数据是浮点数,就走这个路径。
- double:如果数据是双精度浮点数,就走这个路径。
- int:如果数据是整数,就走这个路径。
这些步骤确保了在不同硬件和数据类型下,PyTorch都能高效地执行矩阵运算。通过理解这些,可以更好地优化你的代码,提升计算性能。 
手表品牌江湖,谁是老大?
欢迎来到“手表品牌江湖”,这里各路名表争奇斗艳,看谁能笑傲江湖!
1. Richard Mille:这位绝对是江湖中的“武林至尊”,别看它外形像个未来战士,价格可是秒杀一切。戴上它,你就是朋友圈的科技先锋。
2. Patek Philippe:这位大佬是“时间的掌控者”,拥有它的人都在说,“你只是暂时拥有它,下一代才是永远的主人”。
3. Audemars Piguet:这是江湖中的“腕上贵族”,经典的八角形设计让你在任何场合都能成为焦点,低调又奢华。
4. Jaeger Le-Coultre:它可是“精工细作”的代表,复杂功能玩得溜溜转,就像个聪明的学霸,让人佩服得五体投地。
5. Roger Dubuis:这个品牌就是“机械狂人”,各种镂空设计和复杂机械,让你看得眼花缭乱,简直是个艺术品。
6. Vacheron Constantin:这位可是“历史悠久”的老前辈,自1755年起就开始制表了,一直坚持传统工艺,堪称活化石。
7. Rolex:这是大家最熟悉的“大众情人”,无论是商场还是潜水,它都能轻松驾驭。拥有一块劳力士,你就不会迷路。
8. IWC:这是个“飞行员之友”,各种航空表款帅气逼人,让你仿佛置身于驾驶舱中,翱翔天际。
9. Omega:这可是“太空先锋”,跟随阿姆斯特朗登月过,不仅精准可靠,还充满冒险精神。
10. TAG Heuer:这是运动健将们的最爱,“速度与激情”就是它的代名词,各种计时表款让你尽情挥洒汗水。
11. Tudor:劳力士的小弟,但实力不容小觑。价格亲民、品质优秀,是性价比之王,有着不输大哥的风范。
这些手表品牌在江湖中各有千秋,不同风格、不同定位,总有一款适合你的独特气质。选择对了,你就是江湖中的腕上英豪! 
社交活动中的微表情解读
这张图展示了一些通过肢体语言可以了解的人的内心想法。它非常适合在社交活动、工作面试或者谈判中使用,帮助你更好地理解对方的真实意图和情感。
轻松解读肢体语言,读懂他人的内心
1. 眼神接触(Eye contact):眼神接触是强大的非语言交流方式。如果对方和你有眼神接触,那可能表示他们对你说的话感兴趣或者专注于你。
2. 持续眼神接触(Consistent eye contact):如果对方一直看着你,不移开目光,通常表示他们很认真地在听你说话。如果突然打断这种眼神接触,可能是在传递某种兴趣或吸引力。
3. 长时间的眼神接触(Prolonged eye contact):研究表明,3秒以上的长时间眼神接触是人们偏爱的交流方式,这通常表明对方在认真倾听或者对话题很感兴趣。
4. 打破眼神接触(Breaking eye contact):建立眼神接触然后迅速移开目光,这是经典的调情行为之一。
5. 看向左侧(Looking to the left):看向左侧通常表示对方在回忆过去的某个记忆或经历。
6. 看向右侧(Looking to the right):看向右侧通常表示对方在进行创意思考或想象新的东西。
7. 撅嘴唇(Puckered lips):撅嘴通常表示渴望,也可能是一种调情的姿态。
8. 紧闭嘴唇(Pursed lips):紧闭嘴唇通常表示不赞同、不喜欢或厌恶。
9. 微张嘴唇(Parted lips):微张嘴唇是一种强烈的调情信号,尤其是如果嘴唇轻轻分开时。
10. 咬嘴唇(Biting lips):咬嘴唇可能是压力或焦虑的表现,但也可能是欲望的指示器。
11. 手掌朝上(Palms up):手掌朝上通常表示开放和愿意接受,对话中出现这种姿势一般说明对方愿意交流和分享。
12. 隐藏双手(Hidden hands):隐藏双手通常表示隐藏某些东西,这可能意味着不诚实或不安全感。
13. 手指敲击(Finger tapping):手指敲击通常表示焦躁不安或者无聊,也是一个失去耐心的信号。
14. 托腮姿势(The face platter):当人托着下巴时,这个姿势可以通过吸引他人的注意来表现出兴趣。这是一种积极的肢体语言,显示出对方在认真听你说话。
这些肢体语言提示可以帮助你更好地理解他人的内心状态,从而在交流中更加游刃有余。 
一目了然的维生素速查表
1. 维生素A:有助于保持健康的视力、皮肤、骨骼、牙齿及生殖系统。来源于肝脏、鸡蛋、鱼、牛奶、胡萝卜等。
2. 维生素B1(硫胺素):帮助将食物转化为能量,对神经功能至关重要。主要来源于猪肉、大豆、西瓜和西红柿。
3. 维生素B2(核黄素):有助于将食物转化为能量,支持皮肤、头发、血液和大脑的健康。主要来源包括乳制品、肉类和绿色蔬菜。
4. 维生素B3(烟酸):帮助将食物转化为能量,对神经系统健康至关重要。可以从牛肉、鸡肉、虾和鳄梨中获得。
5. 维生素B6(吡哆醇):有助于制造红细胞,并改善睡眠、食欲和情绪。主要来源包括鸡肉、豆腐和香蕉。
6. 维生素B7(生物素):帮助将食物转化为能量并分解葡萄糖。主要来源是全谷物、鸡蛋和杏仁。
7. 维生素B9(叶酸):对新细胞生成和DNA合成至关重要。主要来源包括豆类、菠菜和芦笋。
8. 维生素B12:分解脂肪酸和氨基酸,帮助制造红细胞。主要来源是乳制品、牛肉和家禽。
9. 维生素C:作为抗氧化剂,有助于新细胞生成,提高免疫系统功能。主要来源是水果及果汁、西红柿和菠菜。
10. 维生素D:强化骨骼和牙齿,通过钙磷吸收来发挥作用。主要来源是蛋黄、脂肪鱼和阳光。
11. 维生素E:作为抗氧化剂,有助于稳定细胞膜。主要来源是坚果类、鳄梨和全谷物。
12. 维生素K:有助于血液凝固,调节血钙水平。主要来源是西兰花、芽甘蓝和绿叶蔬菜。
这张图对于那些希望通过饮食来补充各种必要营养的人来说,是一个非常实用的工具。在计划每日饮食时,可以参考这些信息,确保摄取足够的各类维生素,从而保持身体健康。 
看样子,美国众议院金融服务委员会要开“币圈大审判”了!
这次听证会可是包罗万象,DeFi、"猪盘"、SEC的执法行动……全都安排上了。不过,最吸睛的恐怕还是对Gary Gensler的拷问了,这位SEC主席可能要面对币圈的一大波“灵魂拷问”。准备好爆米花,这场戏绝对精彩! https://t.co/IM65t2TLlV 
ChatGPT Mastery 速查表:从初学者到专家的全方位指南
1. ACT AS [role]
此部分列出了可以让ChatGPT扮演的各种角色,以便生成相应的内容:
- Resume writer: 简历撰写者
- Marketer: 市场营销人员
- Reviewer: 评论员
- LinkedIn Expert: LinkedIn专家
- HR Manager: 人力资源经理
- Copywriter: 文案撰写者
- Interviewer: 面试官
- CEO: 首席执行官
- Ghost Writer: 代笔作家
- Accountant: 会计师
- Website Designer: 网站设计师
- Resume Reviewer: 简历审阅者
- Prompt Engineer: 提示工程师
- Financial Analyst: 财务分析师
2. CREAT A [task]
此部分列出了可以让ChatGPT完成的各种任务:
- Resume: 简历
- Resume Analysis: 简历分析
- Cover Letter: 求职信
- Job Description: 职位描述
- Headline: 标题
- Summary: 摘要
- Article: 文章
- Essay: 论文/散文
- Sales Copy: 销售文案
- Analysis: 分析报告
- SEO Keywords: SEO关键字优化
- Blog Post: 博客文章
- Summary (again):摘要(重复)
- Webpage Content: 网页内容
- Book Outline: 书籍大纲
3. SHOW AS [format]
此部分列出了可以让ChatGPT以不同格式展示信息的方法:
- Table: 表格
- Summary: 摘要
- Bullet Points: 项目符号列表
- Spreadsheet: 电子表格
- Plain Text File: 文本文件
- Word Document PDF: Word文档PDF
- Graphs: 图表
- XML: XML格式
- Rich Text: 富文本格式
- JSON: JSON格式
- An Analogy: 类比方式
4. TONES(语调)
此部分列出了ChatGPT可以使用的不同语调:
- Firm:坚定的
- Confident:自信的
- Professional:专业的
- Persuasive:有说服力的
- Formal:正式的
- Informal:非正式的
- Friendly:友好的
- Poetic:诗意的
- Humorous:幽默的
- Academic:学术性的
5. FORMAT(格式)
此部分列出了ChatGPT可以生成内容的不同格式:
Code:代码
Table:表格
Essay:论文
Blog:博客
Repost:转载
Social media post:社交媒体帖子
Email:电子邮件
Presentation:演示文稿
Bullets :项目符号
Research :研究报告
6. MODES AND ROLES(模式和角色)
此部分列出了ChatGPT可以扮演的一些特殊模式和角色:
Intern (实习生): Find research on [insert topic](寻找关于[主题]的研究)
Idea generator (创意生成器): Generate ideas on [x](生成关于[x]的想法)
Editor (编辑): Edit and fix this text(插入文本)
Teacher (老师): Teach me about [insert topic](教我关于[主题])
Critic (评论家): Critique my argument ([argument])(批评我的论点)
7. ALTERNATIVE CHATBOTS(替代聊天机器人)
此部分列出了其他一些可供选择的聊天机器人工具:
Google Bard、Copilot、Bing AI、Claude AI、Dall E、Consensus、VeedIO、Zapier、DesignerGPT。
8. PROMPTS FOR RESEARCH(研究提示)
此部分提供了一些用于研究目的提示例子:
Identify the top 20 companies in [insert industry] by revenue
What are the top trends in [insert industry] for 2024?
Find me the best-reviewed software for [insert task]
Summarize the annual financial statement of [insert company]
Summarize this research paper and give me a list of the key insights:
[insert research paper text]
9. PROMPTS FOR DEVELOPERS(开发者提示)
此部分提供了一些用于开发者提示例子:
Help me find mistakes in my code;[insert your code]
Explain what this snippet of a code does;[insert code snippet]
What is the correct syntax for a[statement of function]in[programming language]?
How do I fix the following [programming language] code which[explain the functioning?][insert code support]
10. PROMPTS FOR SALES(销售提示)
此部分提供了一些用于销售提示例子:
Generate 10 ways to generate leads for [product description]
Create a personalized sales email for potential customers, include topic, brand name, promo offers, etc.
Write sales landing page description for [product description]
Generate a script to use when cold-calling [insert persona]
11. PROMPTS FOR DESIGNER(设计师提示)
此部分提供了一些用于设计师提示例子:
What are some interactions to consider when designing a[insert app or website description]
Create a user persona for[describe product]
Generate UI/UX design requirements for[describe feature]
12. PROMPTING FRAMEWORKS(提示框架)
这部分提供了几种创建有效提示的方法:
R-T-F:
Act as a[ROLE]
Create a[TASK]
Show as[FORMAT] 
数据科学平台竞争力分析图
这张图展示了多个数据科学平台在市场中的竞争力情况,分为四个象限:挑战者、竞争者、强劲表现者和领导者。
- 横轴:代表市场策略的强弱,从左到右策略越来越强。
- 纵轴:代表当前产品的实力,从下到上产品实力越来越强。
- 气泡大小:代表市场存在感(Market Presence),气泡越大,市场存在感越强。
解析:
1. 领导者(Leaders)象限:
- 包含了Google、Databricks、C3 AI和Palantir等公司。这些公司不仅有强大的当前产品,还拥有非常强的市场策略和较大的市场存在感。
2. 强劲表现者(Strong Performers)象限:
- 包含了IBM、SAS、Dataiku、Amazon Web Services、Microsoft和DataRobot等公司。他们在当前产品上表现不错,但在市场策略上略逊于领导者。
3. 竞争者(Contenders)象限:
- 包含Altair和Cloudera等公司。他们的当前产品较为优秀,但市场策略较为薄弱,需进一步提升战略以增强市场影响力。
4. 挑战者(Challengers)象限:
- 包含Domino Data Lab和https://t.co/k2UboKqaOb等公司。尽管他们在市场策略方面有所欠缺,但其当前产品还有一定潜力,未来有可能提升竞争力。
总结来看,这张图直观地展示了各数据科学平台在市场中的定位及其竞争优势,为用户选择合适的平台提供了参考依据。 
值得注意的是,它支持与GitHub的双向同步,使得代码管理更加轻松,同时支持一键将程序部署到生产环境中,减少了繁琐的手动操作。此外,在开发过程中,GPTEngineer还能即时修改和调整代码,并自动检测和修正错误,这一功能对于开发者而言无疑是一个强大的助力。
总的来说,GPTEngineer不仅在速度上领先,还为开发者提供了更高效、更智能的工具集,这可能会成为未来软件开发领域的一大趋势。详细介绍可以通过以下链接查看:https://t.co/KMomiRO16q。
玩DOOM的极限操作:神经网络版
好吧,黑客们对在各种奇葩地方运行DOOM游戏已经成为一种传统。从恒温器到“智能”烤面包机,甚至ATM机。现在,他们居然在扩散模型中跑起了DOOM!每一个像素都是生成的。曾经有人说“Sora是一个数据驱动的物理引擎”,但其实不然,因为Sora无法互动。你只能设置初始条件(比如文本或初始帧),然后被迫观看模拟过程。
然而,GameNGen完全不同,这是一个真正的神经世界模型。它接受过去的帧(状态)和用户的动作(键盘/鼠标输入),并输出下一帧。就DOOM的质量而言,这是我见过最令人印象深刻的。
但是,别高兴得太早,这里面有不少坑。让我们深入探讨一下:
1. GameNGen过拟合严重:它在单个游戏上训练了0.9B帧(!!)。这个数量简直夸张,几乎是Stable Diffusion v1训练集的40%。这种情况下,它可能已经记住了DOOM在各种场景下从各个角度渲染的方式。而且说实话,DOOM本来也没多少内容。
2. GameNGen更像一个高级版NeRF:NeRF通过不同角度的图像重建3D场景,但基本没有泛化能力,无法“想象”新场景。GameNGen并不像Sora:设计上,它无法合成新游戏或互动机制。
3. 数据集才是硬核部分:作者们先训练RL代理以不同技能水平玩游戏,然后收集了0.9B(帧、动作)对进行训练。大多数在线视频数据集都没有动作,这意味着这种方法无法推广。对于动作驱动的世界模型来说,数据永远是瓶颈。
4. 两大实际应用场景:
- (1)写个提示语创建可玩的世界,这些世界本来需要游戏工作室花几年时间来制作。
- (2)使用世界模型来训练更好的具身AI。
可惜的是,这两个场景都实现不了。用GameNGen来训练代理没什么优势,还不如直接用DOOM模拟器。如果一个神经世界模型能模拟传统手工制作图形引擎无法实现的场景,那才有意思。
举个例子,什么是真正有用的神经世界模型?@elonmusk曾回复说“特斯拉可以用真实世界视频做类似事情”。不意外:Autopilot团队可能拥有数万亿对(摄像头画面、方向盘动作)。再次强调,数据才是难点!有如此丰富的真实数据,完全可能学习一个涵盖各种边缘情况的一般驾驶模拟器,用它来部署和验证新的FSD版本,而无需物理车辆。
总之,GameNGen还是一个非常棒的概念验证。至少我们现在知道,要把高分辨率DOOM压缩进神经网络需要0.9B帧的数据量上限。AI DOOM NeuralNetworks GameNGen
AI世界大揭秘:层层递进的科技迷宫
人工智能(AI):
这是科技的大本营,所有高大上的技术都从这里出发。无论是智能机器人还是强化学习,都在这里扎根。
机器学习(Machine Learning):
AI的得力助手,负责教机器如何从数据中学习。这里有监督学习和无监督学习,还有各种算法如K均值聚类和决策树,简直就是机器人的学校。
神经网络(Neural Networks):
机器学习的核心技术,就像人类大脑的神经元。它们通过不同的层次和连接方式来处理复杂的数据,卷积神经网络(CNN)和循环神经网络(RNN)都是其中的明星选手。
深度学习(Deep Learning):
神经网络的进阶版,像是拿到了博士学位的AI。它能处理更加复杂和抽象的数据,包括图像、声音和文本。Transformer、长短期记忆网络(LSTM)等技术都属于这个范畴。
生成式AI(Generative AI):
AI世界里的魔法师,可以创造全新的内容,从文本到图像,无所不能。GPT、BERT等大型语言模型,以及GANs等生成对抗网络,就是这些魔法师的代表。
总结:
从AI到生成式AI,这张图展示了科技领域层层递进的发展路径。每一层都有其独特的作用和价值,共同推动着人工智能的不断进化。如果你想了解更多关于这些技术背后的故事,不妨深入探索这个“科技迷宫”吧!AI MachineLearning DeepLearning NeuralNetworks GenerativeAI 
六大平台的“戏精”玩法
在一个秋高气爽的下午,你正无所事事地刷着手机,突然发现了一张图片,标题赫然写着“六大平台的区别玩法”。你仔细一看,这不就是每个社交平台的“戏精”指南吗?于是,你决定好好研究一番,看看这些平台到底有何妙招。
---
1. 微信
- 用户分析:男性占56%,女性占44%。大家都扎堆在一二线城市。
- 引流:
1.1. 朋友圈爆款:利用社交网络传播,朋友圈是你的舞台,谁的生活最炫酷,谁就赢。
1.2. 群聊神技:微信群里打广告,只要你脸皮厚,一条广告刷屏三次不是梦。
- 转化思路:
2.1. 私聊收割:主动出击,通过私聊拉近距离,把握客户心理。
2.2. 服务到家:服务好每一个潜在客户,让他们为你口口相传。
2. 抖音
- 用户分析:男女比例几乎平分秋色。大家都是娱乐达人。
- 引流:
1.1. 短视频爆款:抓住短视频热潮,内容越魔性,越能吸引眼球。
1.2. 直播带货:直播间就是你的舞台,卖货卖得飞起。
- 转化思路:
2.1. 互动为王:评论区要活跃,让用户感觉自己被重视了。
2.2. 福利诱惑:时不时来点小福利,让用户欲罢不能。
3. 快手
- 用户分析:男性59%,女性41%。大家都爱分享自己的日常生活。
- 引流:
1.1. 老铁双击666:视频内容接地气,老铁们的点赞就是你的动力。
1.2. 直播PK赛:和其他主播PK,看谁更能带货。
- 转化思路:
2.1. 情感共鸣:用情感打动用户,他们会更愿意买单。
2.2. 社群运营:建立粉丝群,加强互动和黏性。
4. 小红书
- 用户分析:女性居多,占比高达91%。年轻人最爱的一线城市居多。
- 引流:
1.1. 笔记种草机:发布详细的图文笔记,把产品吹得天花乱坠。
1.2. 达人合作推广:找网红合作推广,你负责付钱,他们负责带货。
- 转化思路:
2.1. 真实体验分享:用真实的使用体验打动潜在客户。
2.2. 品牌故事营销:讲述品牌背后的故事,让用户产生共鸣。
5. 微博
- 用户分析:男女比例略微倾向男性。大家都爱八卦和热点话题。
- 引流:
1.1. 话题热搜榜首发力:蹭热搜,用热门话题吸引眼球。
1.2 .【超级话题圈子】】】建个超级话题圈子,吸引同好者加入讨论
转化思路:
实时互动}】评论区和粉丝保持互动,提高参与感
多元内容输出】通过图文、视频等多种形式展示产品特性
6. B站
用户分析}男生61%,女生39%}90后、00后是主力军
引流
高质量UP主合作与高人气UP主合作,通过专业内容吸引粉丝关注
弹幕神回复弹幕是一大特色,用幽默风趣的弹幕增加互动性
转化思路
教学视频导购制作详细的教学视频,在教中带卖
动漫二次元联名与热门动漫联名推出限量版产品
总结
这张图片生动描绘了各大社交平台的玩法套路,不论是微信朋友圈里的秀生活还是抖音上的魔性短视频,每个平台都有其独特的引流和转化技巧。希望这些讽刺幽默的小贴士能让你在玩转社交媒体时,更加得心应手! 
探索量子物理与数学的奥秘——Richard Behiel频道精选
场景描述:
在一个阳光明媚的下午,你坐在书桌前,决定深入学习一些高深的物理学和数学理论。你打开电脑,发现了一个宝藏频道——Richard Behiel。他的视频不仅内容详实,还配有精美的图形和公式解释,让人一目了然。以下是你观看的一些视频及其公式的通俗解释。
---
1. Electromagnetism as a Gauge Theory
- 公式:无具体公式展示
- 解释:电磁学作为一种规范理论,解释了电磁场如何通过规范变换保持不变。这意味着电磁场可以用不同的方式表示,但物理效果保持不变。
2. The Mystery of Spinors
- 公式:无具体公式展示
- 解释:旋量是一种数学结构,广泛应用于量子力学中,用来描述粒子的自旋状态。它们在旋转时表现出独特的性质,不同于普通矢量。
3. Dirac Equation: Free Particle at Rest
- 公式:\(i\gamma^\mu \partial_\mu \psi - m\psi = 0\)
- 解释:狄拉克方程是相对论性量子力学中的基本方程,用来描述自旋为1/2的粒子(如电子)的行为。这个方程结合了量子力学和狭义相对论。
4. Deriving the Dirac Equation
- 公式:\( (i\gamma^\mu \partial_\mu - m)\psi = 0 \)
- 解释:推导狄拉克方程的过程展示了如何将相对论性要求与量子力学结合,得出描述费米子的方程。
5. Relativistic Quantum Waves (Klein-Gordon Equation)
- 公式:\( (\Box + \frac{m^2c^2}{\hbar^2})\phi = 0 \)
- 解释:克莱因-戈登方程是相对论性标量场的波动方程,用来描述没有自旋的粒子(如标量介子)。
6. Looking for Dark Matter with LIGO, with Dr. Brian Keating
- 公式:无具体公式展示
- 解释:通过LIGO(激光干涉引力波天文台)寻找暗物质,利用引力波探测宇宙中神秘且不可见的物质。
7. The Mass Shell (Relativistic Energy-Momentum-Mass Relation)
- 公式:\( E^2 = p^2c^2 + m^2c^4 \)
- 解释:该关系式展示了相对论性粒子的能量、动量和质量之间的关系,是爱因斯坦著名方程E=mc²的一种推广形式。
8. Why Relativity Breaks the Schrodinger Equation
- 公式:\( \psi(x,t) = A \exp \left( i \left( px - Et \right) / \hbar \right) \)
- 解释:该视频讨论了为什么薛定谔方程不能完全适用于相对论性粒子,并展示了需要新的方程(如狄拉克方程)来描述这些粒子的行为。
9. Why is e (Calculating Euler's Number)
- 公式:\( e = 2.718281828459045... \)
- 解释:e是自然对数的底数,在数学中有广泛应用,如复利计算、微积分等。这个视频讲解了e为何如此重要及其计算方法。
10. The Hydrogen Atom, Part 2 of 3: Solving the Schrodinger Equation
- 公式:无具体公式展示
- 解释:通过求解薛定谔方程,研究氢原子的电子分布和能级结构,这对理解原子物理非常关键。
11. Complex Numbers in Quantum Mechanics
- 公式:\( i = \sqrt{-1} \)
- 解释:复数在量子力学中起着至关重要的作用,用来描述波函数及其演化,其中i表示虚数单位。
12. A Quick Intro to Fiber Bundles (Hopf Fibration)
- 公式:无具体公式展示
- 解释:纤维丛是一种几何结构,用于将复杂空间分解成更简单部分,有助于理解高维空间中的连续变化。
13. The Nature of Gravity, Part 1: Earth's Potential and Acceleration Fields
- 公式:\( V = \frac{GM}{r} \)
- 解释:该视频讲解地球引力势能和加速度场,帮助理解重力如何影响物体运动。
14. Buoyancy: A Meditation on Buoyancy
- 公式:无具体公式展示
- 解释:“浮力”探讨液体中的浮沉现象,通过阿基米德原理说明为什么某些物体会浮在水面上,而另一些则会沉下去。
15. The Beauty of Linear Regression (How to Fit a Line to your Data)
- 公式:\( y = ax + b \)
- 解释:线性回归是一种统计方法,用于数据拟合,通过找出数据点之间最合适的一条直线来预测未来趋势。
16. "Intro to the Quantum Harmonic Oscillator in 9 Minutes PaCE1"
No specific formula shown.
Explanation: This video introduces the quantum harmonic oscillator, a fundamental model in quantum mechanics that describes particles in a potential well, such as atoms vibrating in a molecule.
通过这些视频,你不仅能够加深对数学和物理学理论的理解,还可以欣赏到这些理论背后的美妙世界。 
面试造火箭,工作拧螺丝:AI工程师的真实写照
这张图用讽刺和幽默的方式反映了AI工程师在面试和实际工作中的巨大反差。
左边的部分标注为"The Interview"(面试),展示了一个复杂的Transformer模型架构图,涵盖了输入嵌入、位置编码、多头注意力机制、前馈神经网络等多个技术细节。这代表了面试时需要展示的深厚理论知识和技术掌握能力。
右边的部分标注为"The Job"(工作),却仅仅是简短的一行代码:"import transformers"。这表示实际工作中,许多复杂的技术细节可能已经被高层次的库和框架封装好了,工程师只需调用这些库即可完成大部分工作。
这种反差就像是“面试造火箭,工作拧螺丝”,意在讽刺很多岗位在招聘时要求极高,但实际工作内容却非常基础。这种现象在科技行业特别是AI领域尤为常见,因为许多基础设施已经被高度抽象和封装,实际应用时只需简单调用即可。 